Relativit ristretta Non so come apparir al mondo













































- Slides: 45
Relatività ristretta Non so come apparirò al mondo. Mi sembra soltanto di essere stato come un bambino che gioca sulla spiaggia e di essermi divertito a trovare, ogni tanto, un sasso o una conchiglia più bella del solito, mentre l’oceano della verità giaceva insondato davanti a me. Newton A volte mi chiedo come sia accaduto che sia stato io a formulare la teoria della relatività. La ragione, credo, è che un adulto normale non si ferma mai a riflettere sui problemi dello spazio e del tempo, perché queste sono cose su cui ha pensato da bambino. Ma il mio sviluppo intellettuale fu tardivo, e di conseguenza io cominciai ad interrogarmi sullo spazio e sul tempo quando ero già adulto. Albert Einstein era guidato solo dal requisito che la teoria avesse la bellezza e l’eleganza che ci si aspetta di trovare in una descrizione fondamentale della Natura. (. . . ) Il risultato di questo modo di procedere è una teoria di grande semplicità ed eleganza nelle sue idee di base. Dirac (La relatività generale). . . la più bella delle Teorie Scientifiche. Lev Landau
La storia inizia molto tempo prima … Principio di relatività galileiana • Le leggi della meccanica sono le stesse in tutti i sistemi inerziali.
• Dal punto di vista matematico questo principio impone che le equazioni che descrivono la dinamica dei corpi siano invarianti in ogni riferimento inerziale.
Le trasformazioni di Galileo (T. G. ) • X’ • Y’ • Z’ • T’ = = X - VT Y Z T
L’ultima trasformazione ci dice che … • IL TEMPO E’ ASSOLUTO! Newton scriveva nei Principia: “Lo spazio assoluto, per sua natura, resta sempre tale e invariabile senza alcuna relazione con l’esterno. Il tempo assoluto, vero e matematico, per sua natura scorre allo stesso modo, senza alcuna relazione con l’esterno”.
James Clerk Maxwell (1831 – 1879) • Maxwell, intorno al 1864, completa la formulazione della teoria dei campi elettromagnetici unificando elettricità, magnetismo ed ottica.
La sintesi sublime è costituita da 4 “bellissime” equazioni!
LE EQUAZIONI DI MAXWELL HANNO UN DIFETTO … • NON SONO INVARIANTI RISPETTO A T. G. !
IPOTESI AVANZATE • Il principio di relatività è valido per la • • meccanica e non per l’elettrodinamica; deve allora esistere un sistema di riferimento privilegiato rispetto al quale le leggi dell’elettrodinamica sono invarianti: il riferimento dell’etere. Il principio di relatività è valido sia per la meccanica che per l’elettrodinamica, ma non è corretta la formulazione di Maxwell. Il principio di relatività è valido sia per la meccanica che per l’elettrodinamica, ma non è corretta la formulazione di Newton.
Einstein dimostrò che la terza ipotesi è essenzialmente corretta, non per colpa di Newton, ma perché bisogna abbandonare l’usuale idea di spazio e tempo. • Dal punto di vista matematico, le esatte leggi di trasformazione delle coordinate fra sistemi inerziali non sono quelle date da Galileo!
Le esatte leggi di trasformazione erano già state scritte da Lorentz. • LE TRASFORMAZIONI DI LORENTZ (T. L. )
• Le T. L. scaturiscono dai due postulati della relatività. La luce si propaga nello spazio vuoto con la stessa velocità per tutti gli osservatori, indipendentemente dal loro moto o da quello della sorgente luminosa. Le leggi della fisica restano inalterate indipendentemente dalla scelta del sistema di riferimento inerziale.
Simultaneità • Consideriamo una linea ferroviaria di estremi A e B e supponiamo che i due punti siano raggiunti da un fulmine. • Diremo che il lampo di luce in A è simultaneo a quello in B se un osservatore che si trovi esattamente nel punto di mezzo tra A e B, vede i lampi contemporaneamente.
Consideriamo un treno che percorra la linea a velocità costante v V -- ----- m’-----treno A-----m-----B banchina • L’osservatore in m vede due lampi simultanei in A • • e B. L’osservatore in m’ (che si muove verso B) vede arrivare prima la luce proveniente da B poi quella da A. Per questo osservatore i due eventi non sono simultanei! Nei primi anni del 1900 ciò è chiaro a tutte le persone sufficientemente ragionevoli, cioè solo ad Albert Einstein! (La considerazione è del prof. Carlo Rovelli)
• Dopo aver così annullato il tempo assoluto della fisica newtoniana, Einstein impiegò poche settimane a ricavare le conseguenze sconvolgenti dei postulati della relatività:
• dilatazione del tempo • contrazione delle lunghezze • variazione della massa con la velocità • addizione di velocità • equivalenza tra massa ed energia
DILATAZIONE DEL TEMPO E CONTRAZIONE DELLE LUNGHEZZE • Newton scriveva nei Principia: • “Lo spazio assoluto, per sua natura, resta sempre tale e invariabile senza alcuna relazione con l’esterno. • Il tempo assoluto, vero e matematico, per sua natura scorre allo stesso modo, senza alcuna relazione con l’esterno”.
Einstein inizia i suoi <<Gedanken Experimente>>
Confrontiamo le durate di uno stesso fenomeno secondo il punto di vista di due osservatori O ed O’ in moto relativo. I due osservatori vogliono misurare l’intervallo di tempo che un segnale luminoso impiega percorrere una certa distanza. L’osservatore O’ si muove rispetto ad O a velocità costante. Gli orologi di O ed O’ sono inizialmente sincronizzati!
O’ lancia un segnale luminoso verso uno specchio che lo riflette indietro. Vogliamo misurare la durata di questo evento per i due osservatori. Ne vedremo delle belle!. . .
La situazione vista da O’ specchio L’ Per O’ il fenomeno avviene nello stesso luogo! (tempo proprio)
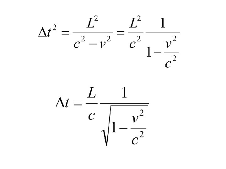
Lo stesso fenomeno visto da O: s P 1 S = cΔt v P 1 H = v Δt H P 2 SH = L’ Δt è l’intervallo di tempo misurato da O (che non è nel riferimento proprio)
L’intervallo di tempo misurato da O’ che impiega la luce per arrivare allo specchio lo indichiamo con Δt’.
Teorema di Pitagora!
ma • L’intervallo di tempo misurato dall’osservatore O risulta dilatato rispetto a quello misurato da O’ !!!
Ponendo si ha: Tale quantità è detta fattore di dilatazione.
Si dimostra, altrettanto semplicemente, che le lunghezze si contraggono: • N. B. La lunghezza ΔL è misurata in moto, mentre ΔL’ è la lunghezza in quiete.
E’ interessante calcolare il limite per c →∞ delle due precedenti relazioni. • Scopriremmo … la fisica classica
Nel limite di v →C ? • Il fotone è eterno!
IL muone (µ) Particelle simili agli elettroni, ma con massa circa 200 volte superiore che si formano per interazione tra i raggi cosmici e l’atmosfera a quote abbastanza alte, circa 9000 metri! Sono particelle instabili. Decadono per interazione debole secondo il seguente schema:
IL tempo medio di decadimento misurato in laboratorio è
I muoni viaggiano alla velocità V = 0. 99777 c A tale velocità, prima di decadere, potrebbero percorre la distanza: Circa 600 metri
I rivelatori posti sulla superficie della Terra indicano la presenza di muoni provenienti dall’atmosfera: essi viaggiano, dunque, per 9000 metri! Dilatazione dello spazio e contrazione delle lunghezze risolvono l’apparente paradosso.
L’osservatore sulla Terra non si trova in un riferimento proprio perché gli eventi: produzione e rivelazione del muone non avvengono nello stesso luogo! Il tempo, dunque deve essere corretto secondo la formula della dilatazione:
Cosa pensa il muone di tutto ciò? Secondo il suo punto di vista, la distanza misurata in quiete (9000 m) è contratta per effetto della velocità, secondo la relazione:
La massa dipende dalla velocità! • La quantità M 0 è la massa a riposo.
Teorema della somma delle velocità (ovvero: due più due è uguale a quattro? ) • Un esercizio divertente: fare le derivate delle formule di trasformazione di Lorentz e ricavare le regole di addizione delle velocità.
• Il risultato è che per sommare la velocità V alla velocità v occorre la seguente relazione: “…due più due quattro è una cosa assolutamente insopportabile. Due più due quattro, secondo me, è una vera e propria impertinenza. Due più due quattro vi fissa negli occhi con aria spavalda, si pianta in mezzo alla strada, si punta le mani sui fianchi e sputa per terra. Io posso pure dire che due più due quattro è una cosa stupenda, (…) anche due più due cinque può essere una cosetta graziosissima” Dostoevskij (Memorie dal sottosuolo)
Conseguenza di questa relazione: V+c=c c+c=c La velocità della luce (nel vuoto) non può essere superata!
Equivalenza massa energia E = m c²
IL PARADOSSO DEI GEMELLI Due gemelli di 19 anni d’età lasciano la Terra e viaggiano verso un pianeta lontano 12 anni luce. Si supponga che il pianeta e la Terra siano in quiete relativa. I gemelli partono nello stesso istante su veicoli diversi. Un gemello viaggia alla velocità di 0. 900 c e l’altro alla velocità di 0. 500 c; al loro incontro sul pianeta, quale dei due gemelli è più vecchio?
Chiamiamo A il gemello che viaggia alla velocità 0. 900 c. • Il tempo impiegato da A per raggiungere il pianeta vale
BIBLIOGRAFIA Einstein - La relatività - Newton Compton Einstein - Pensieri degli anni difficili - Boringhieri Einstein - Come io vedo il mondo - Newton Compton Russell - L’abc della relatività - Tea Editore (fortemente consigliato) Durell - La relatività con le 4 operazioni – Boringhieri Feynman - Lectures on physics - Inter-European Ed. Gamow - Biografia della fisica - Mondadori Ciurleo - La teoria della relatività - D’Anna La bellezza come metodo - Paul A. M. Dirac - Indiana Sette brevi lezioni di fisica – Rovelli - Adelphi Le Scienze - Einstein Le Scienze - Maxwell