Recent developments in lattice QCD Pter Petreczky Physics



















- Slides: 19
Recent developments in lattice QCD Péter Petreczky Physics Department and RIKEN-BNL • Thermodynamics of 2+1 flavor QCD for nearly physical quark masses 1. Equation of State 2. Quark number and strangeness fluctuations 3. Color screening at high temperatures • Quarkonium correlators 1. Quarkonium properties at T>0 2. Transport contribution to quarkonium correlators • Conclusions SQM 2007, June 24 -29, 2007
Lattice calculations with p 4 fat 3 action fat 3 link improvement of flavor symmetry next-to-nearest neighbors (p 4) rotational symmetry to RBC-Bielefeld collaboration : Ejiri, Karsch, Jung, P. P, Schmidt, Umeda (BNL) RHMC algorithm : x 20 speedup at small m Cheng, Christ, Mawhiney (Columbia), Datta (Mumbai), Petrov (NBI) Doering, Van der Heide, Kaczmarek, Laermann, Miao (Bielefeld)
Equation of State • Calculations : , and lattices, and along the line of constant physics ( LCP ) : are varied in the way physical quantities, e. g. and
Equation of State (cont’d) • rise in the entropy and energy density happens in the same temperature interval where the rapid change of the chiral condensate and Polyakov loop takes place • no large cutoff dependence in the pressure and entropy denisty • deviation from ideal gas limit is about 10% at high T
Equation of State (cont’d) (2+1) flavor QCD qualitative agreement with resonance gas at low T Resummed perturbative calculations from : Blaizot, Iancu, Rebhan, hep-ph/0303185 Lattice data on pressure and entropy density at high temperatures can be described by re-summed perturbation theory
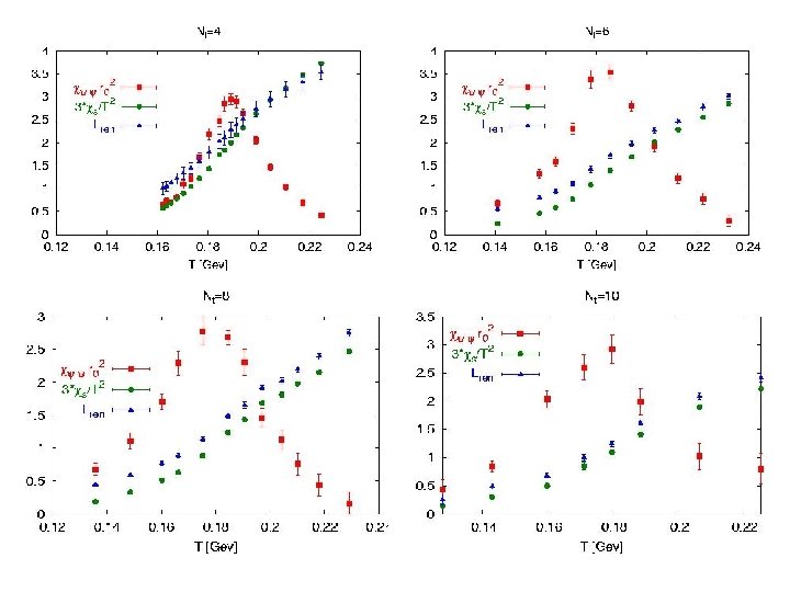
Quark number and strangeness fluctuations
Quark number and strangeness fluctuations at finite density
Static quark anti-quark free energy in 2+1 f QCD preliminary
Static quark anti-quark free energy in 2+1 f QCD preliminary
Lattice results on charmonium spectral functions 1 S charmonium survives deconfinement : Umeda et al, EPJ C 39 S 1 (05) 9 Asakawa, Hatsuda, PRL 92 (04) 012001 Datta et al, PRD 69 (04) 094507 This seemingly contradicts to large color screening of static charges ! No problem lattice results can be reproduced using potential models: Shuryak, Zahed, PRD 70 (04) 054507 Wong, PRC 72 (05) 03496 Alberico et al, PRD 72 (05) 114011 Rapp, Cabrera, hep-ph/0610254 Wong, Crater, PRD 75 (07) 034505 Alberico et al, PRD 75 (07) 074009 more recently confirmed by : Iida et al, PRD 74 (06) 074502 Aarts et al, ar. Xiv: 0705. 2198 [hep-lat] Are potential model applicable at T>0 ? Mócsy, P. P. , PRD 73 (06) 074007 New high statistics with careful analysis of systematic errors: Jakovác, P. P. , Petrov, Velytsky, PRD 75 (07) 014506
Charmonia spectral functions at T=0 Jakovác, P. P. , Petrov, Velytsky, PRD 75 (07) 014506 For the spectral function is sensitive to lattice cut-off ; Strong default model dependence in the continuum region
Charmonia correlators at T>0 temperature dependene of If there is no T-dependence in the spectral function, PS in agreement with previous calculations: SC Datta et al, PRD 69 (04) 094507
Charmonia spectral functions in PS channel at T>0 ground state peak is shifted, excited no temperature dependence in the states are not resolved when PS spectral functions within errors become small Jakovác, P. P. , Petrov, Velytsky, PRD 75 (07) 014506
Using default model from the high energy part of the T=0 spectral functions : resonances appears as small structures on top of the continuum, almost no T-dependence in the PS spectral functions till Jakovác, P. P. , Petrov, Velytsky, PRD 75 (07) 014506
Vector correlator and heavy quark diffusion 1 S charmonium states survies P. P. , Petrov, Velytsky, Teaney, hep-lat/0510021 Interactions Effective Langevin theory Free streaming : Collision less Boltzmann equation
P. P. , Teaney PRD 73 (06) 014508
Summary • Pressure, energy density and entropy density have be calculated at two lattice spacing show a rapid rise at temperature in agreement with Cheng et al, PRD 75 (07) 034506 deviation from the ideal gas limit is about 10% for temperatures and no significant cutoff dependence has been seen • Fluctuations of quark number and strangeness at high temperatures are close to the ideal gas limit, at finite baryon density these fluctuations are enhanced in the vicinity of the transition • Interactions between static quarks are strongly screened in the quark gluon plasma, the onset of screening is seen at distances comparable to the 1 S quarkonium size • S-wave charmonium correlators are temperature independent and there is no T-dependence in the reconstructed spectral functions, however, details are not resolved Can 1 S charmonia exist in the plasma ? What about color screening ? see talk by Ágnes Mócsy • Transport contribution to charmonium correlators have been isolated : small thermal velocity for heavy quarks, no constraint on the diffusion constant
Aoki et at, JHEP 0601 (2006) 089 (impr. flavor symmetry only)