Q 09 Systems of Particles 1 At the

















- Slides: 17
Q 09. Systems of Particles
1. At the same instant that a 0. 50 -kg ball is dropped from 25 m above Earth, a second ball, with a mass of 0. 25 kg, is thrown straight upward from Earth's surface with an initial speed of 15 m/s. They move along nearby lines and pass each other without colliding. At the end of 2. 0 s the height above Earth's surface of the center of mass of the two-ball system is: 1. 2. 9 m 2. 4. 0 m 3. 5. 0 m 4. 7. 1 m 5. 10. 4 m
Initial height of CM: Initial velocity of CM: Height of CM after 2 s : 0. 5 kg 0. 0 m/s 25 m V 0 CM g 0. 25 kg 15 m/s
2. A 320 -N hunter gets a rope around a 640 -N polar bear. They are stationary, 10 m apart, on frictionless level ice. When the hunter pulls the polar bear to him, the polar bear will move: 1. 0 m 2. 3. 3 m 3. 10 m 4. 12 m 5. 17 m
Initial postion of CM: ( Hunter at coord origin) No external horizontal forces position of CM not changed. Displacement of bear : 320 N 640 N CM X 0 10 m X
3. Two 4. 0 -kg blocks are tied together with a compressed spring between them. They are thrown from the ground with an initial velocity of 35 m/s, 45° above the horizontal. At the highest point of the trajectory they become untied and spring apart. About how far below the highest point is the center of mass of the twoblock system 2. 0 s later, before either fragment has hit the ground? 1. 12 m 2. 20 m 3. 31 m 4. Can't tell because the velocities of the fragments are not given. 5. Can't tell because the coordinates of the highest point are not given.
g 35 m/s 45 4 kg Distance of free falling in 2. 0 s is
4. Which one of the following statements is true? 1. the CM of an object must lie within the object 2. all the mass of an object is actually concentrated at its CM 3. the CM of an object cannot move if there is zero net force on the object 4. the CM of a cylinder must lie on its axis 5. none of the above
1. the CM of an object must lie within the object 2. all the mass of an object is actually concentrated at its CM 3. the CM of an object cannot move if there is zero net force on the object Fnet = 0 V = const 4. the CM of a cylinder must lie on its axis Not true if ( ) ≠ ( + ) 5. none of the above
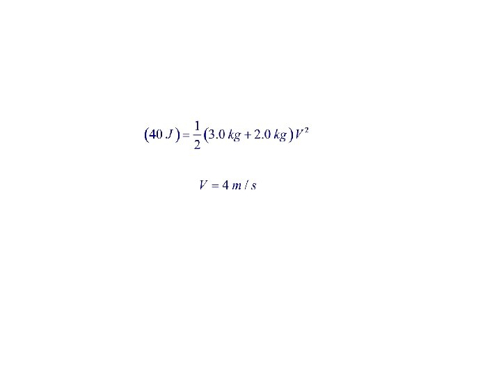
5. A 3. 0 -kg and a 2. 0 -kg cart approach each other on a horizontal air track. They collide and stick together. their total kinetic energy is 40 J. mass is : 1. zero 2. 8 m/s 3. 4. 0 m/s 4. 5. 2 m/s 5. indeterminate After the collision The speed of their center of
6. Object A strikes the stationary object B head-on in an elastic collision. The mass of A is fixed, you may choose the mass of B appropriately. 1. Then : for B to have the greatest recoil speed, choose m. A = m. B 2. for B to have the greatest recoil momentum, choose m. B << m. A 3. for B to have the greatest recoil kinetic energy, choose m. B >> m. A 4. for B to have the least recoil speed, choose m. B = m. A 5. for B to have the greatest recoil kinetic energy, choose m. B = m. A
Momentum conservation Relative velocity reversal 1. for B to have the greatest recoil speed, choose m. A = m. B 2. for B to have the greatest recoil momentum, choose m. B << m. A greatest when Greatest when 3. for B to have the greatest recoil kinetic energy, choose m. B >> m. A 4. for B to have the least recoil speed, choose m. B = m. A 5. for B to have the greatest recoil kinetic energy, choose m. B = m. A Greatest when
7. Blocks A and B are moving toward each other along the x axis. A has a mass of 2. 0 kg and a velocity of 50 m/s, while B has a mass of 4. 0 kg and a velocity of – 25 m/s. They suffer an elastic collision and move off along the x axis. The kinetic energy transferred from A to B during the collision is : 1. 0 2. 2500 J 3. 5000 J 4. 7500 J 5. 10000 J
5. 0 kg 25 m/s 2. 0 kg 50 m/s 25 m/s Initial total momentum : Momentum conservation v. A and v. B after collision simply reverse their sign. KE’s are not changed.
8. Two objects, X and Y, are held at rest on a horizontal frictionless surface and a spring is compressed between them. The mass of X is 2/5 times the mass of Y. Immediately after the spring is released, X has a kinetic energy of 50 J and Y has a kinetic energy of : 1. 20 J 2. 8 J 3. 310 J 4. 125 J 5. 50 J
X: m = 2/5 K = 10 J Initial total momentum = 0 Momentum conservation Y: M=1