Reactor analysis Mass balances Flow models Reactors Classifications
Reactor analysis (Mass balances, Flow models, Reactors)
Classifications of reactor Batch reactor Continuous-flow stirred-tank reactor Tubular reactor CFSTR in series Packed bed reactor) Fluidized bed reactor Exothermic, Endothermic Homogeneous, Heterogeneous Catalytic, Non-catalytic
Principal applications of reactor types used for water/wastewater treatment
v REACTIONS, REACTION RATES, AND REACTION, RATE COEFFICIENTS Types of Reactions Homogeneous Reactions irreversible or reversible Heterogeneous Reactions 1. Transport of reactants from the bulk fluid to the fluid-solid interface (external surface of catalyst particle) 2. Intraparticle transport of reactants into the catalyst particle (if it is porous) 3. Adsorption of reactants at interior sites of the catalyst particle 4. Chemical reaction of adsorbed reactants to adsorbed products (surface reaction) 5. Desorption of adsorbed products 6. Transport of products from the interior sites to the outer surface of the catalyst particle
Rate of Reaction Ø For homogeneous reactions If the volume remains constant (i. e. , isothermal conditions, no evaporation) Ø For heterogeneous reactions
Ø For reactions involving two or more reactants with unequal stoichiometric coefficients Reaction Order
Ø Effects of Temperature on Reaction Rate Coefficients van’t Hoff-Arrhenius relationship
Analysis of Reaction Rate coefficient Differential method Integral method
1. Mass balance At Steady-State
2. Modeling 0 1) Batch reactor with reaction For 1 st order reaction : rc = k. C 0
2) CFSTR with reaction Integrating factor Ø At steady-state condition
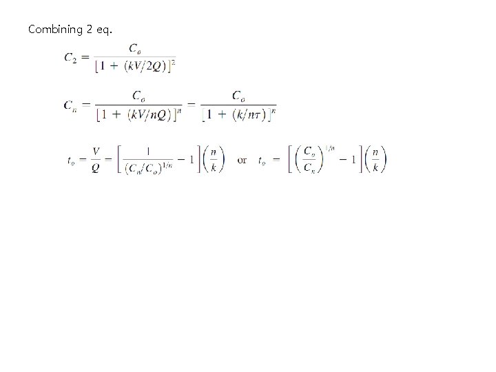
3) CFSTR in series with reaction a) Analytical approach b) Graphical approach a) Analyltical solution
Combining 2 eq.
b) Graphical solution
4) PFR with reaction
Comparison of Complete-Mix and Plug-Flow Reactors with Reaction Required reactor volumes expressed in terms of Q/k for CFSTRs in series and PFR for various removal efficiencies for 1 st order kinetics
3. TREATMENT PROCESSES INVOLVING MASS TRANSFER 1) Basic Principle of Mass Transfer Principal applications of mass transfer operations and processes in wastewater treatment
Diffusion Molecular diffusion Symbol Values(cm 2/s) D 10 -8 ∼ 10 -4 De 10 -4 ∼ 10 -2 Dm 102 ∼ 106 Eddy diffusion Dispersion
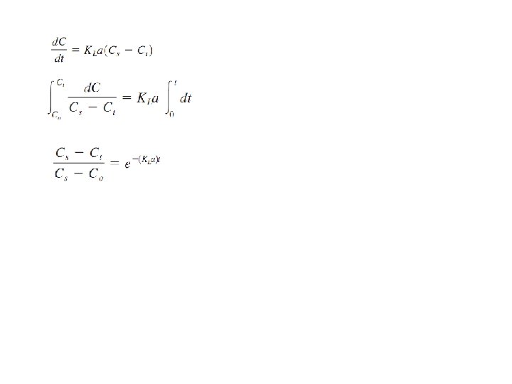
2) Gas-Liquid Mass Transfer : two-film theory, penetration model, surface-renewal model Ø The Two-Film Theory
Under steady-state conditions, the rate of mass transfer of a gas through the gas film must be equal to the rate transfer through the liquid film.
If the two expressions above are equated Henry’s law overall driving force ü The transfer of mass is controlled by the liquid film ü The transfer of mass is controlled by the gas film ü The relationship between the overall liquid and gas phase transfer coefficients
ü the flux of a slightly soluble gas from the gas to the liquid phase (liquid film controls transfer rate) ü The corresponding rate of mass transfer per unit volume per unit time : depends on water quality and the type of aeration equipment and is unique for each situation
v Absorption of Gases (a) (b) Definition sketch for the absorption of a gas: (a)under turbulent conditions where the concentration of gas in the gaseous and liquid phases is uniform (b)under quiescent conditions
v Absorption of Gases under Quiescent Conditions molecular diffusion
Approximate coefficients of molecular diffusion and coefficients of diffusion for gases of low solubility in water at 20 ℃ v Desorption (Removal) of Gases ü the volatilization of a gas from a supersatured liquid
3) Liquid-Solid Mass Transfer Adsorption Granular or powdered activated carbon PAC : diameter of less than 0. 074 mm (200 sieve), GAC : diameter greater than 0. 1 mm (~140 sieve)
Comparison of granular and powdered activated carbon
ü Fundamentals of Adsorption The adsorption process (1) bulk solution transport (2) film diffusion transport (3) pore transport (4) adsorption Adsorption forces Coulombic-unlike charges Dipole-dipole interactions London or van der Waals forces Hydrogen bonding Point charge and a dipole Point charge neutral species Covalent bonding with reaction
Ø Development of Adsorption Isotherms Freundlich, Langmuir, Brunauer, Emmet, and Teller (BET isotherm) Freundlich isotherm is used most commonly to describe the adsorption characteristics of the activated carbon used in water and wastewater treatment.
v Freundlich isotherm ü Determination of the constant in Isotherm log (x/m) versus log Ce
v Langmuir isotherm developed by assuming (1) a fixed number of accessible sites are available on the adsorbent surface, all of which have the same energy (2) adsorption is reversible ü Determination of the constant in Isotherm
v Activated Carbon Treatment Process Applications Ø Removal of refractory organic compounds, as well as residual amounts of inorganic compounds such as nitrogen, sulfides, and heavy metals Ø Removal of taste and odor compounds ü GAC Fixed-bed Expanded-bed Types of activated carbon contactors
- Slides: 37