Recurrence Relations Recurrence Relations A recurrence relation is

  • Slides: 34
Download presentation
Recurrence Relations

Recurrence Relations

Recurrence Relations • A recurrence relation is an equation which is defined in terms

Recurrence Relations • A recurrence relation is an equation which is defined in terms of itself. • Many algorithms, particularly divide and conquer algorithms, have time complexities which are naturally modeled by recurrence relations

Example Merge Sort • Merge-Sort(A, p, r): if p < r then q¬(p+r)/2 Merge-Sort(A,

Example Merge Sort • Merge-Sort(A, p, r): if p < r then q¬(p+r)/2 Merge-Sort(A, p, q) Merge-Sort(A, q+1, r) Merge(A, p, q, r) •

Solving Recurrences • We will show 3 ways of solving recurrences: – Substitution method

Solving Recurrences • We will show 3 ways of solving recurrences: – Substitution method - Guess and prove • – Iteration method • – Use mathematical induction to solve your recursion Break the sums into a mathematical series Master theorem • Check for an instant solution

Substitution method • Guess a solution and them prove it using mathematical induction. •

Substitution method • Guess a solution and them prove it using mathematical induction. • To guess the solution, play around with small values for insight n 0 1 2 3 4 5 6 7 0 1 3 7 15 31 63 127

Prove by induction • Claim 1. Show that the basis is true: 2. Now

Prove by induction • Claim 1. Show that the basis is true: 2. Now assume true for T(n-1 ) 3. Using this assumption show:

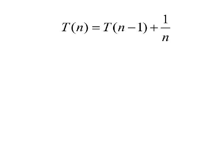
Iteration method • Example • How many terms until we reach T(1) ?

Iteration method • Example • How many terms until we reach T(1) ?

Iteration method

Iteration method

Recursion Trees •

Recursion Trees •

Recursion Trees •

Recursion Trees •

Recursion Trees

Recursion Trees

Recursion Trees •

Recursion Trees •

Master Theorem • A powerful theorem allowing to solve a large class of recursion

Master Theorem • A powerful theorem allowing to solve a large class of recursion relations of the form where • There are 3 cases to remember: 1. If for some constant then

Master Theorem 2. If then 3. If for some constant and for some c

Master Theorem 2. If then 3. If for some constant and for some c < 1 then for all sufficiently large n

Using Master Theorem • T(n) = 4 T(n/2) + n • Case 1 of

Using Master Theorem • T(n) = 4 T(n/2) + n • Case 1 of master theorem

Using Master Theorem •

Using Master Theorem •

Using Master Theorem • • Use case 2 of Master theorem

Using Master Theorem • • Use case 2 of Master theorem

Using Iteration •

Using Iteration •

Using Master theorem •

Using Master theorem •

Examples • • Use Master theorem case 1 where є = 1/6

Examples • • Use Master theorem case 1 where є = 1/6

Master theorem

Master theorem

Examples • Use case 2 of Master Theorem

Examples • Use case 2 of Master Theorem

Examples • Use Master Theorem – case 3

Examples • Use Master Theorem – case 3

Example • Fits case 3 of Master theorem ?

Example • Fits case 3 of Master theorem ?

Examples

Examples

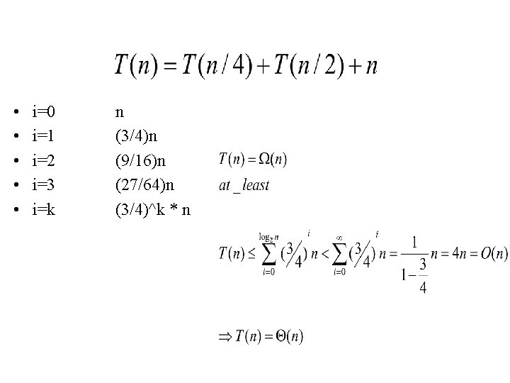
Examples • Master Theorem – does not fit • Substitution method – too complicated

Examples • Master Theorem – does not fit • Substitution method – too complicated • Recursion tree

 • T(n) is at least the price for a complete tree of height

• T(n) is at least the price for a complete tree of height T(n) is at most the price for a complete tree of height

 • • • i=0 i=1 i=2 i=3 i=k n (3/4)n (9/16)n (27/64)n (3/4)^k

• • • i=0 i=1 i=2 i=3 i=k n (3/4)n (9/16)n (27/64)n (3/4)^k * n

Regularity of Case 3 •

Regularity of Case 3 •

Example •

Example •