REGRESI LINEAR DALAM ANALISIS KUANTITATIF AHMAD NURDIN Apa




































































- Slides: 68
REGRESI LINEAR DALAM ANALISIS KUANTITATIF AHMAD NURDIN
Apa itu Regresi Linier ? • Regresi merupakan alat ukur yg digunakan untuk mengetahui ada tidaknya korelasi antarvariabel. • Analisis regresi lebih akurat dlm analisis korelasi karena tingkat perubahan suatu variabel terhdp variabel lainnya dpt ditentukan). Jadi pada regresi, peramalan atau perkiraan nilai variabel terikat pada nilai variabel bebas lebih akurat pula. • Regresi linier adalah regresi yang variabel bebasnya (variabel X) berpangkat paling tinggi satu. Utk regresi sederhana, yaitu regresi linier yg hanya melibatkan dua variabel (variabel X dan Y).
Persamaan Regresi Linear dari Y terhadap X • Y = a + b. X • • Keterangan : Y = variabel terikat X = variabel bebas a = intersep / konstanta b = koefisien regresi / slop Persamaan regresi linear di atas dpt pula dituliskan dlm bentuk
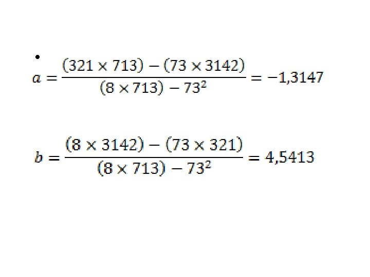
Mencari nilai a dan b • Rumus 1 • Pendekatan Matriks
• Rumus II
Contoh Soal • Berikut ini data mengenai pengalaman kerja dan penjualan • X=pengalaman kerja (tahun) X 2 penjualan 3 2 5(ribuan) 6 1 4 1 • Y=omzet Y 5 8 8 7 11 3 10 4 • Tentukan nilai a dan b (gunakan ketiga cara)! • Buatkan persamaan regresinya! • Berapa omzet pengjualan dari seorang karyawan yg pengalaman kerjanya 3, 5 tahun
Penyelesaian : X Y 2 5 3 8 2 8 5 7 6 11 1 3 4 10 1 4 24 Cara 1. 56 X 2 4 9 4 25 36 1 16 1 96 Y 2 25 64 64 49 121 9 100 16 448 XY 10 24 16 35 66 3 40 4 198 Cara 2.
Cara 3 a. Dari ketiga cara pengerjaan tersebut diperoleh nilai a = 3, 25 dan nilai b = 1, 25 b. Persamaan regresi linearnya adalah Y=3, 25+1, 25 X c. Nilai duga Y, jika X=3, 5 adalah Y=3, 25+1, 25 X Y=3, 25+1, 25(3, 5) =7, 625
Persamaan korelasi
kriteria sebagai berikut (Sarwono: 2006): • kriteria sebagai berikut (Sarwono: 2006): – 0 : Tidak ada korelasi antara dua variabel – >0 – 0, 25: Korelasi sangat lemah – >0, 25 – 0, 5: Korelasi cukup – >0, 5 – 0, 75: Korelasi kuat – >0, 75 – 0, 99: Korelasi sangat kuat – 1: Korelasi sempurna
TEKNIK REGRESI SEDERHANA OLEH a. nurdin
KORELASI SEDERHANA • Dalam statistik kita mengenal hubungan antar variabel, yang digunakan untuk mengukur ada atau tidak hubungan antar variabel disebut Korelasi. • Model yang paling sederhana untuk menjelaskan hubungan antara variabel dependen dengan satu variabel independen merupakan korelasi sederhana.
Korelasi yang terjadi antara dua variabel dapat berupa : • 1. Korelasi Positif adalah korelasi dua variabel, yaitu apabila variabel independen (X) meningkat atau turun maka variabel dependen (Y) cenderung untuk meningkat atau turun. • 2. Korelasi Negatif adalah korelasi dua variabel, yaitu apabila variabel independen (X) meningkat atau turun maka variabel dependen (Y) cenderung untuk turun atau meningkat.
3. Tidak ada Korelasi terjadi apabila kedua variabel X dan Y tidak menunjukan adanya hubungan • 4. Korelasi Sempurna adalah korelasi dari dua variabel yang benar-benar terjadi
Koefisien Korelasi Sederhana • Koefisien Korelasi (r) merupakan indeks atau bilangan yang digunakan untuk mengukur keeratan hubungan antar variabel. • Koefisien Korelasi memiliki nilai antara -1 dan +1 (-1≤r≤+1)
Untuk menentukan keeratan hubungan atau korelasi antar variabel berikut nilai-nilai patokan: 1. 2. 3. 4. 5. 6. 7. r = 0 tidak ada korelasi 0 < r ≤ 0, 20 korelasi sangat lemah sekali 0, 20 < r ≤ 0, 40 korelasi lemah sekali 0, 40 < r ≤ 0, 70 korelasi yang cukup kuat 0, 70 < r ≤ 0, 90 korelasi yang kuat 0, 90 < r < 1, 00 korelasi sangat kuat r = 1, korelasi sempurna
• 1. KOEFISIEN KORELASI PEARSON
RUMUS KOEFISIEN KORELASI SEDERHANA • 1. Koefisien korelasi menggunakan pendekatan metode kwadrat terkecil (method of least square) •
X Y 3 12 6 23 9 24 10 26 13 28
KOEFISIEN DETERMINASI • Koefisien determintasenasi untuk mengukur persentase variabel Y yang dapat dijelaskan oleh independen variabel (X) • Nilai koefisien korelasi sebesar kuadrat koefisien korelasi
REGRESI SEDERHANA • Regresi adalah alat yang digunakan untuk melihat seberapa besar pengaruh antar variabel. • Model yang paling sederhana untuk menjelaskan pengaruh antara variabel dependen dengan satu variabel independen merupakan regresi sederhana.
Persamaan garis regresi: • • • Dimana : Y = Variabel terikat / Dependent variabel X = Variabel bebas/ Independent variabel a = Intersep/ Konstanta b = koefisien regresi
RUMUS REGRESI LINIER SEDERHANA • Garis regresi menggunakan pendekatan metode kwadrat terkecil (method of least square)
KESALAHAN BAKU ESTIMASI • Kesalahan baku estimasi untuk mengukur besarnya penyimpangan nilai Y sebenarnya dengan nilai Y estimasi ( ӯ ) • Rumus Kesalahan baku estimasi
Untuk memudahkan peoses perhitungan rumus kesalahan baku estimasi sebelumnya diubah menjadi :
CONTOH • Pak Budiman, manajer pemasaran PT. ABC memiliki data harga jual dengan volume penjualan produknya selama 10 bulan, dan pak Budiman ingin mengamati hubungan, persentase variabel Y yang dapat dijelaskan variabel X, pengaruh dan kesalahan baku yang terjadi antara dua variabel tersebut ?
Volume penjualan dan harga jual produk PT. ABC selama 10 bulan Bulan Volume Penjualan (Dalam ribuan) Harga Jual (Dalam ribuan Rp) 1 10 1, 30 2 6 2, 00 3 5 1, 70 4 12 1, 50 5 10 1, 60 6 15 1, 20 7 5 1, 60 8 12 1, 40
JAWAB y 10 6 5 x 1, 30 2, 00 1, 70 xy 13, 0 12, 0 8, 5 1, 69 4, 00 2, 89 100 36 25 12 10 15 5 12 17 20 112 1, 50 1, 60 1, 20 1, 60 1, 40 1, 00 1, 10 14, 4 18, 0 16, 0 18, 0 16, 8 17, 0 22, 0 149, 3 2, 25 2, 56 1, 44 2, 56 1, 96 1, 00 1, 21 21, 56 144 100 225 25 144 289 400 1. 488
- Hubungan antara penjualan dan harga jual • Untuk melihat hubungan dengan menghitung koefisien korelasi
Koefisien korelasi sebesar -0, 87 menunjukan hubungan linier negatif yang kuat artinya bila harga naik maka volume penjualan akan turun - Persentase variabel Y yang dapat dijelaskan variabel X, dengan menghitung koefisien determinasi yaiyu dengan mengkwadratkan koesisien korelasi - = 0, 76 x 100 = 76%
Interprestase dari nilai koefisien determinasi : 1. 76 persen dari variabel volume penjualan di pengaruhi oleh naik/turunnya harga produk 2. 25 persen dari variabel volume penjualan dipengaruhi variabel lain selain harga produk • misalnya iklan atau tersediannya produk subtitusi, kwalitas produk.
- Pengaruh harga terhadap penjualan • Untuk mengetahui pengaruh tersebut dengan menghitung koefisien regresi •
Interprestasi dari persamaan tersebut • Nilai a = 32, 14 artinya jika harga sama dengan nol maka rata-rata 32. 140 produk akan terjual. • Nilai b = -14, 54 artinya jika harga naik Rp 1, 00 maka volume penjualan akan turun sebesar 14, 54 unit
- Kesalahan baku y 10 6 5 x 1, 30 2, 00 1, 70 12 10 15 5 12 17 20 112 1, 50 1, 60 1, 20 1, 60 1, 40 1, 00 1, 10 14, 4 13, 24 3, 06 7, 42 - 3, 24 2, 94 - 2, 42 10, 50 8, 64 5, 86 10, 33 8, 88 14, 69 8, 88 11, 78 17, 6 16, 15 1, 67 1, 12 0, 31 - 3, 88 0, 22 - 0, 6 3, 85 2, 79 1, 25 0, 096 15, 05 0, 048 0, 36 14, 82 59, 414
Kesalahan baku estimasi dapat dihitung dengan rumus : • Manfaat kesalahan baku adalah dapat digunakan untuk membandingkan nilai penyebaran titik data dari garis regresi yang satu dengan garis regresi yang lain
Atau dihitung menggunakan rumus lain lagi untuk menentukan kesalahan baku estimasi :
PENGUJIAN HIPOTESIS • Sebelum memutuskan unruk menggunakan variabel bebas ( X ) untuk memperkirakan/ meramalkan variabel terikat ( Y ), sering kita membuat suatu anggapan sebagai suatu hipotesis bahwa variabel X dan Y mempunyai hubungan atau pengaruh.
PENGUJIAN HIPOTESIS TENTANG KOEFISIEN KORELASI • Pengujian bahwa variabel X dan Y mempunyai hubungan yang kuat. • Didalam perumusan hipotesis nol (Ho) yang harus menyertainya dengan hipotesis alternatif (Ha), sebagai berikut : • Ho : ƿ = 0, X dan Y tidak ada hubungan • Ha : ƿ < 0, X dan Y mempunyai hubungan negatif • Ha : ƿ > 0, X dan Y mempunyai hubungan positif • Ha : ƿ ≠ 0, X dan Y ada hubungan •
Langka-langka Pengujian Hipotesis : 1. Merumuskan bentuk hipotesis : • Ho : ƿ = 0 • Ha : ƿ < 0 Pengujian satu arah • Ha : ƿ > 0 Pengujian satu arah • Ha : ƿ ≠ 0 Pengujian dua arah • 2. Menentukan nilai kesalahan = α, setelah α diketahui kemudian mencari atau dari t tabel dengan df = n-2
Langka-langka Pengujian Hipotesis : • 3. Menghitung t hitung dengan rumus: • 4. Kesimpulan untuk menolak atau menerima Ho, yang tergantung dari bentuk perumusan hipotesisnya yaitu : • Ho : ƿ = 0 D. Penolakan D. penerimaan • Ha : ƿ < 0 •
4. Kesimpulan untuk menolak atau menerima Ho • Ho : ƿ = 0 D. Penerimaan • Ha : ƿ> 0 D. penolakan • • Ho : ƿ = 0 D. Penerimaan • Ha : ƿ≠ 0 D. Penolakan •
PENGUJIAN HIPOTESIS TENTANG KOEFISIEN REGRESI • Pengujian bahwa variabel X dan Y mempunyai pengaruh nyata/ berarti (significant) • Didalam perumusan hipotesis nol (Ho) yang harus menyertainya dengan hipotesis alternatif (Ha), sebagai berikut : • Ho : B = 0, Tidak ada pengaruh X terhadap Y • Ha : B < 0, Ada pengaruh negatif X terhadap Y • Ha : B > 0, Ada pengaruh positif X terhadap Y • Ha : B ≠ 0, Ada pengaruh X terhadap Y
Langka-langka Pengujian Hipotesis : 1. Merumuskan bentuk hipotesis : • Ho : B = 0 • Ha : B < 0 Pengujian satu arah • Ha : B > 0 Pengujian satu arah • Ha : B ≠ 0 Pengujian dua arah • 2. Menentukan nilai kesalahan = α, setelah α diketahui kemudian mencari atau dari t tabel dengan df = n-2
Langka-langka Pengujian Hipotesis : • 3. Menghitung t hitung dengan rumus : • • = Kesalahan baku b = Kesalahan baku estimasi
Langka-langka Pengujian Hipotesis : • 4. Kesimpulan untuk menolak atau menerima Ho, yang tergantung dari bentuk perumusan hipotesisnya yaitu : • Ho : ƿ = 0 • Ha : ƿ < 0 • • D. Penolakan D. penerimaan
4. Kesimpulan untuk menolak atau menerima Ho • Ho : ƿ = 0 D. Penerimaan • Ha : ƿ> 0 D. penolakan • • Ho : ƿ = 0 D. Penerimaan • Ha : ƿ≠ 0 D. Penolakan •
CONTOH • Seorang berpendapat bahwa ada hubungan dan pengaruh yang positif antara besarnya upah mingguan dengan pengeluaran konsumsi untu itu diambil sampel 5 orang karyawan diperoleh hasil sebagai berikut : • (000) Upah mingguan Pengluaran komsumsi 80 74 110 98 90 80 60 53 • Ujilah pendapat tersebut dengan α = 5% • 60 57
Jawab X 80 110 90 60 60 400 Y 74 98 80 53 57 362 XY 5920 10780 7200 3180 3420 30500 6400 12100 8100 3600 33800 5476 9604 6400 2809 3249 27538
Pengujian Korelasi/Hubungan • 1. Ho : ƿ = 0 • Ha : ƿ > 0 • 2. α = 5% = 0, 05, • 3. • • = 2, 35
• 4. D. Penerimaan D. Penolakan • Karena • Jadi Ho di tolak, berarti ada hubungan yang positif antara tingkat upah dengan pengeluaran konsumsi
CONTOH • Dari hasil penelitian mahasiswa STIE MDP menyatakan bahwa ada hubungan dan pengaruh kenaikan gaji terhadap kenaikan harga bahan makanan. Untuk menguji pernyataan tersebut dikumpulkan data selama 8 tahun sebagai berikut : % Kenaikan Gaji % Kenaikan Harga 19, 3 18, 2 20, 2 21 26, 4 22, 6 19, 2 22, 4 13 21, 9 20, 5 9, 8 30, 7 13, 4 14, 1 • Ujilah pernyataan tersebut dengan α= 5% 3, 5
Pengujian Regresi/Pengaruh • 1. Ho : ƿ = 0 • Ha : ƿ > 0 • 2. α = 5% = 0, 05, • 3. = 2, 35
3.
Jawab X 80 110 90 60 60 400 0 900 100 400 1800
• 4. D. Penerimaan D. Penolakan • Karena • Jadi Ho di tolak, berarti ada pengaruh tingkat upah dengan pengeluaran konsumsi
Koefisien Determinasi (R 2) Nilai determinasi (R 2) sebesar 0, 6696, artinya sumbangan atau pengaruh pegalaman Kerja terhadap naik turunnya omzet penjualan adalah sebesar 66, 96%. Sisanya 33, 04% Disebabkan oleh faktor lain yang tidak dimasukkan dalam model.
SELISIH TAKSIR STANDAR (STANDAR DEVIASI) Angka indeks yg digunakan utk mengukur ketepatan suatu penduga atau mengukur jumlah variasi titik observasi di sekitar garis regresi. Jika semua titik observasi berada tepat pada garis regresi, selisih taksir standar sama dengan nol. Menunjukkan pencaran data. Selisih taksir standar berguna mengetahui batasan seberapa jauh melesetnya perkiraan dalam meramal data.
Rumus Keterangan : Sy/x = Sx/y = Selisih taksir standar Y = X = nilai variabel sebenarnya Y’ = X’ = nilai variabel yang diperkirakan n = jumlah frekuensi
Contoh : Hubungan antara variabel X dan variabel Y X Y 1 6 2 4 3 3 4 5 a. Buatkan persamaan regresinya b. Tentukan standar baku c. Standar eror 5 4 6 2
Penyelesaian
a. Persamaan garis regresinya: Y’ = 5, 75 – 0, 5 X b. Nilai duga Y’, jika X=8 Y’ = 5, 75 – 0, 5 (8) Y’ = 1, 75 c. Selisih taksir standar
Standar Baku Estimasi Standar Eror