Review Atomic number Z number of protons in
Review Atomic number (Z) = number of protons in nucleus Mass number (A) = number of protons + number of neutrons = atomic number (Z) + number of neutrons A Z Mass Number Atomic Number proton 1 p 1 or 11 H neutron 1 n 0 X Element Symbol electron 0 e -1 or 0 particle positron b -1 0 e +1 or 0 b +1 4 He 2 or A 1 1 0 0 4 Z 1 0 -1 +1 2 2 4 2
Nuclear Equations • The total number of protons and neutrons before a nuclear reaction must be the same as the total number of nucleons after reaction. • There are three main types of radiation which we consider: – -Radiation is the loss of 42 He from the nucleus, – -Radiation is the loss of an electron from the nucleus, – -Radiation is the loss of high-energy photon from the nucleus.
• Symbols for other particles are given below: Copyright © Cengage Learning. All rights 20 | 4
• In nuclear chemistry to ensure conservation of nucleons we write all particles with their atomic and mass numbers: 42 He and 42 represent -radiation.
6
• There are six common types of radioactive decay. 1. Alpha emission Emission of an alpha particle from an unstable nucleus. Copyright © Cengage Learning. All rights 20 | 7
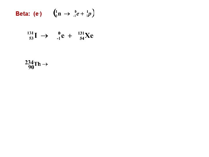
2. Beta emission Emission of a beta particle from an unstable nucleus. Beta emission is equivalent to a neutron converting to a proton. Copyright © Cengage Learning. All rights 20 | 8
3. Positron emission Emission of a positron particle from an unstable nucleus. Positron emission is equivalent to a proton converting to a neutron. Copyright © Cengage Learning. All rights 20 | 9
4. Electron capture The decay of an unstable nucleus by capture of an electron from an inner orbital of the atom. Electron capture is equivalent to a proton converting to a neutron. Copyright © Cengage Learning. All rights 20 | 10
5. Gamma emission Emission from an excited nucleus of a gamma photon, corresponding to radiation with a wavelength of approximately 10 -12 m. Technetium-99 m is an example of a metastable nucleus; it is in an excited state and has a lifetime of ≥ 10 -9 s. Copyright © Cengage Learning. All rights 20 | 11
6. Spontaneous fission The spontaneous decay of an unstable nucleus in which a heavy nucleus of mass number greater than 89 splits into lighter nuclei and energy is released. Copyright © Cengage Learning. All rights 20 | 12
• Nucleons can undergo decay: 0 - + 0 e+ 20 (positron annihilation) e -1 1 0 1 + + 0 e- 1 n (electron capture) p 1 -1 0
Types of Decay: Alpha: (slowest moving; highest mass + “parent” “daughter”
Molecular view of the nuclear equation for the decay of uranium 238
Beta: (e-)
Gamma: (quite often occurs in conjunction with other decay processes) (extremely penetrating)
Molecular view of the nuclear equation for the decay of technetium-99 (gamma emission) Kelter, Mosher and Scott, Chemistry: The Practical Science, 1/e.
Positron emission: PET Scan: 0 - + 0 e+ 20 (positron annihilation) e -1 1 0
Molecular view of the nuclear equation for the decay of technetium-95 (positron emission)
Figure 20. 17: A patient undergoing a PET scan of the brain Alexander Tsiara/ Photo Researchers, Inc.
Figure 20. 16: PET scans of normal and schizophrenic patients Wellcome/ Photo Researchers, Inc.
electron capture:
Molecular view of the nuclear equation for the decay of potassium -40 (electron capture)
Patterns of Nuclear Stability Neutron-to-Proton Ratio • The proton has high mass and high charge. • Therefore the proton-proton repulsion is large. • In the nucleus the protons are very close to each other. • The cohesive forces in the nucleus are called strong nuclear forces. Neutrons are involved with the strong nuclear force. • As more protons are added (the nucleus gets heavier) the proton-proton repulsion gets larger.
26
n/p too large beta decay X Y n/p too small positron decay or electron capture 27
Neutron-to-Proton Ratio • The heavier the nucleus, the more neutrons are required for stability. • The belt of stability deviates from a 1: 1 neutron to proton ratio for high atomic mass. • At Bi (83 protons) the belt of stability ends and all nuclei are unstable. Stable –Nuclei above the belt of stability undergo -emission. An electron is lost and the number of neutrons decreases, the number of protons increases.
• For stable nuclides with Z ≤ 20, the ratio of neutrons to protons is between 1 and 1. 1. • For stable nuclides with Z > 20, the ratio of neutrons to protons increases to about 1. 5. This is believed to be due to the increasing repulsion between protons, which requires more neutrons to increase the strong nuclear force. Copyright © Cengage Learning. All rights 20 | 29
Nuclear Stability and Radioactive Decay Beta decay 14 C 6 14 N 40 K 19 + 0 7 40 Ca 20 Decrease # of neutrons by 1 -1 + 0 Increase # of protons by 1 -1 1 n 0 1 p 1 + 0 -1 Positron decay + 0 11 C 11 B 38 K 38 Ar 6 19 5 18 Increase # of neutrons by 1 +1 + 0 Decrease # of protons by 1 +1 1 p 1 1 n 0 + 0 +1 30
Nuclear Stability and Radioactive Decay Electron capture decay 37 Ar + 0 e 37 Cl 55 Fe + 0 e 55 Mn 18 26 Increase number of neutrons by 1 17 -1 Decrease number of protons by 1 25 -1 1 p 1 + 0 e -1 1 n 0 Alpha decay Decrease number of neutrons by 2 212 Po 84 4 He 2 + 208 Pb 82 Decrease number of protons by 2 Spontaneous fission 252 Cf 98 2125 In + 21 n 49 0 31
Nuclear binding energy is the energy required to break up a nucleus into its component protons and neutrons. Nuclear binding energy + 19 F 9 9 1 p + 1 101 n 0 DE = (Dm)c 2 9 x (p mass) + 10 x (n mass) = 19. 15708 amu Dm= 18. 9984 amu – 19. 15708 amu Dm = -0. 1587 amu DE = -0. 1587 amu x (3. 00 x 108 m/s)2 = -1. 43 x 1016 amu m 2/s 2 Using conversion factors: 1 kg = 6. 022 x 1026 amu 1 J = kg m 2/s 2 DE = -2. 37 x 10 -11 J 32
DE = (-2. 37 x 10 -11 J) x (6. 022 x 1023/mol) DE = -1. 43 x 1013 J/mol DE = -1. 43 x 1010 k. J/mol Nuclear binding energy = 1. 43 x 1010 k. J/mol binding energy per nucleon = number of nucleons = 2. 37 x 10 -11 J 19 nucleons = 1. 25 x 10 -12 J/nucleon 33
Nuclear binding energy per nucleon vs mass numbe nuclear binding energy nucleon nuclear stability 34
Patterns of Nuclear Stability Neutron-to-Proton Ratio – Nuclei below the belt of stability undergo +-emission or electron capture. This results in the number of neutrons increasing and the number of protons decreasing. Nuclei with atomic numbers greater than 83 usually undergo -emission. The number of protons and neutrons decreases (in steps of 2).
Patterns of Nuclear Stability Radioactive Series For 238 U, the first decay is to 234 Th ( -decay). The 234 Th undergoes -emission to 234 Pa and 234 U undergoes decay (several times) to 230 Th, 226 Ra, 222 Rn, 218 Po, and 214 Pb undergoes -emission (twice) via 214 Bi to 214 Po which undergoes -decay to 210 Pb. The 210 Pb undergoes -emission to 210 Bi and 210 Po which decays ( ) to the stable 206 Pb.
37
Radiocarbon Dating 14 N 7 + 1 n 14 C 6 0 14 N 7 + + 1 H 1 0 t½ = 5730 years -1 Uranium-238 Dating 238 U 92 206 Pb 82 + 8 4 + 6 0 2 -1 t½ = 4. 51 x 109 years 38
Kelter, Mosher and Scott, Chemistry: The Practical Science, 1/e. Copyright © 2008 by Houghton Mifflin Company. Reprinted with permission.
Figure 20. 19: Representation of a chain reaction of nuclear fissions Kelter, Mosher and Scott, Chemistry: The Practical Science, 1/e. Copyright © 2008 by Houghton Mifflin Company. Reprinted with permission.
Figure 20. 20: An atomic bomb
Figure 20. 21: Light-water nuclear reactor
Molecular views of nuclear fusion reactions of deuterons with deuterium or tritium
• Copyright © Cengage Learning. All rights 20 | 44
• Nuclear Bombardment Reactions • Nuclear bombardment reactions are not spontaneous. They involve the collision of a nucleus with another particle. • Transmutation is the change of one element into another by bombarding the nucleus of the element with nuclear particles or nuclei. Copyright © Cengage Learning. All rights 20 | 45
• When Rutherford allowed alpha particles to collide with nitrogen nuclei, he found that a proton was ejected and oxygen was formed. Copyright © Cengage Learning. All rights 20 | 46
• Sodium-22 is made by the bombardment of magnesium-24 (the most abundant isotope of magnesium) with deuterons. An alpha particle is the other product. Copyright © Cengage Learning. All rights 20 | 47
• Half-life is the time it takes for one-half of the nuclei in a sample to decay. • Half-life is related to the decay constant by the following equation: Copyright © Cengage Learning. All rights 20 | 48
• Copyright © Cengage Learning. All rights 20 | 49
• Thallium-201 is used in the diagnosis of heart disease. This isotope decays by electron capture; the decay constant is 2. 63 × 10 -6/s. What is the half-life of thallium-201 in days? Copyright © Cengage Learning. All rights 20 | 50
Copyright © Cengage Learning. All rights 20 | 51
• The rate constant is related to the fraction of nuclei remaining by the following equation: Copyright © Cengage Learning. All rights 20 | 52
• A 0. 500 -g sample of iodine-131 is obtained by a hospital. How much will remain after a period of one week? The half-life of this isotope is 8. 07 days. Copyright © Cengage Learning. All rights 20 | 53
• First, we find the value of k. Copyright © Cengage Learning. All rights 20 | 54
Next, we find the fraction of nuclei remaining. Copyright © Cengage Learning. All rights 20 | 55
• Radioactive Dating • Because the rate of radioactive decay is constant, this rate can serve as a sort of clock for dating objects. • Carbon-14 is part of all living material. While a plant or animal is living, the fraction of carbon-14 in it remains constant due to exchange with the atmosphere. Once dead, the fraction of carbon 14 and, therefore, the rate of decay decrease. In this way, the fraction of carbon-14 present in the remains becomes a clock measuring the time since the plant’s or animal’s death. Copyright © Cengage Learning. All rights 20 | 56
• The half-life of carbon-14 is 5730 years. Living organisms have a carbon-14 decay rate of 15. 3 disintegrations per minute per gram of total carbon. • The ratio of disintegrations at time t to time 0 is equal to the ratio of nuclei at time t to time 0. Copyright © Cengage Learning. All rights 20 | 57
• A sample of wheat recovered from a cave was analyzed and gave 12. 8 disintegrations of carbon-14 per minute per gram of carbon. What is the age of the grain? • Carbon from living material decays at a rate of 15. 3 disintegrations per minute per gram of carbon. The halflife of carbon-14 is 5730 years. Copyright © Cengage Learning. All rights 20 | 58
• Ratet = 12. 8 disintegrations/min/g • Rate 0 = 15. 3 disintegrations/min/g • t 1/2 = 5730 y Copyright © Cengage Learning. All rights 20 | 59
• Energy of Nuclear Reactions • Nuclear reactions involve changes of energy on a much larger scale than occur in chemical reactions. This energy is used in nuclear power reactors and to provide the energy for nuclear weapons. Copyright © Cengage Learning. All rights 20 | 60
• Mass–Energy Calculations • When nuclei decay, they form products of lower energy. The change of energy is related to changes of mass, according to the equation derived by Einstein, E = mc 2. Copyright © Cengage Learning. All rights 20 | 61
• Nuclear Binding Energy • The equivalence of mass and energy explains the mass defect—that is, the difference between the total mass of the nucleons that make up an atom and the mass of the atom. The difference in mass is the energy holding the nucleus together. • The binding energy of a nucleus is the Copyright © Cengage 20 | 62 Learning. All rights needed to break a nucleus into its energy
• The maximum binding energy per nucleon occurs for nuclides with mass numbers near 50 Copyright © Cengage Learning. All rights 20 | 63
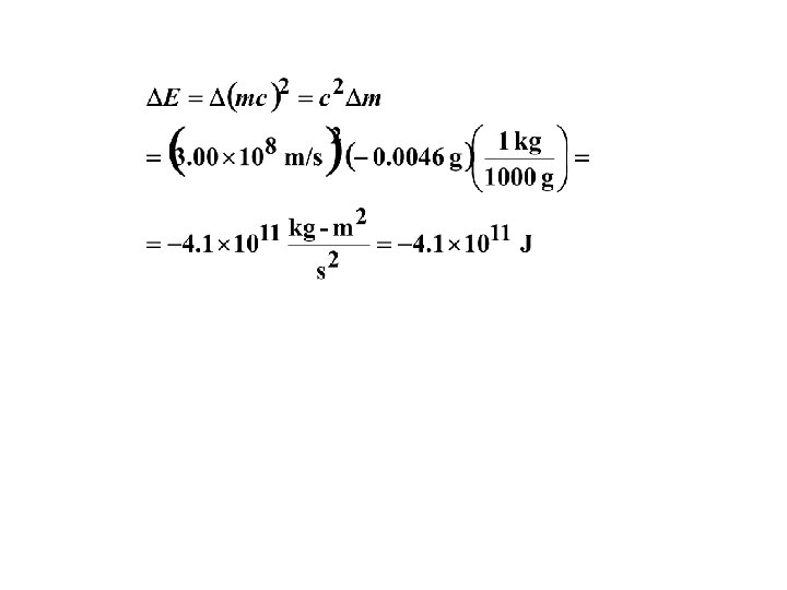
Energy Changes in Nuclear Reactions 23490 Th + 42 He for 1 mol of the masses are 238. 0003 g 233. 9942 g + 4. 015 g. The change in mass during reaction is 233. 9942 g + 4. 015 g - 238. 0003 g = -0. 0046 g. The process is exothermic because the system has lost mass. To calculate the energy change per mole of 23892 U: 238 – – 92 U
Radioisotopes in Medicine Research production of 99 Mo 98 Mo 42 + 1 n Bone Scan with 99 m. Tc 99 Mo 42 0 Commercial production of 99 Mo 235 U 92 99 Mo 42 99 m. Tc 43 + 1 n 99 Mo 0 42 + 0 t½ = 66 hours + g-ray t½ = 6 hours 99 m. Tc 43 99 Tc 43 + other fission products -1 66
Chemistry In Action: Food Irradiation 67
- Slides: 67