Ricerca operativa Fino alla met dellOttocento le industrie









- Slides: 9
Ricerca operativa
• Fino alla metà dell’Ottocento le industrie impiegavano pochi uomini ed era dunque semplice per il proprietario seguirne l’andamento e curarne la gestione. Con l’avvento della Prima Rivoluzione Industriale tutto cambio:
Fasi della ricerca operativa • 1. Formulazione del problema In questa prima fase è necessario formulare correttamente il problema, determinandone con chiarezza gli obiettivi, i vincoli da porre, le correlazioni tra il settore da studiare e gli altri settori dell’organizzazione ecc… L’équipe di lavoro riceve informazioni generali, dati disomogenei. Deve quindi elaborarli, determinare con precisione gli obiettivi da raggiungere, i vincoli che li limitano, le eventuali correlazioni con altre parti dell’insieme per cui si lavora. Questa fase è fondamentale, perché influenza molto le conclusioni dello studio e sfocia nella seconda fase dello studio. • 2. La raccolta dei dati prevede l’individuazione di tutte le informazioni necessarie per la modellizzazione e risoluzione del problema. In particolare risulta fondamentale individuare le variabili d’azione, che permettono di poter costruire un coerente modello matematico. • 3. Costruzione del modello matematico Il modello matematico è la rappresentazione astratta di situazioni reali espresse in termini di simboli ed espressioni matematiche. In un modello è presente sempre una funzione detta funzione obiettivo, ed un insieme di vincoli espressi da equazioni e disequazioni
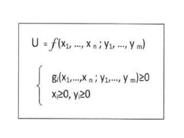
La Funzione Obiettivo del tipo Y = f (x 1, x 2…………. . x n) esprime un costo, un ricavo, un guadagno Le variabili presenti nella funzione obiettivo vengono dette variabili d’azione o variabili ammissibili; l’insieme dei valori che possono essere assunti dalle variabili viene detto regione o area ammissibile o campo di scelta ed è dato dalla regione che verifica i vincoli presenti nel modello. I vincoli sono di due tipologie: • vincoli di segno (che esprimono la positività delle variabili di azione ponendo ognuna ≥ 0) • vincoli tecnici (che esprimono delle situazioni reali come ad esempio la capacità del magazzino o l’impossibilità a far lavorare i dipendenti oltre un massimo di ore consentite a livello sindacale e indicano pertanto limitazioni reali di produzione dell’azienda) • 4. Studio del modello Creato il modello matematico, si cerca, se esiste, la soluzione ottimale, o con i metodi dell’analisi matematica, o con metodi di analisi numerica. Una soluzione ottimale è quella che massimizza o minimizza (a seconda dei casi) la misura del rendimento in un modello. • 5. Controllo delle soluzioni ottenute Trovata la soluzione ottimale nel modello, bisogna verificare la corrispondenza tra il modello e la realtà e la soluzione deve essere valutata.
La classificazione dei problemi di scelta Problemi discreti e continui Diciamo che i problemi sono: • discreti quando le variabili d’azione possono assumere solo valori interi all’interno dell’area ammissibile; • continui quando le variabili possono assumere tutti i valori reali dell’area ammissibile. Problemi in una o più variabili Un’altra suddivisione dei problemi dipende dal numero delle variabili. Distinguiamo problemi: • in una variabile; • in più variabili. Problemi in condizioni di certezza o di incertezza Possiamo poi avere problemi di scelta: • in condizioni di certezza, in cui i dati sono sicuri e frutto di indagini precise; • in condizioni di incertezza, in cui i dati sono legati a eventi casuali, che hanno una certa probabilità di verificarsi. Problemi con effetti immediati o differiti Abbiamo inoltre problemi di scelta con: • effetti immediati, se il tempo fra la decisione e la realizzazione non influisce sulle grandezze economiche in questione; • effetti differiti, se invece è rilevante il tempo fra una scelta e i suoi effetti, come per esempio negli investimenti finanziari o industriali.