RECETTORI NUCLEARI I RECETTORI PER ORMONI ER estrogeni













- Slides: 13
RECETTORI NUCLEARI I. RECETTORI PER ORMONI: ER (estrogeni), GR (glucocorticoidi), MR (mineralcorticoidi), AR (androgeni), PR (progestinici). DNA ligand COOH N N II. RECETTORI “ORFANI”, “ADOTTATI”: PPARs (acidi grassi), LXR (ossisteroli), FXR (acidi biliari), RXR (ac. 9 cis-retinoico), altri DNA ligand COOH RXR N N III. ALTRI RECETTORI NUCLEARI: RAR (ac. Retinoico (Vit. A)), TR (ormoni tiroidei), VDR (Vit. D), Ec. R (ecdisone). DNA ligand RXR COOH N N
II. RECETTORI “ORFANI”, “ADOTTATI”: PPARs (acidi grassi), LXR (ossisteroli), FXR (acidi biliari), RXR (ac. 9 cis-retinoico), altri 1. Enzymi del sistema cytocromo P 450 2. Proteine leganti lipidi intracellulari 3. Trasportatori appartenenti alla famiglia delle “ATP-binding cassette (ABC) proteins” 4. Recettori per lipoproteine Regolazione del METABOLISMO, ACCUMULO, TRASPORTO ed ELIMINAZIONE dei lipidi.
Lipidi ossidati derivati da ox. LDL (Tiazolinedione (TZD)
RUOLO DI ORPHAN NUCLEAR RECEPTORS NEL METABOLISMO LIPIDICO E DELLE LIPOPROTEINE ligando TZD PPARg -Differenziazione adipocitaria (aumento di numero) e -Accumulo di tri-gliceridi negli adipociti rispetto ad altri tessuti (aumento di lipoproteinlipasi, proteina trasportatrice ac. grassi, enzimi) - Espressione di adiponectina (ormone adipocitario che aumenta sensibilità ad insulina) RXR Aumentata espressione di CD 36 Aumentata sintesi LXR Diminuita produzione di citochine nei macrofagi (adipociti? ? )
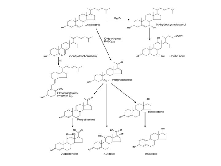
LXR Aumentata sintesi di APO-E RXR Aumentata espressione superficiale di ABCA 1 Aumentata espressione superficiale di ABCG 5 e 8 (trasportatori di colesterolo) Aumentata sintesi di CYP 7 A Aumentata sintesi di acidi biliari Diminuita sintesi di acidi biliari Aumentato efflusso di colesterolo da cell periferiche con aumentata formazione di HDL Aumentata trasporto di colesterolo nel lume intestinale Diminuita sintesi di CYP 7 A AUMENTATA ELIMINAZIONE DI COLESTEROLO FXR RXR
APO-E APO-A Lazar MA Nature Med 7, 23, 2001
HDL ABCA 1 (Malattia di Tangier) LDL-Receptor golgi endosoma lisosoma NPC 1 (Malattia di Niemann-Pick) citoplasma reticolo endoplasmico esteri del colesterolo
LUME INTESTINO ABCG 5/ABCG 8 (Sitosterolemia) LUME CANALICOLO BILIARE ABCG 5/ABCG 8 (Sitosterolemia)
Freeman MW and Moore KJ Nature Medicine 9, 168, 2003