Pythagoras Trigonometry Foundation GCSE Questions These questions are

  • Slides: 7
Download presentation
Pythagoras & Trigonometry – Foundation – GCSE Questions These questions are the same format

Pythagoras & Trigonometry – Foundation – GCSE Questions These questions are the same format as previous GCSE exams. COPY means they use the exact same numbers as the original GCSE question. Otherwise, they are clone questions using different numbers. The worksheets are provided in a variety of sizes.

Printing To print handouts from slides Select the slide from the left. Then click:

Printing To print handouts from slides Select the slide from the left. Then click: File > Print > ‘Print Current Slide’ To print multiple slides Click on a section title to highlight all those slides, or press ‘Ctrl’ at the same time as selecting slides to highlight more than one. Then click: File > Print > ‘Print Selection’ To print double-sided handouts Highlight both slides before using ‘Print Selection’. Choose ‘Print on Both Sides’ and ‘Flip on Short Edge’.

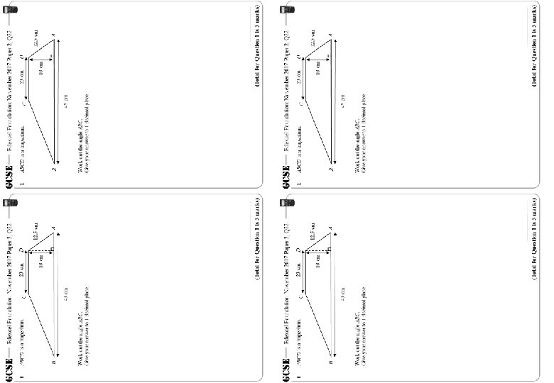
GCSE 1 Edexcel Foundation: November 2017 Paper 2, Q 22 ABCD is a trapezium.

GCSE 1 Edexcel Foundation: November 2017 Paper 2, Q 22 ABCD is a trapezium. C 23 cm 10 cm D 1 Edexcel Foundation: November 2017 Paper 2, Q 22 ABCD is a trapezium. C 23 cm 12. 5 cm 10 cm A B GCSE 43 cm D 12. 5 cm A B 43 cm Work out the angle ABC. Give your answer to 1 decimal place. (Total for Question 1 is 5 marks)

GCSE 1 Edexcel Foundation: November 2017 Paper 2, Q 22 ABCD is a trapezium.

GCSE 1 Edexcel Foundation: November 2017 Paper 2, Q 22 ABCD is a trapezium. C 23 cm 10 cm D 12. 5 cm A B 43 cm Work out the angle ABC. Give your answer to 1 decimal place. (Total for Question 1 is 5 marks)

GCSE 1 Edexcel Foundation: November 2017 Paper 2, Q 22 ABCD is a trapezium.

GCSE 1 Edexcel Foundation: November 2017 Paper 2, Q 22 ABCD is a trapezium. 10 cm x B 23 cm C 10 cm D 12. 5 cm A 13. 5 cm 43 cm 7. 5 cm Work out the angle ABC. Give your answer to 1 decimal place. a 2 + b 2 = c 2 12. 5 c 10 a b Length at bottom: 43 – 21 – 7. 5 = 13. 5 H x 10 O 13. 5 A 36. 5° (Total for Question 1 is 5 marks)

Questions? Comments? Suggestions? …or have you found a mistake!? Any feedback would be appreciated

Questions? Comments? Suggestions? …or have you found a mistake!? Any feedback would be appreciated . Please feel free to email: tom@goteachmaths. co. uk