Resistncia dos Materiais Apostila 01 Prof Hebert Monteiro
Resistência dos Materiais – Apostila 01 Prof. Hebert Monteiro
Definição • O que é a Resistência dos Materiais? A resistência dos materiais é um assunto bastante antigo. Os cientistas da antiga Grécia já tinham o conhecimento do fundamento da estática, porém poucos sabiam do problema de deformações. O desenvolvimento da resistência dos materiais seguiu-se ao desenvolvimento das leis da estática. Galileu (1564 -1642) foi o primeiro a tentar uma explicação para o comportamento de algumas vigas submetidas a carregamentos e suas propriedades e aplicou este estudo, na época, para os materiais utilizados nas vigas dos cascos de navios para marinha italiana. Podemos definir que a ESTÁTICA (parte da Física que estuda sistemas sob a ação de forças que se equilibram) considera os efeitos externos das forças que atuam num corpo e a RESISTÊNCIA DOS MATERIAIS, por sua vez, fornece uma explicação mais satisfatória, do comportamento dos sólidos submetidos à esforços externos, considerando o efeito interno.
estrutura devem ter dimensões e proporções adequadas para suportarem esforços impostos sobre elas. Exemplos:
Classes de solicitações • Quando um sistema de forças atua sobre um corpo, o efeito produzido é diferente segundo a direção e sentido e ponto de aplicação destas forças. Os efeitos provocados em um corpo podem ser classificados em esforços normais ou axiais, que atuam no sentido do eixo de um corpo, e em esforços transversais, atuam na direção perpendicular ao eixo de um corpo. Entre os esforços axiais temos a tração e a compressão, e entre os transversais, o cisalhamento, a flexão e a torção. • Quando as forças agem para fora do corpo, tendendo a alongá-lo no sentido da sua linha de aplicação, a solicitação é chamada de TRAÇÃO; se as forças agem para dentro, tendendo a encurtá-lo no sentido da carga aplicada, a solicitação é chamada de COMPRESSÃO.
Revisão de estática • Forças O conceito de força é introduzido na mecânica em geral. As forças mais conhecidas são os pesos, que tem sempre sentido vertical para baixo, como por exemplo, o peso próprio de uma viga, ou o peso de uma laje sobre esta mesma viga. As forças podem ser classificadas em concentradas e distribuídas. Na realidade todas as forças encontradas são distribuídas, ou seja, forças que atuam ao longo de um trecho, como os exemplos citados anteriormente e ainda em barragens, comportas, tanques, hélices, etc. Quando um carregamento distribuído atua numa região de área desprezível, é chamado de força concentrada. A força concentrada, tratada como um vetor, é uma idealização, que em inúmeros casos nos traz resultados com precisão satisfatória. No estudo de tipos de carregamentos, mais a diante, retornaremos a este assunto.
• No sistema internacional (SI) as forças concentradas são expressas em Newton [N]. As forças distribuídas ao longo de um comprimento são expressas com as unidades de força pelo comprimento [N/m], [N/cm], [N/mm], etc. A força é uma grandeza vetorial que necessita para sua definição, além da intensidade, da direção, do sentido e também da indicação do ponto de aplicação.
Duas ou mais forças constituem um sistema de forças, sendo que cada uma delas é chamada de componente. Todo sistema de forças pode ser substituído por uma única força chamada resultante, que produz o mesmo efeito das componentes. Quando as forças agem numa mesma linha de ação são chamadas de coincidentes. A resultante destas forças terá a mesma linha de ação das componentes, com intensidade e sentido igual a soma algébrica das componentes. • Exemplos:
Exercício
Equilíbrio estático e análise das estruturas Condições de Equilíbrio: • (1) a soma vetorial das forças que atuam sobre o corpo deve ser zero. • (2) a resultante dos torques de todas as forças que atuam sobre um corpo, calculadas em relação a um eixo (qualquer), deve ser zero. • Torque ou momento de força: é o produto de uma força F pela distância l a um ponto do eixo: T = F·l O torque mede a tendência da força F de provocar uma rotação em torno de um eixo. A segunda condição de equilíbrio corresponde à ausência de qualquer tendência à rotação. Unidades: Torque: 1 N·m
Exercício
Resolução
2) Um sinaleiro de 125 N de peso está pendurado por um cabo preso a outros dois cabos como indicado na figura. Encontre a tensão dos três cabos Solução: T 1 = 75. 1 N, T 2 = 99. 9 N e T 3 = 125 N
3) Uma lanterna, de massa 10 kg, está presa por um sistema de suspensão constituído por uma corrente e uma haste, apoiadas na parede. A inclinação entre a corrente e a haste horizontal é de 45 o. Considerando a lanterna em equilíbrio, determine a força que a corrente e a haste suportam.
Exercício Equilíbrio Estático Uma prancha de comprimento L = 3 m e massa M = 2 kg está apoiada nas plataformas de duas balanças como mostra a figura. Um corpo de massa m = 6 kg está sobre a prancha à distância x 1 = 2. 5 m da extremidade esquerda e à distância x 2 da extremidade direita. Determine as leituras F 1 e F 2 das balanças Solução: F 1 = 19. 6 N, F 2 = 58. 9 N
Alavancas • Alavancas: uma barra é colocada sobre um apoio, chamado fulcro ou ponto de apoio de forma que a distância entre o fulcro e uma das extremidades da barra seja maior que a distância entre o fulcro e a outra extremidade. O fulcro funciona como eixo de rotação da barra. O peso da carga produz um torque em um sentido que deve ser vencido por um torque no sentido oposto, produzido por uma força aplicada à extremidade mais longa. Como o braço de alavanca é maior, é possível levantar a carga exercendo uma força menor do que o peso da carga
A alavanca consiste numa barra rígida que pode girar ao redor de um ponto de apoio. Tipos de Alavancas • Alavanca interfixa (1 a classe) : o ponto de apoio (A) fica entre o peso (R) e o esforço aplicado (P). Exemplos: as tesouras, a barra para o levantamento de pesos e o alicate.
Alavanca inter-resistente (2ª classe): o ponto de apoio (A) fica em uma extremidade. O esforço é aplicado na outra. Exemplos: o carrinho de mão e o quebra-nozes.
• Alavanca inter-potente (3ª classe): o esforço (P) é aplicado entre o peso (R) e o ponto de apoio (A). Exemplos: as pinças e o antebraço humano. LEI DA ALAVANCA Lei da alavanca: igualdade dos torques: P • a = R • b onde P e R representam as forças e, a e b as distâncias.
Exercícios 1) Duas crianças, cujos pesos estão indicados em Newton, se equilibram em um balanço. Determine o valor da força vertical n e a posição x da segunda criança
2) Móbile: de 4 ornamentos e 3 varas. As distâncias (em cm) estão indicados na figura, e a massa de um dos ornamentos é conhecida. Determine as massas dos ornamentos A, B e C de modo que o móbile fique em equilíbrio.
3) Classifique o tipo de alavanca e calcule a força necessária para mantê-las em equilíbrio:
O Centro de Gravidade • A figura mostra um corpo dividido em diversas partes. O peso de cada parte é wi e o peso total do corpo é W = Σ wi Podemos imaginar este peso total concentrado num único ponto, de modo que se o corpo fosse apoiado no ponto estaria em equilíbrio estático. Este ponto, pelo qual passa a resultante das forças exercidas pela gravidade sobre todas as partículas do corpo é o centro de gravidade ou baricentro.
• Em um sólido regular e homogêneo, o baricentro coincide com o centro geométrico do objeto. Um corpo está em equilíbrio estável quando, forçado a deslocar-se de sua posição, retorna naturalmente a ela. Esse tipo de equilíbrio ocorrerá enquanto a vertical que passa por seu baricentro cair dentro da superfície de apoio desse corpo. Quanto menor for essa superfície (caso do corpo humano, em que a planta dos pés é pequena em relação à altura), maior o esforço necessário para mantê-lo em equilíbrio.
1) Torre de Pisa A torre inclinada de Pisa tem 55 m de altura e 7 m de diâmetro. O topo da torre está deslocado de 4. 5 m da vertical. A taxa de movimento do topo, em 1992, era de 1 mm/ano. Considere a torre como um cilindro uniforme. O centro de gravidade estará no centro do cilindro. Determine o ângulo com a vertical que a torre fará no momento em que estiver na eminência de cair.
Tensão • Tensão normal e tensão transversal Seja o exemplo de uma barra de seção transversal A submetida a uma força de tração F. É evidente que uma outra barra de seção transversal maior (por exemplo, 2 A), submetida à mesma força F, trabalha em condições menos severas do que a primeira. Isso sugere a necessidade de definição de uma grandeza que tenha relação com força e área, de forma que os esforços possam ser comparados e caracterizados para os mais diversos materiais. • Essa grandeza é a tensão.
• Tensão é a grandeza física definida pela força atuante em uma superfície e a área dessa superfície. Ou seja, tensão = força / área >>> σ = F / A Por essa definição, a unidade de tensão tem dimensão de pressão mecânica e, no Sistema Internacional, a unidade básica é a mesma da pressão: pascal (Pa) ou Newton por metro quadrado (N/m 2). A Figura 01 (a) representa uma barra tracionada por uma força F. A parte (b) da figura mostra um seccionamento transversal hipotético. Então, a tensão σ, normal ao corte, é dada por: σ = F / A Onde A é a área da seção transversal da barra. Obs: é suposto que as tensões estão uniformemente distribuídas ao longo da seção. Em vários casos, isso não pode ser considerado verdadeiro e o resultado da fórmula acima é um valor médio.
A Figura (a) representa uma barra tracionada por uma força F. A parte (b) da figura mostra um seccionamento transversal hipotético. Então, a tensão σ, normal ao corte, é dada por: σ = F / A Onde A é a área da seção transversal da barra. Obs: é suposto que as tensões estão uniformemente distribuídas ao longo da seção. Em vários casos, isso não pode ser considerado verdadeiro e o resultado da fórmula acima é um valor médio.
Tensão Normal • A carga normal F, que atua na peça, origina nesta, uma tensão normal “σ” (sigma), que é determinada através da relação entre a intensidade da carga aplicada “F”, e a área de seção transversal da peça “A”. [N/m 2] F [N] A [m 2] No Sistema Internacional, a força é expressa em Newtons (N), a área em metros quadrados (m 2). A tensão (σ) será expressa, então, em N/m 2, unidade que é denominada Pascal (Pa).
• Na prática, o Pascal torna-se uma medida muito pequena para tensão, então usa-se múltiplos desta unidade, que são o Quilopascal (k. Pa), Megapascal (MPa) e o Gigapascal (Gpa). • Exercício 1) Uma barra de seção circular com 50 mm de diâmetro, é tracionada por uma carga normal de 36 k. N. Determine a tensão normal atuante na barra. a) Força normal: F = 36 k. N = 36000 N b) Área de secção circular: • c) Tensão normal:
Diagrama Tensão x Deformação • Na disciplina de Resistência dos Materiais é necessário conhecer o comportamento dos materiais quando submetidos a carregamentos. Para obtermos estas informações, é feito um ensaio mecânico numa amostra do material chamada de corpo de prova. Neste ensaio, são medidas a área de seção transversal “A” do CP e a distância “L 0” entre dois pontos marcados neste. No ensaio de tração, o CP é submetido a um carga normal “F”. A medida que este carregamento aumenta, pode ser observado um aumento na distância entre os pontos marcados e uma redução na área de seção transversal, até a ruptura do material. A partir da medição da variação destas grandezas, feita pela máquina de ensaio, é obtido o diagrama de tensão x deformação.
• Entre os diagramas σ x ε de vários grupos de materiais é possível, no entanto, distinguir algumas características comuns; elas nos levam a dividir os materiais em duas importantes categorias, que são os materiais dúteis e os materiais frágeis. • Os materiais dúteis, como o aço, cobre, alumínio e outros, são caracterizados por apresentarem escoamento a temperaturas normais. O corpo de prova é submetido a carregamento crescente, e com isso seu comprimento aumenta, de início lenta e proporcionalmente ao carregamento. Desse modo, a parte inicial do diagrama é uma linha reta com grande coeficiente angular. Entretanto, quando é atingido um valor crítico de tensão σE, o corpo de prova sofre uma grande deformação com pouco aumento da carga aplicada. A deformação longitudinal de uma material é definida como:
• Quando o carregamento atinge um certo valor máximo, o diâmetro do CP começa a diminuir, devido a perda de resistência local. A esse fenômeno é dado o nome de estricção. • Após ter começado a estricção, um carregamento mais baixo é o suficiente para a deformação do corpo de prova, até a sua ruptura. A tensão σE correspondente ao início do escoamento é chamada de tensão de escoamento do material; a tensão σR correspondente a carga máxima aplicada ao material é conhecida como tensão limite de resistência e a tensão σr correspondente ao ponto de ruptura é chamada tensão de ruptura.
Lei de Hooke • A tensão σ é diretamente proporcional à deformação ε e podemos escrever: • Essa relação é conhecida como Lei de Hooke, e se deve ao matemático inglês Robert Hooke (1635 -1703). O coeficiente E é chamado módulo de elasticidade ou módulo de Young (cientista inglês, 1773 -1829), que é determinado pela força de atração entre átomos dos materiais, isto é, quanto maior a atração entre átomos, maior o seu módulo de elasticidade. Exemplos: Eaço = 210 GPa; Ealumínio = 70 GPa. • Como sabemos que:
• podemos escrever a seguinte relação para o alongamento (Δl): • O alongamento será positivo (+), quando a carga aplicada tracionar a peça, e será negativo (-) quando a carga aplicada comprimir a peça.
Exercício • Uma barra de alumínio de possui uma secção transversal quadrada com 60 mm de lado, o seu comprimento é de 0, 8 m. A carga axial aplicada na barra é de 30 k. N. Determine o seu alongamento. Eal = 0, 7 x 103 MPa. a) Força normal: F = 30 k. N = 30000 N b) Comprimento inicial da barra: l = 0, 8 m = 800 mm c) Área de secção quadrada: A = a 2 = 602 = 3600 mm 2
• 2) A peça de aço abaixo foi submetida ao ensaio de compressão e sofreu rupturas com a carga de 32 t. Calcular a tensão de ruptura e a compressão do material, sendo Eaço = 210 GPa;
Tração e Compressão • Podemos afirmar que uma peça está submetida a esforços de tração ou compressão, quando uma carga normal (tem a direção do eixo da peça) F, atuar sobre a área de secção transversal da peça. • Quando a carga atuar no sentido dirigido para o exterior da peça, a peça está tracionada. Quando o sentido da carga estiver dirigido para o interior da peça, a barra estará comprimida.
• Concentração de Tensões de Tração Todo componente estrutural que apresente descontinuidades como furos ou variação brusca de seção, quando solicitados, desenvolvem tensões maiores na região de descontinuidade do que a tensão média ao longo da peça. a) Distribuição de tensão de tração uniforme numa barra de seção constante; b) Distribuição de tensões de tração próximas a um furo circular.
• No dimensionamento de componentes com estas características, a tensão máxima (σmáx) deve ser considerada de forma que não ultrapasse o limite de resistência do material (σE ou σR). A relação entre a tensão máxima (σmáx) e a tensão média (σmed) é definida por: • Onde Kt é chamado “fator de forma” ou “coeficiente de concentração de tensão”. Para cada caso particular de descontinuidade geométrica, os valores de Kt são diferentes e podem ser encontrados através da análise do gráfico Kt x d/w.
Exemplo
Exercícios • 1) Calcular a tensão máxima produzida no entalhe representado pelo furo de diâmetro d = 35 mm, sendo a carga de tração P = 20 k. N.
1) Calcular a tensão máxima produzida no entalhe representado pela figura abaixo, que é submetida a uma carga de tração de 120 KN. As dimensões são: Raio de arredondamento = 5 mm.
2° Semestre FLEXÃO Introdução
Vigas
Cargas
Casos de Flexão
Momento Fletor
Cisalhamento
Exercício 1) Um rebite de 20 mm de diâmetro será usado para unir duas chapas de aço, devendo suportar um esforço cortante de 29400 N. Qual a tensão de cisalhamento sobre a seção transversal do rebite? R: 93, 58 MPa
Análise da barra AB
O tirante está apoiado em sua extremidade por um disco circular fixo como mostrado na figura. Se a haste passa por um furo de 40 mm de diâmetro, determinar o diâmetro mínimo requerido da haste e a espessura mínima do disco necessários para suportar uma carga de 20 k. N. A tensão normal admissível da haste é σadm = 60 MPa, e a tensão de cisalhamento admissível do disco é σadm = 35 Mpa.
• 2) A barra rígida mostrada na figura é suportada por uma haste de aço AC que tem diâmetro de 20 mm e um bloco de alumínio que tem área da seção transversal de 1800 mm². Os pinos de 18 mm de diâmetro em A e C estão submetidos a um cisalhamento simples. Se a tensão de ruptura do aço e do alumínio forem (saço)rup = 680 MPa e (sal)rup = 70 MPa, respectivamente, e a tensão de cisalhamento de ruptura de cada pino for trup = 900 MPa, determinar a maior carga P que pode ser aplica à barra. Aplicar F. S = 2.
Torção Introdução Uma peça submete-se a esforço de torção, quando atua um torque em uma das suas extremidades e um contra torque na extremidade oposta ou quando sua extremidade oposta encontra-se engastada, ou seja, presa de forma estática. Momento Torçor ou Torque O torque atuante em um eixo é definido através do produto entre a intensidade da carga aplicada e a distância entre o ponto de aplicação da carga e o centro da secção transversal (pólo). Para as transmissões mecânicas construídas por polias, engrenagens, rodas de atrito, correntes, etc. , o torque é determinado através de:
Onde: Mt - Torque [ Nm ] Ft - Força tangencial [ N ] r - raio da peça [ m ]
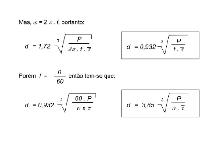
Potência Denomina-se potência a realização de um trabalho na unidade de tempo. Tem-se então que:
Tensão de Torção Tensão interna atuante na seção transversal da peça.
2) Dimensionar o eixo-árvore vazado com relação entre diâmetros igual 0, 6 para transmitir uma potência de 35 k. W, girando com uma velocidade angular de w = 10π rad/s. O material do eixo é ABNT 1020 e a tensão admissível indicada para o caso é 85 MPa.
3) Dimensionar um eixo árvore (Aço ABNT 1030 LQ, Sg = 2 e σr = 470 MPa) submetido a um torque de 150 N. m, para os casos de seção cheia e vazada (di = 0, 7. de).
- Slides: 120