Radiation Heat Transfer P M V Subbarao Associate
Radiation Heat Transfer P M V Subbarao Associate Professor Mechanical Engineering Department IIT Delhi Select a Suitable Geometry to meet the industrial needs. . .
How to Make Things to Look Beautiful
How to Make Things to Look Beautiful
Radiosity • The radiosity of a surface is the rate at which radiation energy leaves a surface per unit area. Spectral Radiosity: Total Radiosity
Radiative Heat Transfer Consider the heat transfer between two black surfaces, as shown in Figure. What is the rate of heat transfer into Surface B? To find this, we will first look at the emission from A to B. Surface A emits radiation as described in This radiation is emitted in all directions, and only a fraction of it will actually strike Surface B. This fraction is called the shape factor, F.
The amount of radiation striking Surface B is therefore: All the incident radiation will contribute to heating of Surface B : Above equation is the amount of radiation gained by Surface B from Surface A. To find the net heat transfer rate at B, we must now subtract the amount of radiation emitted by B:
The net radiative heat transfer (gain) rate at Surface B is Similarly, the net radiative heat transfer (loss) rate at Surface A is What is the relation between q. A and q. B ?
Shape Factors • Shape factor, F, is a geometrical factor which is determined by the shapes and relative locations of two surfaces. • Figure illustrates this for a simple case of cylindrical source and planar surface. • Both the cylinder and the plate are infinite in length. • In this case, it is easy to see that the shape factor is reduced as the distance between the source and plane increases. • The shape factor for this simple geometry is simply the cone angle (θ) divided by 2π
Geometrical Concepts in Radiation Heat Transfer
Human Shape Factors Wherever artificial climates are created for human occupation, the aim of the design is that individuals experience thermal comfort in the environment. Among other factors thermal comfort depends on mean radiant temperature.
Flame to Furnace Wall Shape Factors
Radiative Heat Exchange between Two Differential Area Elements • The elements d. Ai and d. Aj are isothermal at temperatures Ti and Tj respectively. • The normals of these elements are at angles qi and qj respectively to their common normal. • The total energy per unit time leaving d. Ai and incident upon d. Aj is: dwi is the solid angle subtended by d. Aj when viewed from d. Ai.
The monochromatic energy per unit time leaving d. Ai and incident on d. Aj is
• The total energy per unit time leaving d. Ai and incident upon d. Aj is: The monochromatic energy per unit time leaving d. Ai and incident on d. Aj is:
The monochromatic energy per unit time leaving A real body element d. Ai and incident on d. Aj is:
The fraction of energy leaving a black surface element d. Ai that arrive at black body d. Aj is defined as the Geometric configuration Factor d. Fi j. For a diffusive surface
Configuration Factor for rate of heat Exchange from d. Ai to d. Aj Configuration Factor for Energy Exchange from d. Aj to d. Ai
Reciprocity of Differential-elemental Configuration Factors Consider the products of :
Net Rate of Heat Exchange between Two differential Black Elements The net energy per unit time transferred from black element d. Ai to d. Aj along emissive path r is then the difference of i to j and j to i.
Ib of a black element = Finally the net rate of heat transfer from d. Ai to d. Aj is:
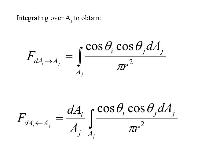
Configuration Factor between a Differential Element and a Finite Area d. Ai qj Aj , T j qj qi d. Ai, Ti
Integrating over Aj to obtain:
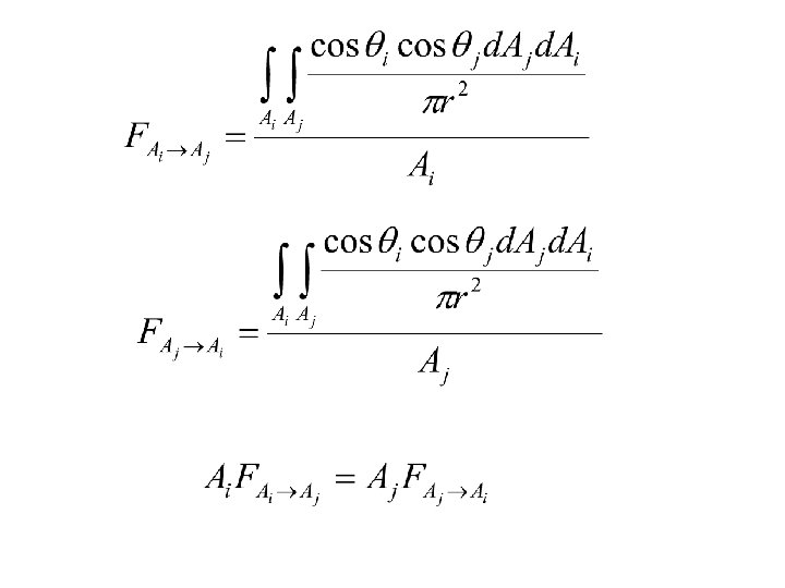
Configuration Factor for Two Finite Areas d. Ai qj qi Ai , T i Aj , T j
Radiation Exchange between Two Finite Areas The net rate of radiative heat exchange between Ai and Aj
Using reciprocity theorem:
Configuration Factor Relation for An Enclosure T 1, A 1 Radiosity of a black surface i T 2, A 1 TN, AN JN . . For each surface, i J 2 . . . Ji . . The summation rule ! J 1 Ti, Ai . . .
• The summation rule follows from the conservation requirement that al radiation leaving the surface I must be intercepted by the enclosures surfaces. • The term Fii appearing in this summation represents the fraction of the radiation that leaves surface i and is directly intercept by i. T 1, A 1 TN, AN JN . . J 1 T 2, A 1 J 2 . . . Ji . . Ti, Ai . . • If the surface is concave, it sees itself and Fii is non zero. • If the surface is convex or plane, Fii = 0. • To calculate radiation exchange in an enclosure of N surfaces, a total of N 2 view factors is needed. .
Real Opaque Surfaces Kichoff’s Law: substances that are poor emitters are also poor absorbers for any given wavelength At thermal equilibrium • Emissivity of surface (e) = Absorptivity(a) • Transmissivity of solid surfaces = 0 • Emissivity is the only significant parameter • Emissivities vary from 0. 1 (polished surfaces) to 0. 95 (blackboard)
Complication • In practice, we cannot just consider the emissivity or absorptivity of surfaces in isolation • Radiation bounces backwards and forwards between surfaces • Use concept of “radiosity” (J) = emissive power for real surface, allowing for emissivity, reflected radiation, etc
Radiosity of Real Opaque Surface • Consider an opaque surface. • If the incident energy flux is G, a part of it is absorbed and the rest of it is reflected. • The surface also emits an energy flux of E. Rate of Energy leaving a surface: J A Rate of Energy incident on this surface: GA Net rate of energy leaving the surface: A(J-G) Rate of heat transfer from a surface by radiation: Q = A(J-G)
Enclosure of Real Surfaces T 1, A 1 T 2, A 1 TN, AN J 1 JN . Ei Gi . J 2 . . . ri G i Ji . . For Every ith surface . Ti, Ai The net rate of heat transfer by radiation:
For any real surface: For an opaque surface: If the entire enclosure is at Thermal Equilibrium, From Kirchoff’s law: Substituting all above:
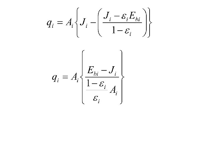
Surface Resistance of A Real Surface Black body Ebi Real Surface Resistance Ji Actual Surface qi Ji Ei Ebi –Ji : Driving Potential Gi : surface radiative resistance Qi ri G i
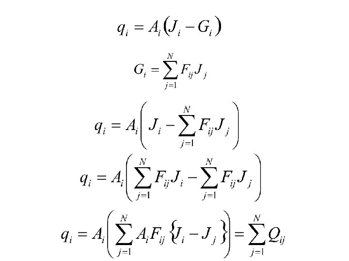
Radiation Exchange between Real Surfaces • To solve net rate of Radiation from a surface, the radiosity Ji must be known. • It is necessary to consider radiation exchange between the surfaces of encclosure. • The irradiation of surface i can be evaluated from the radiosities of all the other surfaces in the enclosure. • From the definition of view factor : The total rate at which radiation reaches surface i from all surfaces including i, is: From reciprocity relation
This result equates the net rate of radiation transfer from surface i, Qi to the sum of components Qij related to radiative exchange with the other surfaces. Each component may be represented by a network element for which (Ji-Jj) is driving potential and (Ai. Fij)-1 is a space or geometrical resistance.
Geometrical (View Factor) Resistance
Relevance? • “Heat-transfer coefficients”: – view factors (can surfaces see each other? Radiation is “line of sight” ) – Emissivities (can surface radiate easily? Shiny surfaces cannot)
Basic Concepts of Network Analysis Analogies with electrical circuit analysis • Blackbody emissive power = voltage • Resistance (Real +Geometric) = resistance • Heat-transfer rate = current
Resistance Network for ith surface interaction in an Enclosure Q i 1 T 1, A 1 TN, AN J 1 JN . Gi . . . J 2 . . . E i ri G i Ji Ti, Ai J 1 T 2, A 1 J 2 . . . Qi 2 Qi Ebi Ji J 3 JN-1 JN Qi 3 Qi. N-1
- Slides: 45