Regularization The problem of overfitting Machine Learning Size
Regularization The problem of overfitting Machine Learning
Size Price Example: Linear regression (housing prices) Size Overfitting: If we have too many features, the learned hypothesis may fit the training set very well ( ), but fail to generalize to new examples (predict prices on new examples). Andrew Ng
Example: Logistic regression x 2 x 2 x 1 x 1 ( = sigmoid function) Andrew Ng
size of house no. of bedrooms no. of floors age of house average income in neighborhood kitchen size Price Addressing overfitting: Size Andrew Ng
Addressing overfitting: Options: 1. Reduce number of features. ― Manually select which features to keep. ― Model selection algorithm (later in course). 2. Regularization. ― Keep all the features, but reduce magnitude/values of parameters. ― Works well when we have a lot of features, each of which contributes a bit to predicting. Andrew Ng
Regularization Cost function Machine Learning
Price Intuition Size of house Suppose we penalize and make , really small. Andrew Ng
Regularization. Small values for parameters ― “Simpler” hypothesis ― Less prone to overfitting Housing: ― Features: ― Parameters: Andrew Ng
Price Regularization. Size of house Andrew Ng
In regularized linear regression, we choose to minimize Price What if is set to an extremely large value (perhaps for too large for our problem, say )? Size of house Andrew Ng
Regularization Regularized linear regression Machine Learning
Regularized linear regression
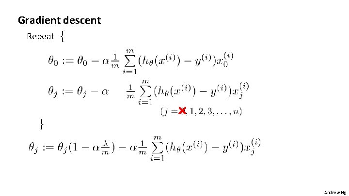
Gradient descent Repeat Andrew Ng
Normal equation Andrew Ng
Non-invertibility (optional/advanced). Suppose , (#examples) (#features) If , Andrew Ng
Regularization Regularized logistic regression Machine Learning
Regularized logistic regression. x 2 x 1 Cost function: Andrew Ng
Gradient descent Repeat Andrew Ng
Advanced optimization function [j. Val, gradient] = cost. Function(theta) j. Val = [ code to compute ]; gradient(1) = [code to compute ]; gradient(2) = [code to compute ]; gradient(3) = [code to compute ]; gradient(n+1) = [ code to compute ]; Andrew Ng
- Slides: 23