RECONSTITUTION STABILITY AND STERILITY OF INJECTABLE DRUGS Presenter

RECONSTITUTION, STABILITY AND STERILITY OF INJECTABLE DRUGS Presenter: Deus D. Sinibagiye (Pharmacist) PHARMACY DEPARTMENT

Presentation Outline • Introduction • Stability of different drugs after reconstitution • Use and sterility of drugs packaged in Ampoules • Drug Interaction

Introduction • Drugs administered by injections are packaged in several ways. • Those that deteriorate in solution are usually dispensed as powders and reconstituted immediately before administration • Stable drugs in solution are packaged in ampoules (single dose/unit dose), bottles or vials in an aqueous, oily, emulsion and suspension

• Many drugs used as sterile products, especially antibiotics are made as dry powder form. • It is extremely important that the correct diluents calculations be selected and appropriate performed to ensure correct concentrations and stability of finished product. • Antibiotics in powder form generally have an extended shelf life; however, once diluted most antibiotics lose their potency after a relatively short period of time

Reconstitution • Reconstitution is a process of combining dry form of a mixture with a vehicle to achieve a usable state. • It is also the process of diluting liquid concentrate to achieve a usable state.

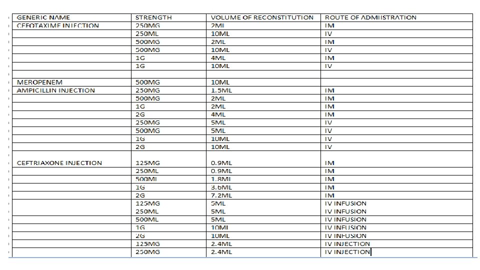
Diluent • Diluent is a clinically inactive ingredient/liquid used to dilute or reconstitute a medication. • It is also used to convert a dry form of a substance to a liquid form. • When reconstituting medications, read the directions to find out which diluent needs to be used.

• Water or normal saline (NS) solution is often used to dilute medicines and to liquefy dry powdered forms of medicines. • Diluents are typically inserted with a syringe through the rubber stopper of the medication vial for injectable drugs. • For Oral or topical suspension, the diluent is measured properly, added to the medication container and shaken really well to ensure powders are dissolved properly

Stability of drugs after reconstitution DRUG NAME STABILITY AFTER RECONSTITUTION STORAGE(°C) DILUENT AMPICILLIN INJ 8 HRS <25 NS/WFI CLOXACILLIN INJ 24 HRS/48 HRS <25/(2 -8) NS/WFI/D 5 W BENZYL PENICILLIN INJ 24 HRS/7 DAYS <25/(2 -8) NS/WFI/D 5 W BENZATHINE PENICILLIN INJ. 24 HRS/7 DAYS <25/(2 -8) NS/WFI/D 5 W FORTIFIED PROCAIN PENICILLIN (PPF) INJ 24 HRS/7 DAYS <25/(2 -8) NS/WFI/D 5 W/lidocain CEFTRIAXONE 3 DAYS/10 DAYS <25/(2 -8) WFI/D 5 W/D 10% CEFOTAXIME INJ 12 HRS/5 -7 DAYS <25/(2 -8) WFI MEROPENEN INJ 1 HR <25 WFI/NS/D 5%/D 10% HYDROCORTISONE INJ 4 HRS <25 WFI/D 5%/NS CHLORAMPHENICOL INJ 24 HRS <25 WFI ARTESUNATE INJ 1 HR <25 0. 9%NS

Amoxicillin +Clavulanic acid injection • AUGMENTIN intravenous should be given by slow intravenous injection over a period of 3 -4 minutes and within 20 minutes of reconstitution. • It may be injected directly into the vein or via a drip tube.

• To prepare AUGMENTIN for intravenous infusion, add without delay 600 mg reconstituted solution to 50 m. L normal saline infusion or 1. 2 g reconstituted solution to 100 m. L normal saline infusion fluid • Infuse over 30 -40 minutes and complete within the time stated. • Satisfactory Augmentin concentrations are retained at 5°C and at room temperature (25°C) in the recommended volumes of the following infusion fluids. • If reconstituted and maintained at room temperature, infusions should be completed within the time stated

Intravenous Infusion Stability Period 250 C Water for Injection BP 4 Hr Sodium Chloride Intravenous Infusion B. P. (0. 9% W/V) 4 HR Sodium Lactate Intravenous Infusion B. P. (M/6) 4 HR Compound Sodium Chloride Injection B. P. C 1959 (Ringer’s) 3 HR Compound Sodium Lactate Intravenous Infusion B. P (Ringer – Lactate: Hartmann’s) 3 HR Potassium Chloride and Sodium Chloride Intravenous Infusion B. P 3 HR

• Any residual Augmentin solutions should be discarded. • AUGMENTIN vials are not suitable for multi-dose use. • AUGMENTIN intravenous is less stable in infusions containing glucose, dextran or bicarbonate. • Reconstituted solution should, therefore, not be added to such infusions but may be injected into the drip tubing over a period of 3 -4 minutes.

Ampicillin Stability • I. V minimum volume: Concentration should not exceed 30 mg/ml concentration stability restrictions due to

Stability at Room Temp(250 C) DILUENT CONC STABILITY PERIOD Sterile water for injection Up to 30 mg/ml 8 hrs Isotonic sodium chloride Up to 30 mg/ml 8 hrs 5% dextrose in water 10 to 20 mg/ml 1 hr 5% dextrose in water Up to 2 mg/ml 2 hrs 5% dextrose in 0. 45%Na. Cl Up to 2 mg/ml 2 hrs Lactated Ringer’s solution Up to 30 mg/ml 8 hrs

Stability when Refrigerated (40 C) DILUENT CONC STABILITY Sterile water for injection 30 mg/ml 48 hrs Sterile water for injection Up to 20 mg/ml 72 hrs Isotonic sodium chloride 30 mg/ml 24 hrs Isotonic sodium chloride Up to 20 mg/ml 48 hrs Lactated Ringer’s solution Up to 30 mg/ml 24 hrs 5% dextrose in water Up to 20 mg/ml 1 hr Lactated Ringer’s solution Up to 10 mg/ml 1 hr

Meropenem Injection • Meropenem for Injection to be used for bolus intravenous injection should be constituted with sterile Water for Injection (10 m. L per 500 mg Meropenem). • This provides an approximate available concentration of 50 mg/m. L. • Reconstituted solutions are both clear and colourless to pale yellow

• Meropenem Injection to intravenous infusion may be be used for directly reconstituted with a compatible infusion fluid and then further diluted (50 to 200 m. L) with the compatible infusion fluid

• Shake reconstituted solution before use • Standard aseptic technique should be employed during reconstitution and administration

Ampoules • An ampoule is a glass flask that contains a single dose of medication for parenteral administration

• There is no way to prevent air bone contamination of any unused portion of medication after an ampule is opened. • If all the medications is not used, the remainder must be discarded. • All drugs which are in ampules when are opened, they have to be used once due to stability and sterility of the drug.

Examples • ATROPINE • Calcium Gluconate IV • Digoxin IV • Dobutamine-within 6 hrs • Adrenaline • Gentamicin • Phenobarbitone • Vitamin k-shortly after preparation

Interactions • Some powdered drugs (injectable) tend to interact with some diluent hence they are not suitable to be used together • Ceftriaxone interact with ringer lactate(due to calcium) and form precipitates which will affects the kidney and lungs of the patient • Not recommended to be used together.

• Vancomycin, aminoglycosides, and fluconazole are incompatible with ceftriaxone in admixtures. • When any of these drugs are to be administered concomitantly with ceftriaxone by intermittent intravenous infusion, it is recommended that they be given sequentially, with thorough flushing of the intravenous lines (with one of the compatible fluids) between the administrations

• Probenecid decreases the renal tubular secretion of amoxicillin • Concomitant use with AUGMENTIN may result in increased and prolonged blood levels of amoxicillin, but not of clavulanic acid • Concomitant use of probenecid is not recommended • Concomitant use of allopurinol during treatment with amoxicillin can increase the likelihood of allergic skin reactions

• A clinically significant reduction in serum valproic acid concentration has been reported in patients receiving carbapenem antibiotics resulting a 60 -100% decrease valproic acid levels in about two days • The concomitant use of meropenem valproate/valpromide is not recommended. and valproic acid/sodium

Probenecid competes with meropenem for active tubular secretion and thus inhibits the renal excretion of meropenem with the effect of increasing the elimination half-life and plasma concentration of meropenem


Clinical Relevance • Reconstituted medications for multidose use are the one exception to the rule, “Never give a medication prepared by someone else” • The exception may be made only if the label is clearly marked with all the requires data • Reconstituted medications with labels that are annotated with all the required data must be discarded to avoid giving an ineffective drug or a spoiled liquid

• Because of the cost and short shelf life of reconstituted medications, it is appropriate that the nurse review the patient’s records and recent orders to be sure that the medication order has not expired before preparing the medication

References • Neonatal Parenteral medications stability Manual King Abdullah University Hospital • New Zealand Data Sheet of Meropenem • hydrocortisone sodium succinate for injection, USP • Lippincot photo atlas of medication administration

THANK YOU
- Slides: 31