RELATED RATES Section 2 6 Calculus APDual Revised
























































- Slides: 56
RELATED RATES Section 2. 6 Calculus AP/Dual, Revised © 2017 viet. dang@humbleisd. net 9/6/2021 5: 36 PM § 2. 6: Related Rates 1
DEFINITIONS A. Related rates are found when there are two or more variables that all depend on another variable, usually time B. Two or more quantities change as time changes C. Since the variables are related to each other, the rates at which they change (their derivatives) are also related D. Real-life problems rarely involve just a single variable. Most are written in terms of multiple variables. Related rate problems are real-life situations based on equations defined by rates of change. We can differentiate these problems using IMPLICIT DIFFERENTATION. E. Remember to replace one variable before differentiating. 9/6/2021 5: 36 PM § 2. 6: Related Rates 2
BEFORE WE START… 1) Distance Formula 2) Area of Triangle 3) Volume of a Sphere 4) Pythagorean Theorem 5) Area of a Circle 6) Volume of a Cube 7) Circumference of a Circle 8) Surface Area of a Sphere 9) Volume of a Cylinder 10) Volume of a Cone 9/6/2021 5: 36 PM § 2. 6: Related Rates 3
REVIEW 9/6/2021 5: 36 PM § 2. 6: Related Rates 4
REVIEW Rewrite this in calculus terms: “The area of a circle is increasing at a rate of 6 square inches per second” 9/6/2021 5: 37 PM § 2. 6: Related Rates 5
STEPS A. Sketch and label the diagram and make sure the given rates are increasing (+) or decreasing (–) B. Write the words “find” along with what you are finding out (for AP testing) C. Write all given information D. Write the equation which pertains to the problem (i. e. Pythagorean, Distance, Surface Area, etc…) E. Differentiate with respect to time F. Substitute all known values G. Solve for the desired quantity H. LABEL with appropriate units! 9/6/2021 5: 37 PM § 2. 6: Related Rates 6
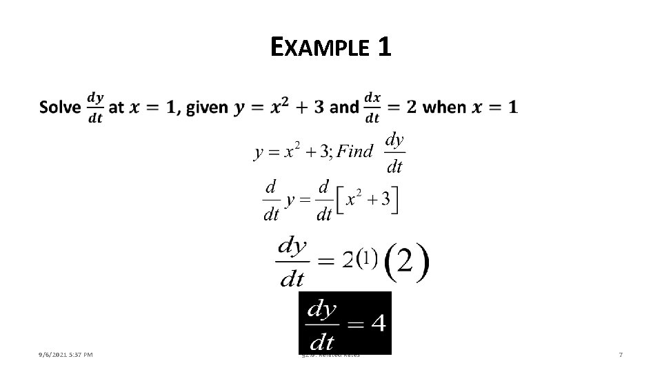
EXAMPLE 1 9/6/2021 5: 37 PM § 2. 6: Related Rates 7
YOUR TURN 9/6/2021 5: 37 PM § 2. 6: Related Rates 8
EXAMPLE 2 9/6/2021 5: 37 PM § 2. 6: Related Rates 9
9/6/2021 5: 37 PM § 2. 6: Related Rates 10
EXAMPLE 2 9/6/2021 5: 37 PM § 2. 6: Related Rates 11
EXAMPLE 2 Change in Radius in respects to Time 9/6/2021 5: 37 PM Change in Height in Respects to Time § 2. 6: Related Rates 12
JUSTIFICATIONS A. B. C. D. Show the equation. List the ‘given’ and identify the ‘find’ Show the differentiation Show the substitution of plugging in the equation AFTER taking the differentiation E. VANUT: Verb, Answer, Noun, Units, and Time 9/6/2021 5: 37 PM § 2. 6: Related Rates 13
EXAMPLE 3 The area is changing at a rate of 8π ft 2/sec when r is at 4 feet. 9/6/2021 5: 37 PM § 2. 6: Related Rates 14
EXAMPLE 4 9/6/2021 5: 37 PM § 2. 6: Related Rates 15
EXAMPLE 4 The rate of area is changing at 20π ft. 2/sec when r = 5 feet. 9/6/2021 5: 37 PM § 2. 6: Related Rates 16
EXAMPLE 5 9/6/2021 5: 37 PM § 2. 6: Related Rates 17
EXAMPLE 5 The radius of the balloon is increasing at 1/(25π) cm. /sec when d = 50 cm. 9/6/2021 5: 37 PM § 2. 6: Related Rates 18
YOUR TURN The rate of radius is increasing at 1/π in. /sec when r = 1 in. 9/6/2021 5: 37 PM § 2. 6: Related Rates 19
GEOMETER’S SKETCHPAD Cone 9/6/2021 5: 37 PM § 2. 6: Related Rates 20
EXAMPLE 6 Water is pouring into an inverted conical tank (right circular cone with height of 16 meters and base radius of 4 meters) at 2 cubic meters per minute. How fast is the water level rising when the water in the tank is 5 meters deep? Given: Height = 5 meters Radius of Cone = 4 meters Height of Cone = 16 meters 9/6/2021 5: 37 PM § 2. 6: Related Rates 21
EXAMPLE 6 Water is pouring into an inverted conical tank (right circular cone with height of 16 meters and base radius of 4 meters) at 2 cubic meters per minute. How fast is the water level rising when the water in the tank is 5 meters deep? Similar Triangle Proportion 9/6/2021 5: 37 PM § 2. 6: Related Rates 22
EXAMPLE 6 Water is pouring into an inverted conical tank (right circular cone with height of 16 meters and base radius of 4 meters) at 2 cubic meters per minute. How fast is the water level rising when the water in the tank is 5 meters deep? 9/6/2021 5: 37 PM § 2. 6: Related Rates 23
EXAMPLE 6 Water is pouring into an inverted conical tank (right circular cone with height of 16 meters and base radius of 4 meters) at 2 cubic meters per minute. How fast is the water level rising when the water in the tank is 5 meters deep? 9/6/2021 5: 37 PM § 2. 6: Related Rates 24
EXAMPLE 6 Water is pouring into an inverted conical tank (right circular cone with height of 16 meters and base radius of 4 meters) at 2 cubic meters per minute. How fast is the water level rising when the water in the tank is 5 meters deep? 9/6/2021 5: 37 PM § 2. 6: Related Rates 25
EXAMPLE 6 Water is pouring into an inverted conical tank (right circular cone with height of 16 meters and base radius of 4 meters) at 2 cubic meters per minute. How fast is the water level rising when the water in the tank is 5 meters deep? 9/6/2021 5: 37 PM § 2. 6: Related Rates Water is RISING at a rate of 32/(25π) meters/min when h = 5 meters 26
EXAMPLE 7 Water runs out of an inverted conical tank at the constant rate of 2 cubic feet per minute. The radius at the top of the tank is 5 feet and the height of the tank is 10 feet. How fast is the water level sinking when the water is 4 feet deep? Similar Triangle Proportion 9/6/2021 5: 37 PM § 2. 6: Related Rates 27
EXAMPLE 7 Water runs out of an inverted conical tank at the constant rate of 2 cubic feet per minute. The radius at the top of the tank is 5 feet and the height of the tank is 10 feet. How fast is the water level sinking when the water is 4 feet deep? 9/6/2021 5: 37 PM § 2. 6: Related Rates 28
EXAMPLE 7 Water runs out of an inverted conical tank at the constant rate of 2 cubic feet per minute. The radius at the top of the tank is 5 feet and the height of the tank is 10 feet. How fast is the water level sinking when the water is 4 feet deep? 9/6/2021 5: 38 PM § 2. 6: Related Rates 29
EXAMPLE 7 Water runs out of an inverted conical tank at the constant rate of 2 cubic feet per minute. The radius at the top of the tank is 5 feet and the height of the tank is 10 feet. How fast is the water level sinking when the water is 4 feet deep? Water is DECREASING at a rate of 1/(2π) feet/min when h = 4 feet 9/6/2021 5: 38 PM § 2. 6: Related Rates 30
YOUR TURN Water is DECREASING at a rate of 1/(2π) ft/min when h = 8 feet 9/6/2021 5: 38 PM § 2. 6: Related Rates 31
EXAMPLE 8 The rate of area is INCREASING at a rate of 2. 194 in/sec when r = 1. 8 inches. 9/6/2021 5: 38 PM § 2. 6: Related Rates 32
GEOMETRIC SKETCHPAD Falling ladder 9/6/2021 5: 38 PM § 2. 6: Related Rates 33
EXAMPLE 9 9/6/2021 5: 38 PM § 2. 6: Related Rates 34
EXAMPLE 9 9/6/2021 5: 38 PM § 2. 6: Related Rates 35
EXAMPLE 9 9/6/2021 5: 38 PM § 2. 6: Related Rates 36
EXAMPLE 9 9/6/2021 5: 38 PM § 2. 6: Related Rates 37
EXAMPLE 9 The ladder is FALLING at a rate of 8/3 ft. /sec. when ladder is 12 ft. 9/6/2021 5: 38 PM § 2. 6: Related Rates 38
YOUR TURN The ladder is FALLING at a rate of 3/4 ft. /sec. when ladder is 6 ft. from the wall. 9/6/2021 5: 38 PM § 2. 6: Related Rates 39
EXAMPLE 10 A balloon rises at a rate of 3 meters per sec from a point on the ground 30 meters from an observer. Find the rate of change of the angle of elevation of the balloon from the observer when the balloon is 30 meters above the ground. 9/6/2021 5: 38 PM § 2. 6: Related Rates 40
EXAMPLE 10 A balloon rises at a rate of 3 meters per sec from a point on the ground 30 meters from an observer. Find the rate of change of the angle of elevation of the balloon from the observer when the balloon is 30 meters above the ground. 9/6/2021 5: 38 PM § 2. 6: Related Rates 41
EXAMPLE 10 A balloon rises at a rate of 3 meters per sec from a point on the ground 30 meters from an observer. Find the rate of change of the angle of elevation of the balloon from the observer when the balloon is 30 meters above the ground. 9/6/2021 5: 38 PM § 2. 6: Related Rates 42
EXAMPLE 10 A balloon rises at a rate of 3 meters per sec from a point on the ground 30 meters from an observer. Find the rate of change of the angle of elevation of the balloon from the observer when the balloon is 30 meters above the ground. 9/6/2021 5: 38 PM § 2. 6: Related Rates 43
EXAMPLE 11 9/6/2021 5: 38 PM § 2. 6: Related Rates 44
YOUR TURN A balloon raises at the rate of 10 feet per second from a point on the ground 100 feet from an observer. Find the rate of change of the angle of elevation to the balloon from the observer when the balloon is 100 feet from the ground. 9/6/2021 5: 38 PM The angle of elevation is INCREASING at a rate of 1/20 rad. /sec. when the balloon is 100 § 2. 6: Related Rates ft. from the ground. 45
EXAMPLE 12 A boy 5 feet tall walks at the rate of 4 feet per second directly away from a street light which is 20 feet above the street. (a) At what rate is the tip of his shadow changing? (b) At what rate is the length of his shadow changing? 9/6/2021 5: 38 PM § 2. 6: Related Rates 46
EXAMPLE 12 A A boy 5 feet tall walks at the rate of 4 feet per second directly away from a street light which is 20 feet above the street. (a) At what rate is the tip of his shadow changing? (b) At what rate is the length of his shadow changing? 9/6/2021 5: 38 PM § 2. 6: Related Rates 47
EXAMPLE 12 A A boy 5 feet tall walks at the rate of 4 feet per second directly away from a street light which is 20 feet above the street. (a) At what rate is the tip of his shadow changing? (b) At what rate is the length of his shadow changing? 9/6/2021 5: 38 PM § 2. 6: Related Rates 48
EXAMPLE 12 A A boy 5 feet tall walks at the rate of 4 feet per second directly away from a street light which is 20 feet above the street. (a) At what rate is the tip of his shadow changing? (b) At what rate is the length of his shadow changing? 9/6/2021 5: 38 PM § 2. 6: Related Rates 49
EXAMPLE 12 B A boy 5 feet tall walks at the rate of 4 feet per second directly away from a street light which is 20 feet above the street. (a) At what rate is the tip of his shadow changing? (b) At what rate is the length of his shadow changing? 9/6/2021 5: 38 PM § 2. 6: Related Rates 50
EXAMPLE 13 A flood light is on the ground 45 meters from a building. A thief 2 meters tall, runs from the flood light towards the building at 6 meters/sec. How rapidly is the length of the shadow on the building changing when he is 15 meters from the building? It is negative because thief is running to the left 9/6/2021 5: 39 PM § 2. 6: Related Rates 51
EXAMPLE 13 A flood light is on the ground 45 meters from a building. A thief 2 meters tall, runs from the flood light towards the building at 6 meters/sec. How rapidly is the length of the shadow on the building changing when he is 15 meters from the building? 9/6/2021 5: 39 PM § 2. 6: Related Rates 52
EXAMPLE 13 A flood light is on the ground 45 meters from a building. A thief 2 meters tall, runs from the flood light towards the building at 6 meters/sec. How rapidly is the length of the shadow on the building changing when he is 15 meters from the building? 9/6/2021 5: 39 PM § 2. 6: Related Rates 53
AP MULTIPLE CHOICE PRACTICE QUESTION 1 (NON-CALCULATOR) 9/6/2021 5: 39 PM § 2. 6: Related Rates 54
AP MULTIPLE CHOICE PRACTICE QUESTION 1 (NON-CALCULATOR) Vocabulary 9/6/2021 5: 39 PM Process and Connections § 2. 6: Related Rates Answer and Justifications 55
ASSIGNMENT Worksheet 9/6/2021 5: 39 PM § 2. 6: Related Rates 56