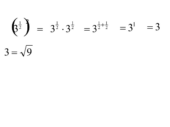
Rational Exponents So we would say So we

  • Slides: 167
Download presentation
Rational Exponents

Rational Exponents

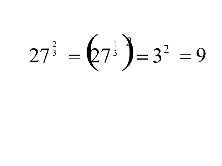
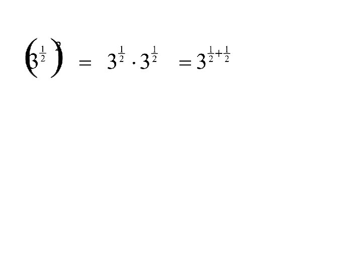
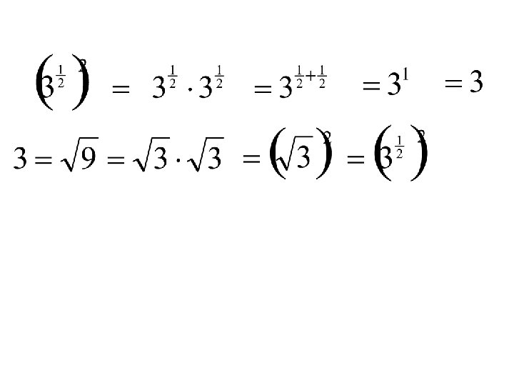
So we would say

So we would say

So we would say

So we would say

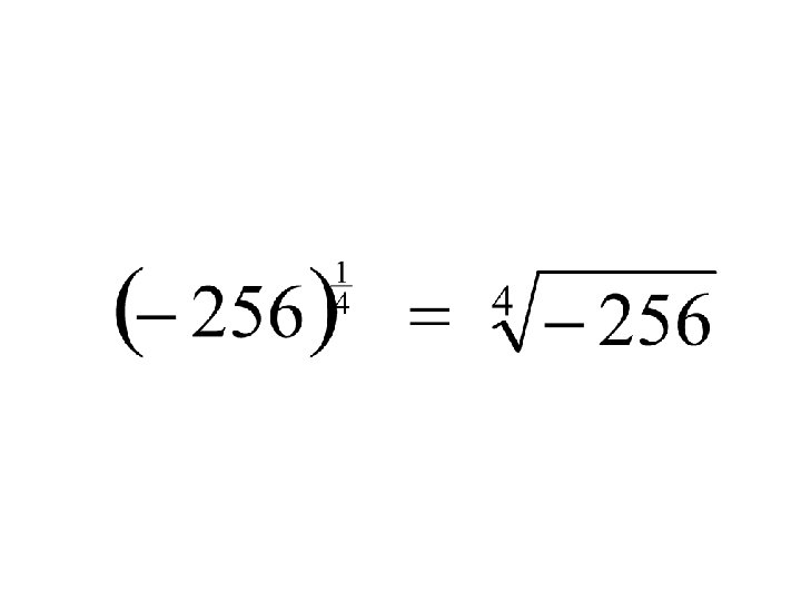
Here the exponent only operates on 256

Here the exponent only operates on 256

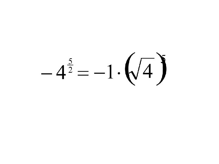
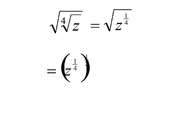
Here the exponent only operates on 4

Here the exponent only operates on 4

Here the exponent only operates on 4

Here the exponent only operates on 4

Here the exponent only operates on 4

Here the exponent only operates on 4

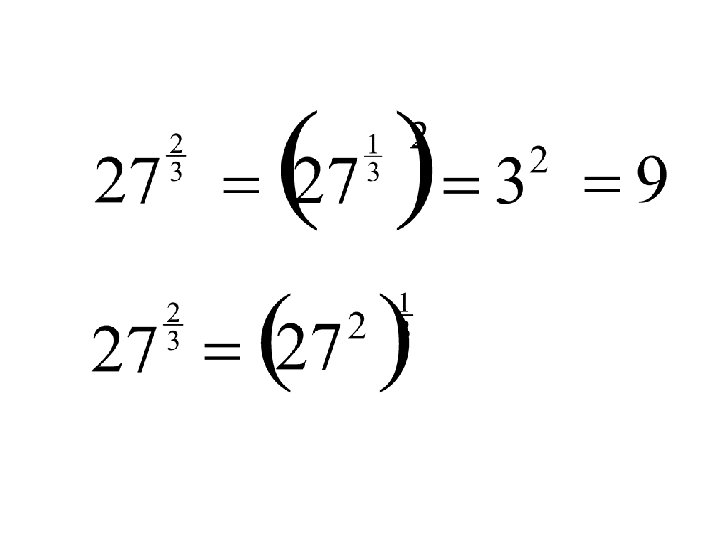
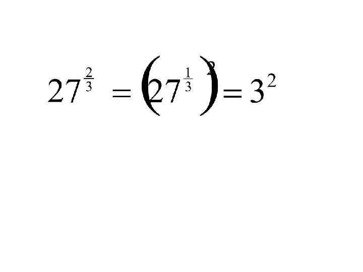
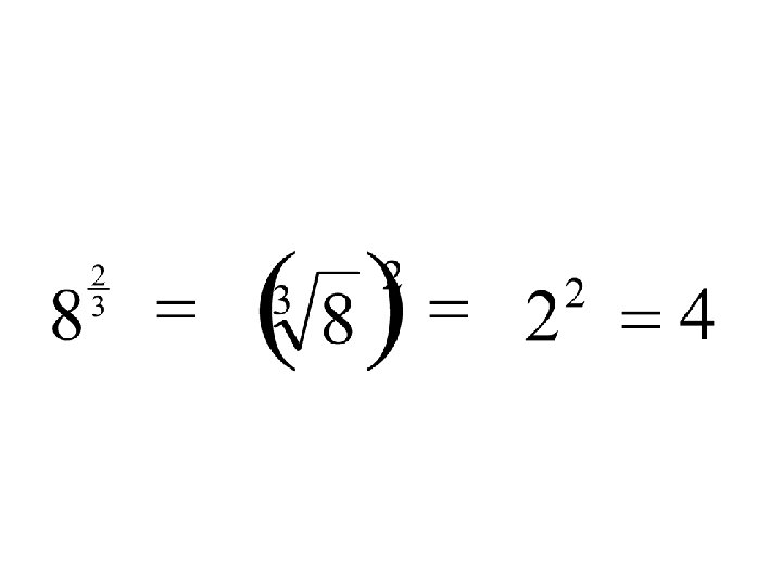
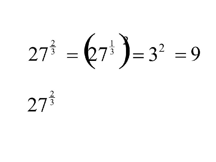
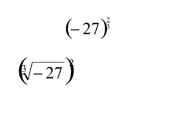
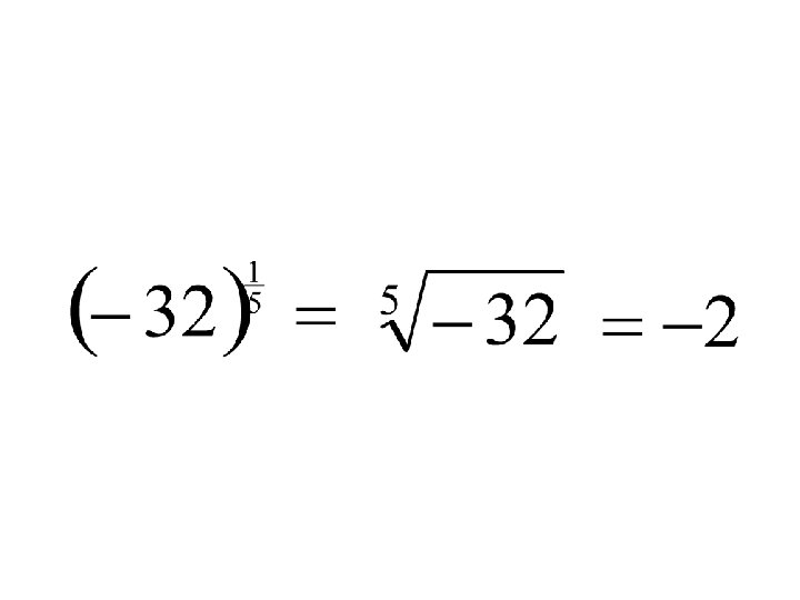
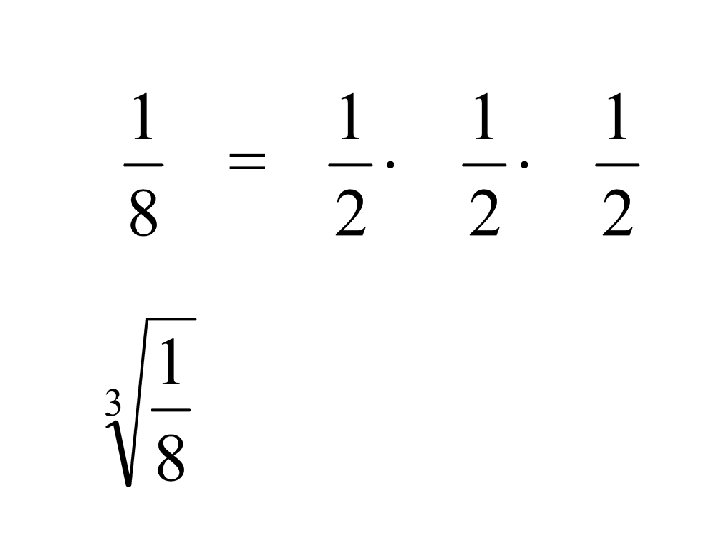
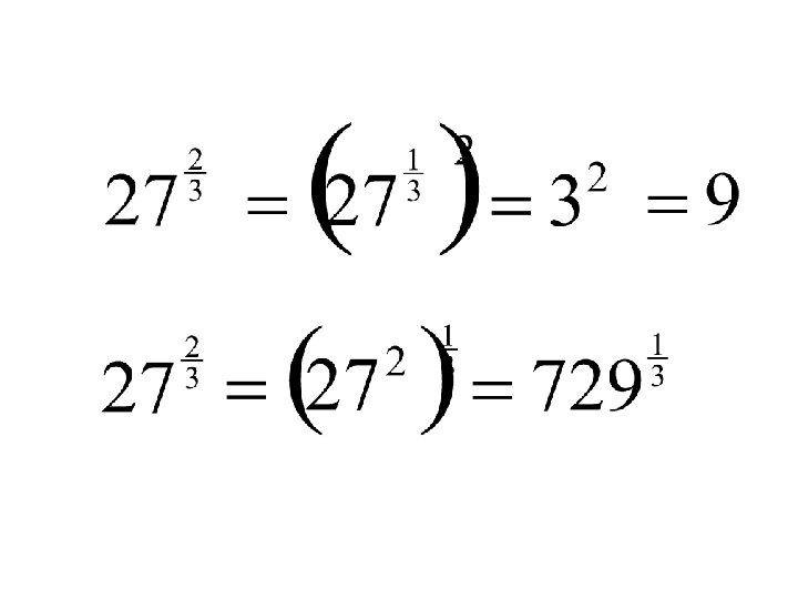
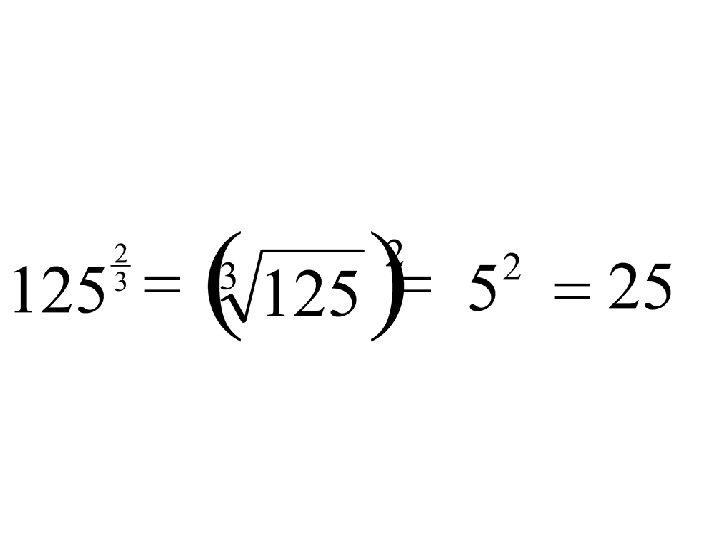
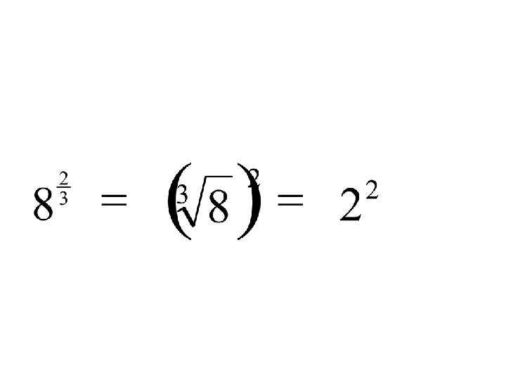
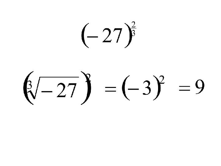
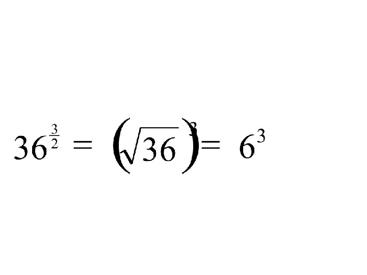
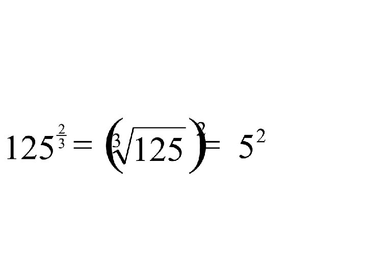
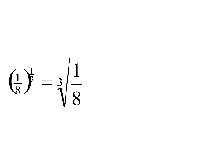
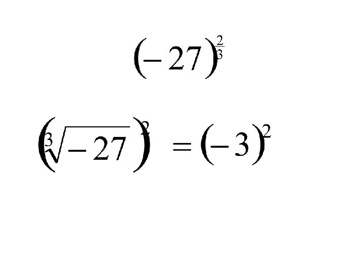
Use the definition that takes the root first.

Use the definition that takes the root first.

Use the definition that takes the root first.

Use the definition that takes the root first.

Use the definition that takes the root first.

Use the definition that takes the root first.

Use the definition that takes the root first.

Use the definition that takes the root first.

Use the definition that takes the root first.

Use the definition that takes the root first.

Use the definition that takes the root first.

Use the definition that takes the root first.

Use the definition that takes the root first.

Use the definition that takes the root first.

Use the definition that takes the root first.

Use the definition that takes the root first.

Use the definition that takes the root first.

Use the definition that takes the root first.

Use the definition that takes the root first.

Use the definition that takes the root first.

Use the definition that takes the root first.

Use the definition that takes the root first.

Use the definition that takes the root first.

Use the definition that takes the root first.

Use the definition that takes the root first.

Use the definition that takes the root first.

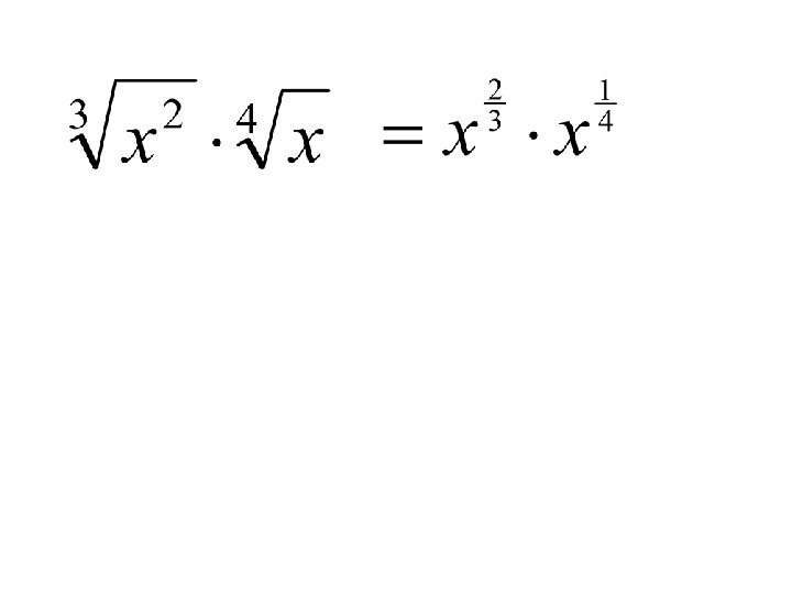
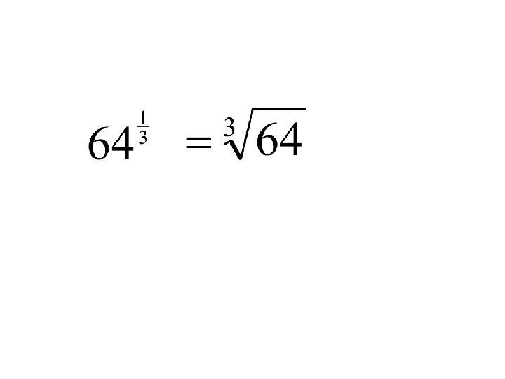
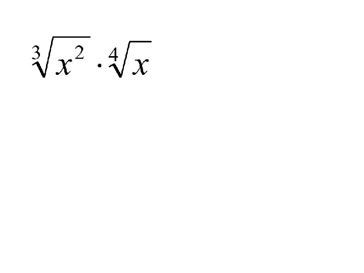
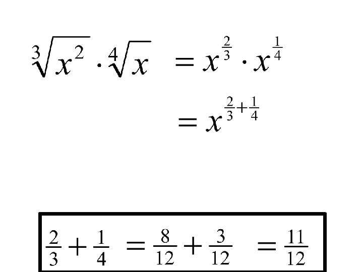
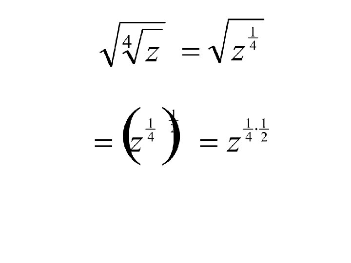
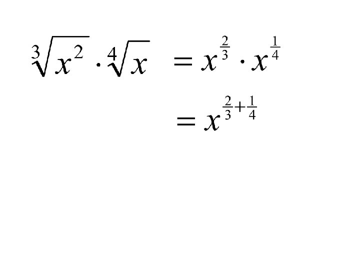
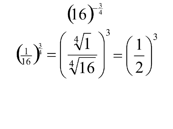
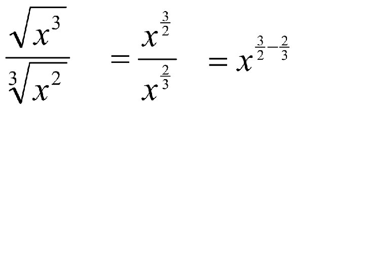
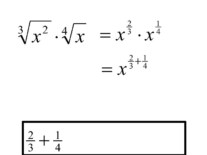
Write each radical as an exponential

Write each radical as an exponential

Write each radical as an exponential

Write each radical as an exponential

Write each radical as an exponential

Write each radical as an exponential

Write each radical as an exponential

Write each radical as an exponential

Write each radical as an exponential

Write each radical as an exponential

Write each radical as an exponential

Write each radical as an exponential

Write each radical as an exponential

Write each radical as an exponential

Write each radical as an exponential

Write each radical as an exponential

Write each radical as an exponential

Write each radical as an exponential

Write each radical as an exponential

Write each radical as an exponential

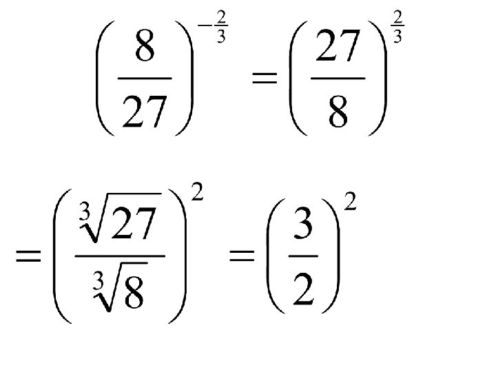
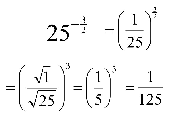
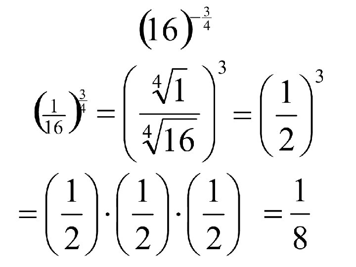
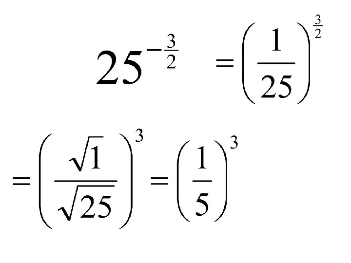
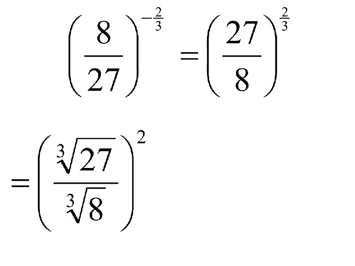
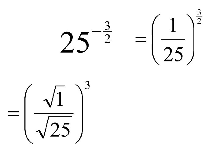
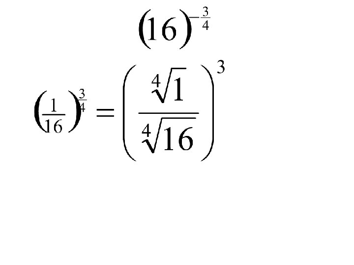
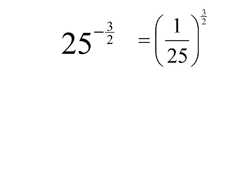
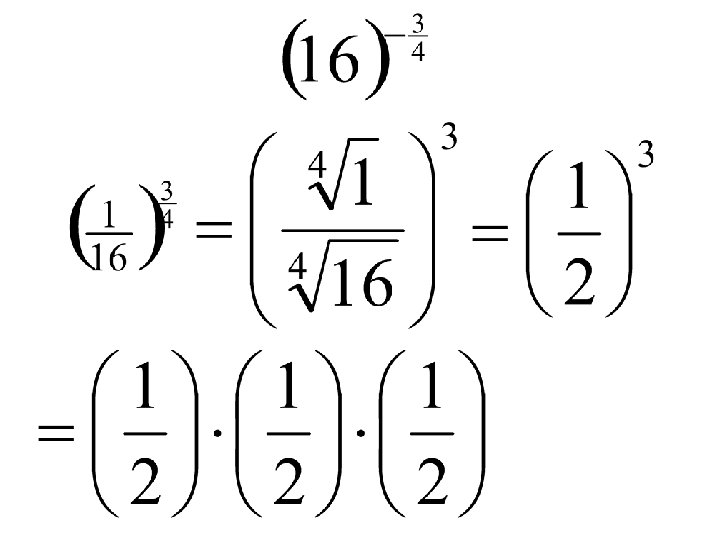
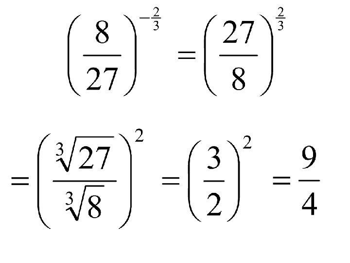
Write with only positive exponents.

Write with only positive exponents.

Write with only positive exponents.

Write with only positive exponents.

Write with only positive exponents.

Write with only positive exponents.

Write with only positive exponents.

Write with only positive exponents.

Write with only positive exponents.

Write with only positive exponents.

Write with only positive exponents.

Write with only positive exponents.

Write with only positive exponents.

Write with only positive exponents.

Write with only positive exponents.

Write with only positive exponents.

Write with only positive exponents.

Write with only positive exponents.

Write with only positive exponents.

Write with only positive exponents.

Write with only positive exponents.

Write with only positive exponents.

Write with only positive exponents.

Write with only positive exponents.

Write with only positive exponents.

Write with only positive exponents.

Write with only positive exponents.

Write with only positive exponents.

Write with only positive exponents.

Write with only positive exponents.

Write with only positive exponents.

Write with only positive exponents.

Write with only positive exponents.

Write with only positive exponents.

Write with only positive exponents.

Write with only positive exponents.

Write with only positive exponents.

Write with only positive exponents.

Write with only positive exponents.

Write with only positive exponents.

Write with only positive exponents.

Write with only positive exponents.

Write with only positive exponents.

Write with only positive exponents.

Write with only positive exponents.

Write with only positive exponents.

Write with only positive exponents.

Write with only positive exponents.

Write with only positive exponents.

Write with only positive exponents.

Write with only positive exponents.

Write with only positive exponents.

Write with only positive exponents.

Write with only positive exponents.

Write with only positive exponents.

Write with only positive exponents.

Write with only positive exponents.

Write with only positive exponents.

Write with only positive exponents.

Write with only positive exponents.

Write with only positive exponents.

Write with only positive exponents.

Write with only positive exponents.

Write with only positive exponents.

Write with only positive exponents.

Write with only positive exponents.

7. 2 Numbers 1 -56

7. 2 Numbers 1 -56