RANCOB PN TP 2 3 Setelah mengikuti kuliah
RANCOB PN TP 2 -3 Setelah mengikuti kuliah, mahasiswa dapat mengerti macam-macam rancangan perlakuan dan rancangan lingkungan serta pengujian hipotesis
PERCOBAAN A. RANCANGAN PERLAKUAN Perancangan perlakuan berkaitan pengaturan, penyusunan macam, jenis dan aras perlakuan yang menjadi topik penelitian dan berkaitan dengan maksud serta tujuan penelitian. Hal ini penting dilakukan agar penentuan hipotesis penelitian dilakukan dengan benar, sehingga maksud dan tujuan penelitian dicapai dengan baik dan benar Berdasarkan jumlah faktor yang diteliti dibedakan beberapa Rancangan Percobaan menjadi: 1. Rancangan non faktorial (faktor tunggal) ; hanya satu faktor yang diteliti. Contoh: Perlakuan pupuk, konsentrasi bahan, varietas, jenis pohon dll 2. Rancangan faktorial, lebih dari satu faktor yang diteliti Contoh: Rancangan dua faktor: Perlakuan pupuk dan varietas, perlakuan jenis bahan dan konsentrasi larutan dll FAKTOR: MACAM PERLAKUAN YANG MEMPUNYAI BEBERAPA TARAF (LEVEL).
B. RANCANGAN LINGKUNGAN Perancangan lingkungan berkaitan penyusunan, pengaturan dan penempatan satuan percobaan seperti perlakuan dan ulangan pada tempat atau lingkungan yang sedemikian rupa sehingga pengaruh lingkungan mendekati nol terhadap perlakuan. 1. Rancangan Acak Lengkap (RAL) (Completely Randomized Design/CRD) • Rancangan Acak Lengkap One-way ANOVA • Digunakan jika perlakuan yang digunakan sedikit dan bahan percobaannya homogen. • Misal: Percobaan pada tiga varietas padi yang ditanam pada beberapa petak yang sama, Tidak ada kontrol lokal; yang diamati hanya pengaruh perlakuan dan galat saja.
2. Rancangan Acak Kelompok (RAK) = Randomized Block design (RBD) dan Rancangan Acak Kelompok Lengkap (RAKL)= Randomized Completely Block design (RCBD) Two-way ANOVA • Digunakan jika ada kondisi di lapangan yang tidak homogen sehingga harus dikelompokkan berdasarkan homogenitas, bahan percobaan dikelompokkan menjadi kelompok/group atau block. Sehingga setiap kelompok menyusun sebuah ulangan bagi perlakuannya. Perlakuan diberikan secara acak pada setiap kelompok. Selain faktor perlakuan dalam hal ini faktor lingkungan akan mempengaruhi
RANCANGAN PERLAKUAN 1. RANCANGAN SATU FAKTOR (non faktorial) Satu macam perlakuan yang diteliti dengan beberapa taraf (level/aras) Misal pengujian Pemupukan dengan 4 level/aras: • Tanpa pupuk • Pupuk dosis 1 • Pupuk dosis 2 • Pupuk dosis 3 Rancangan satu faktor dapat diterapkan pada rancangan lingkungan: 1. Rancangan Acak Lengkap (RAL) 2. Rancangan Acak Kelompok (RAK) 3. Rancangan Bujur sangkar latin (RBSL)
2. RANCANGAN FAKTORIAL Percobaan berfaktor: percobaan yang menyangkut 2 faktor atau lebih. Percobaan berfaktor paling sederhana yaitu : 2 x 2 Faktor , contoh: Perlakuan A sebagai faktor 1 dgn 2 taraf Faktor B sebagai faktor 2 dengan 2 taraf Contoh: faktorial 3 x 3 Pemupukan N dengan 3 aras dosis dan Varietaas dengan 3 aras • 1 ku Urea/ha • 2 ku Urea/ha • 3 ku Urea/ha • Varietas : IR 36, Rajalele, Cisedane Jadi ada 9 kombinasi perlakuan karena 2 faktor, masing-masing 3 level/taraf /tingkat Sehingga disebut 3 x 3
RANCANGAN BERGALAT TUNGGAL (RBT)/satu faktor • dengan derajat ketelitian dan kepentingan yang setara. Berlaku untuk rancangan lingkungan : RAL, RAK dan RAKL. • Secara umum dinyatakan dengan model matematis: • Y=μ+τ+ε • Di mana : • μ = nilai rerata harapan ( mean ) • τ = pengaruh faktor perlakuan • ε = pengaruh galat • Untuk RAK : Y = μ + K + τ + ε
• Untuk Rancangan Bujur sangkar latin : Y = μ + β + λ + τ + ε • Di mana : • K = pengaruh pengelompokan • β = pengaruh pembarisan • λ = pengaruh pelajuran
RANCANGAN LINGKUNGAN 1. RANCANGAN ACAK LENGKAP (RAL) = COMPLETELY RANDOMIZED DESIGN • Tidak ada kontrol lokal, yang diamati hanya pengaruh perlakuan dan galat saja. Sesuai untuk meneliti masalah dengan kondisi lingkungan, alat, bahan dan medianya homogen atau untuk kondisi heterogen yang kasusnya tidak memerlukan kontrol lokal, misalnya masalah erosi yang kisaran pengaruhnya besar.
Peangacakan (randomisasi) dan bagan percobaan: • Randomisasi • Unit-unit percobaan tidak saling berinteraksi ( misalnya dalam pot, cawan, akuarium dsb). Karena kondisi terkendali posisi unit tidak mempengaruhi hasil percobaan. Secara keseluruhan percobaan merupakan satuan pengacakan (randomisasi); setiap ulangan mempunyai peluang sama besar untuk menempati setiap lokasi unit percobaan atau diartikan bahwa randomsasi menurut RAL dilakukan secara lengkap.
Bagan percobaan • Bagan hasil percobaan sebaiknya menggunakan daftar bilangan teracak: • Contoh Apabila jumlah perlakuan A sebanyak t aras, ulangan sebanyak r aras sehinggan jumlah unit percobaan = t x r • Perlakuan sebanyak 4 aras: A 0, A 1, A 2, A 3 • Ulangan sebanyak 3 Sehingan jumlah unit percobaan = 4 x 3 = 12 yaitu A 01, A 02, A 03, A 11, A 12, A 13, A 21, A 22, A 23, A 31, A 32, A 33 Hasil pengacakan seperti tabel
Contoh Penelitian dengan satu faktor yang disusun dalam rancangan lingkungan RAL • Penelitian pengaruh hormon terhadap pertumbuhan jenis ikan tertentu, dengan perlakuan hormon terdiri atas 4 konsentrasi 0; 5; 10; 20 ppm dengan simbol A 0; A 1; A 2 dan A 3. Percobaan dilakukan dengan ulangan sebanyak 3 kali ( i = 1, 2, 3 ); sehingga unit-unit percobaannya adalah : • A 01 = Perlakuan A 0 pada ulangan ke- 1 • A 02 = Perlakuan A 0 pada ulangan ke- 2 • …. . • A 32 = Perlakuan A 3 pada ulangan ke- 2 • A 33 = Perlakuan A 3 pada ulangan ke- 3
Data hasil penelitian
ANALISIS KERAGAMAN
• Uji menurut distribusi F untuk menguji pengaruh faktor perlakuan terhadap keragaman hasil percobaan. Secara umum uji F ini adalah: • H 0: τ = ε vs. H 1: τ ≠ ε dengan kaidah keputusan : • F hitung = (Sτ)2 / (Sε)2 = KT perlakuan / KT galat. • Di mana; (Sτ)2 = ragam data akibat perlakuan dan • (Sε)2 = akibat non-perlakuan atau kuadrat tengah galat. • KT perlakuan = (JK perlakuan) / v 1 • KT galat = (JK galat) / v 2 • Di mana: v 1 = derajat bebas perlakuan = h – 1 dan • v 2 = derajat bebas galat = (rh – 1) – (h – 1).
KOEFISIEN KERAGAMAN: Koefisien yang menunjukkan derajat kejituan ( accuracy atau precision) serta keandalan kesimpulan suatu percobaan yang merupakan deviasi baku per unit percobaan. Dinyatakan sebagai persen rerata dari rerata umum • dituliskan sbb: • KK = {√ ( KT galat )} / y¯ x 100 % ; y¯ (grand mean) = Tij / r. t = Σ Yij / r. t • Jika KK semakin kecil maka derajat kejituan dan keandalan akan semakin tinggi, demikian pula validitas kesimpulan yang diperolah dianggap semakin tinggi. Tidak ada patokan nilai KK yang dianggap baik karena sangat dipengaruhi berbagai faktor, antara lain: • - heterogenitas bahan; memperbesar nilai KK • - kontrol lokal; memperbesar KK • - selang perlakuan ; semakin lebar nilai kisarannya semakin besar KK nya. • - Ulangan percobaan; makin banyak ulangan makin kecil KK.
KOEFISIEN KERAGAMAN: Koefisien yang menunjukkan derajat kejituan ( accuracy atau precision) serta keandalan kesimpulan suatu percobaan yang merupakan deviasi baku per unit percobaan. Dinyatakan sebagai persen rerata dari rerata umum • dituliskan sbb: • KK = {√ ( KT galat )} / y¯ x 100 % ; y¯ (grand mean) = Tij / r. t = Σ Yij / r. t • Jika KK semakin kecil maka derajat kejituan dan keandalan akan semakin tinggi, demikian pula validitas kesimpulan yang diperolah dianggap semakin tinggi. Tidak ada patokan nilai KK yang dianggap baik karena sangat dipengaruhi berbagai faktor, antara lain: • - heterogenitas bahan; memperbesar nilai KK • - kontrol lokal; memperbesar KK • - selang perlakuan ; semakin lebar nilai kisarannya semakin besar KK nya. • - Ulangan percobaan; makin banyak ulangan makin kecil KK.
HIPOTESIS YANG BAIK • • MENYATAKAN HUBUNGAN SESUAI DENGAN FAKTA DAN DAPAT MENERANGKAN FAKTA DIDUKUNG OLEH TEORI-TEORI YANG ADA DAPAT DIUJI SECARA EMPIRIS PENELITIAN BERHIPOTESIS: PENELITIAN TENTANG MAGNITUDE, DIFFERENCIES, DAN RELATIONSHIP.
• Hipotesis berdasarkan pada kategori rumusannya: • Hipotesis Nihil (Ho) • Hipotesis yang menyatakan tidak adanya hubungan atau pengaruh antar suatu variabel dengan variabel lain • Rumusannya: Ø Tidak ada perbedaan antara ………. dengan ………. . Ø Tidak ada pengaruh ……. . terhadap ………
Hipotesis Alternatif (H 1) • Hipotesis yang menyatakan adanya hubungan atau pengaruh antar suatu variabel dengan variabel lain • Rumusannya: Ø Jika ……………. maka …………. . Ø Ada perbedaan antara ………. dan ………. Ø Ada pengaruh. . . . terhadap. . .
CONTOH SOAL Rancangan perlakuan non faktorial atau faktor tunggal yaitu Dosis Pupuk dengan 5 aras : A, B, C, D, E disusun dalam rancangan lingkungan Rancangan Acak Lengkap Hipotesis nol: tidak ada pengaruh dosis pupuk terhadap tinggi tanaman Hipotesis alternatif : Ada pengaruh dosis pupuk terhadap tinggi tanaman • Pengujian 5 aras perlakuan pupuk dengan 4 ulangan sbb: ul A B C D E jml 1 10 12 9 14 10 55 2 4 10 4 9 6 33 3 6 13 4 10 8 41 4 4 7 5 11 4 31 Jml 24 42 22 44 28 160 rerata 6 10, 5 5, 5 11 7
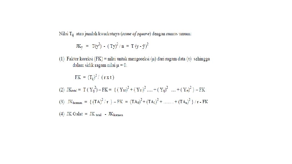
Rancangan Acak Lengkap F hit> Ftab 5% --kode satu bintang (*)-beda nyata Fhit > F tab 1%--kode dua bintang (**)-beda sangat nyata • Faktor koreksi= (Tij)2 / (kx t)=(160)2 / (4 X 5)=1280 • JKtotal = T ( Yij 2) – FK = { ( Y 10)2 + ( Y 11)2+ ( Yij)2 … + ( Yrt)2 } – FK • JKtotal= (102+ 122 +. . . + 42)-FK= 1482 -1280=202 • JKperlakuan = { (TPj)2 / k } – FK =242+422 +222+442+282/4 -1280=1386 -1280=106 • Jkgalat = JK total- JK perlakuan= 202 -106= 96 Sumber keragaman Derajat bebas Jml kuadrat(JK) Kuadrat tengah= Jk/db F hitung F tabel 5% (4, 15) Perlakuan (5 -1)=4 106 26, 5 (KTPerlakuan/KT galat)= 26, 5/6, 4=4, 14* 3, 06 galat 15 96 6, 4 total (4 x 5 -1) =19 202
• Ho : μA= μB= μC= μD=μE • Ha : μA≠μB ≠ μC ≠ μD ≠ μE Dari tabel anova menunjukkan F hit > F tabel 5% (pada taraf kepercayaan 95%) Maka Ho ditolak Ha diterima • KK = {√ ( KT galat )} / y¯ x 100 % ; y¯ (grand mean) = Tij / r. t = Σ Yij / r. t diket y¯ 8 • KK= √ 6, 4/8 x 100%
Post-Hoc/uji lanjut , yaitu LSD. DMRT dll • LSD Hitung Nilai LSD 0. 05 dengan melihat tabel t untuk 5% dbgalat 15 maka diperoleh angka 2, 13 dan rumus LSD: t 5% db galat x √ KT galat/ulangan Urutkan Rata-rata Perlakuan (dalam contoh ini rata-rata diurutkan dari kecil ke besar) Bandingkan selisih antar perlakuan dengan nilai LSD
Rerata A B C D E 6 a 10, 5 b 5, 5 a 11 b 7 a
PERHITUNGAN DENGAN SPSS Pada SPSS sig <0, 05 menunjukkan ada perbedaan/pengaruh ANOVA Tinggi Sum of Squares Between Groups Within Groups Total df Mean Square 106. 000 4 26. 500 96. 000 15 6. 400 202. 000 19 F 4. 141 Sig. . 019
hasil uji Duncan 5% rerata A B 6 a 10, 5 bc C 5, 5 a D 11 c E 7 ab Tinggi Duncana Dosis 100 0 200 50 150 Sig. N Means for groups in homogeneous subsets are displayed. a. Uses Harmonic Mean Sample Size = 4. 000. 4 4 4 Subset for alpha = 0. 05 1 2 5. 5000 6. 0000 7. 0000 10. 5000. 439 . 069 3 10. 5000 11. 0000. 784
LATIHAN • latihan akan diberikan pada saat hari dan jam kuliah
- Slides: 29