Relacin especiesrea Una de las pocas leyes en

  • Slides: 15
Download presentation
Relación especies-área

Relación especies-área

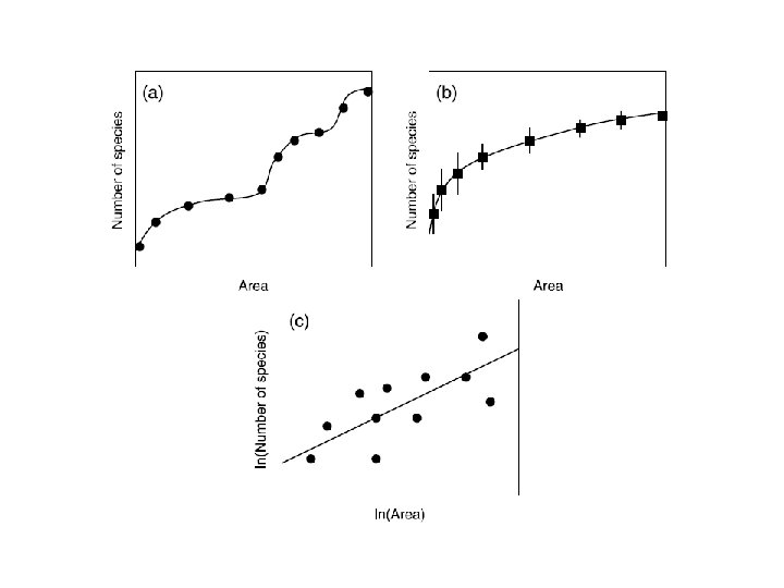
Una de las pocas leyes en ecología • • A mayor área mayor número

Una de las pocas leyes en ecología • • A mayor área mayor número de especies Patrón reconocido desde 1859. La evidencia es abundante Teoría de biogeográfía de islas: Mac. Arthur su principal exponente • Formalización de la relación – – – S = k. Az S = número de especies k = el intercepto en y de la línea en una relación log-log A = área de la isla z = pendiente de la línea en una relación log-log

Explicaciones • Area en relación con los procesos de colonización y extinción – Mayor

Explicaciones • Area en relación con los procesos de colonización y extinción – Mayor oportunidad de colonizar y evitar la extinción en islas que están cerca del continente – Mayor oportunidad de colonizar y evitar la extinción en islas grandes – Experimento de defaunación de islas • Heterogeneidad de hábitats – Mayor oportunidad de encontrar nichos en islas grandes • Disturbios – Islas grandes permiten la sobrevivencia aunque hayan disturbios

Resumen • La relación especies-área es un patrón muy común en la naturaleza •

Resumen • La relación especies-área es un patrón muy común en la naturaleza • Sin embargo, lo que causa este patrón no está muy claro. • La teoría de biogeografía de islas aplica mejor a islas • Al intentar aplicarla a hábitats surgen otros patrones que desarrollaremos después.

Mac. Arthur Levins

Mac. Arthur Levins

Según distancia a continente cercana lejana

Según distancia a continente cercana lejana

Según tamaño de la isla pequeña grande

Según tamaño de la isla pequeña grande

¿Es real el equilibrio de especies?

¿Es real el equilibrio de especies?

Simberlof y Wilson 1969

Simberlof y Wilson 1969

Recolonización de islas Mas cercana Mas lejana

Recolonización de islas Mas cercana Mas lejana

# de especies de reptiles y anfibios

# de especies de reptiles y anfibios