Quantit di moto La quantit di moto o






























- Slides: 30
Quantità di moto
• La quantità di moto (o momento lineare) di un corpo di massa m che si muove a velocità v è il vettore p= mv La quantità di moto è il prodotto di uno scalare m e di un vettore v, quindi è un vettore che ha: – stessa direzione e stesso verso del vettore velocità v; – modulo uguale al prodotto della massa del corpo per il modulo della sua velocità: p = mv – l’unità di misura di p è kg m/ s. La quantità di moto totale ptot di un sistema composto da N corpi è la risultante delle quantità di moto di ciascun corpo: ptot= p 1+p 2+p 3+…+p. N=m 1 v 1+m 2 v 2+m 3 v 3+……+m. Nv. N
Supponiamo di avere due masse m 1 e m 2 che si muovono con velocità v 1 e v 2 in assenza di forze esterne. Il sistema è quindi isolato. • Sia F 12 la forza che la massa m 2 esercita sulla massa m 1 e F 21 la forza che la massa m 1 esercita sulla massa m 2. • Per il principio di azione e reazione si ha: F 12= -F 21 F 12+F 21=0 m 1 a 1+m 2 a 2=0
m 1 a 1+m 2 a 2=0 Se il sistema è isolato la quantità di moto totale si conserva
In un urto:
Gli urti possono essere elastici o anelastici • Urto quasi completamente elastico Urto quasi completamente anestastico
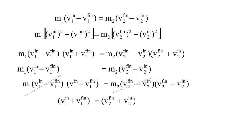
Urto elastico in una direzione • Oltre alla quantità di moto, si conserva anche l’energia
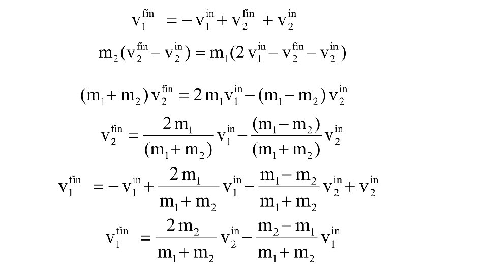
Velocità finali nell’urto elastico in una direzione
Esempio 1 • Se le due masse hanno la stessa massa m=m 1=m 2: dopo l’urto, si scambiano le velocità
Esempio 2 • Se una delle due masse è molto maggiore dell’altra m 1>>m 2: m 1+m 2≈m 1 m 1 -m 2≈m 1 2 m 2≈0 dopo l’urto, m 1 prosegue inalterata
Esempio 3 • Se una delle due masse è molto maggiore dell’altra m 1>>m 2 ed è ferma : m 1+m 2≈m 1 m 1 -m 2≈m 1 2 m 2≈0
Se in queste condizioni, il corpo in moto ha anche una componente della velocità in direzione y: y x
Esercizio • Lungo un canale veneziano, due gondole si incontrano e si fermano per scambiarsi informazioni. La prima gondola, con a bordo solo il rematore, ha massa complessiva di 4. 7 102 kg. Terminata la chiacchierata, il primo gondoliere spinge la gondola del collega, che ha tre passeggeri a bordo, con una velocità di 0, 16 m/s, mentre lui si allontana con una velocità di 0, 21 m/s. • Determinare la massa complessiva della seconda gondola.
Urto anelastico in una direzione • La quantità di moto si conserva, l’energia cinetica no, perché viene trasformata in altre forme di energia, suono, calore, deformazione • Nell’urto completamente anelastico, le velocità finali dei due corpi sono uguali e i corpi si muovono come un tutt’uno.
Esercizio 1 • L’auto del signor Bianchi, ferma al semaforo, viene tamponata da quella del signor Rossi. Quest’ultimo, in tribunale, afferma che stava viaggiando a meno di 50 km/h. Bianchi, invece, afferma che Rossi andava molto più veloce. Dopo l’urto le due auto sono rimaste incastrate e dalle tracce sull’asfalto si è potuto stabilire che, immediatamente dopo l’urto, viaggiavano a 30 km/h. Il signor Bianchi guidava una utilitaria di massa 800 kg e Rossi una berlina di massa 1400 kg. Rossi dice la verità?
m. B=800 kg m. R=1400 kg vin. B=0 vfin=30 m/s Rossi dice la verità
Pressione • La forza esercitata perpendicolarmente ad una superficie per unità di superficie si chiama pressione • Le dimensioni della pressione sono:
• Le unità di misura della pressione sono:
Esempi • La pressione di un foglio di carta A 4 (21 x 29. 7 cm 2) di peso 2 g su un tavolo è: P=mg/S=2 10 -3 9. 8/(0. 21 x 0. 3)=0. 31 Pa • La pressione esercitata da una bottiglia d’acqua (1, 5 kg) su un tavolo (area di appoggio pari a 5 cm 2) è: P=mg/S=1. 5 x 9. 8/5 10 -4=3 104 Pa • La pressione di una scure, la cui lama è lunga 10 cm e larga 0. 3 mm, premuta con una forza di 300 N, su un tavolo è: P=F/S=300 /(0. 1 x 3 10 -4 )=107 Pa
Esempi • A parità di forza, la pressione dipende dalla superficie: P=50 kg/0. 1 m 2=500 Pa P=50 kg/(0. 3 x 0. 1)m 2=1666 Pa P=50 kg/(0. 01 x 0. 01)m 2=5 105 Pa
L’aria pesa, l’esperimento di Torricelli
L’aria pesa, l’esperimento di Torricelli, cosa succede sotto vuoto:
Quanto pesa quindi l’aria? • Quanto una colonna di mercurio di 76 cm, quindi la pressione atmosferica è: • 1 Atm= 760 mm Hg = 760 Torr = Mg/S Pa= • = r. Vg/S Pa= • = 13579 x 9. 8 x 0. 76 Pa= • = 1. 013 10 5 Pa