Pynno i warto wpyw pynnych aktyww na warto

















































![Studium przypadku n [SP] MODELE ZARZĄDZANIA ŚRODKAMI PIENIĘŻNYMI. MODEL BAUMOLA. Przedsiębiorstwo Bio. Speedil prowadzi Studium przypadku n [SP] MODELE ZARZĄDZANIA ŚRODKAMI PIENIĘŻNYMI. MODEL BAUMOLA. Przedsiębiorstwo Bio. Speedil prowadzi](https://slidetodoc.com/presentation_image_h/21b33ee37854fa9e8bb2cce39059ca38/image-50.jpg)

![Studium przypadku [SP] W przedsiębiorstwie Bio. Speedil, sytuacja umożliwiająca stosowanie modelu Beranka występuje w Studium przypadku [SP] W przedsiębiorstwie Bio. Speedil, sytuacja umożliwiająca stosowanie modelu Beranka występuje w](https://slidetodoc.com/presentation_image_h/21b33ee37854fa9e8bb2cce39059ca38/image-52.jpg)


![Studium przypadku n [SP] Zarząd przedsiębiorstwa Bio. Speedil zauważył, że w okresie od czerwca Studium przypadku n [SP] Zarząd przedsiębiorstwa Bio. Speedil zauważył, że w okresie od czerwca](https://slidetodoc.com/presentation_image_h/21b33ee37854fa9e8bb2cce39059ca38/image-55.jpg)


![Studium przypadku n [SP] Zarząd przedsiębiorstwa Bio. Speedil, zauważył, że zazwyczaj od lutego do Studium przypadku n [SP] Zarząd przedsiębiorstwa Bio. Speedil, zauważył, że zazwyczaj od lutego do](https://slidetodoc.com/presentation_image_h/21b33ee37854fa9e8bb2cce39059ca38/image-58.jpg)


![Wpływ LCL na wartość przedsiębiorstwa [SP] Zarząd przedsiębiorstwa X, oszacował koszt braku środków pieniężnych Wpływ LCL na wartość przedsiębiorstwa [SP] Zarząd przedsiębiorstwa X, oszacował koszt braku środków pieniężnych](https://slidetodoc.com/presentation_image_h/21b33ee37854fa9e8bb2cce39059ca38/image-61.jpg)





![Gas. Biol n [SP] Przedsiębiorstwo Gas. Biol ma roczne przychody ze sprzedaży nawozów ekologicznych Gas. Biol n [SP] Przedsiębiorstwo Gas. Biol ma roczne przychody ze sprzedaży nawozów ekologicznych](https://slidetodoc.com/presentation_image_h/21b33ee37854fa9e8bb2cce39059ca38/image-67.jpg)
- Slides: 67
Płynność i wartość - wpływ płynnych aktywów na wartość firmy 2021 -03 -03 Płynność i wartość - wpływ płynnych aktywów na wartość firmy || © http: //michalskig. ue. wroc. pl/pl | michalskig@ue. wroc. pl
Płynność i wartość - wpływ płynnych aktywów na wartość firmy n E-mail: GRZEGORZ. MICHALSKI@UE. WROC. PL n www: HTTP: //MICHALSKIG. COM/PL n tel. : 0717181717, tel. : 0503452860 n T. S. Maness, J. T. Zietlow, „Short-Term Financial Management”. n N. C. Hill, W. L. Sartoris, Short-term financial management: text and cases, Prentice Hall, 2004. 2 Płynność i wartość - wpływ płynnych aktywów na wartość firmy || © http: //michalskig. ue. wroc. pl/pl | michalskig@ue. wroc. pl
n wartość firmy: gdzie: FCFn = (free cash flows) prognozowane przyszłe wolne przepływy pieniężne generowane przez firmę, CC = (cost of capital) stopa kosztu kapitału (np. WACC) 3 Płynność i wartość - wpływ płynnych aktywów na wartość firmy || © http: //michalskig. ue. wroc. pl/pl | michalskig@ue. wroc. pl
Płynność i wartość - wpływ płynnych aktywów na wartość firmy || © http: //michalskig. ue. wroc. pl/pl | michalskig@ue. wroc. pl
CYKL KONWERSJI GOTÓWKI & CYKL OPERACYJNY 5 Płynność i wartość - wpływ płynnych aktywów na wartość firmy || © http: //michalskig. ue. wroc. pl/pl | michalskig@ue. wroc. pl
ZMIANY W AKTYWACH BIEŻĄCYCH SP: OKZAP = 35 d, DSO = 26 d, OOSZw. D = 20 d, PR. SPRZEDAŻY = 6220, T=19%, D/(D+E) = 40%, kd = 8% & ke = k. RF + β*L×(k. M – k. RF), k. M = 10% = średnie ROA w RP, k. RF = 4% = średnia rentowność krótkoterminowych bonów skarbowych, beta aktywów = βU = 0, 65; współczynnik ryzyka indywidualnego = ϣ = +0, 2; zaplanuj: n Aktywa bieżące i aktywa razem, jeśli aktywa trwałe = 5000 n Kapitał zaangażowany n FCF 0, FCF 1 -n, FCFn; jeśli: zakładamy n = 15; FC 1 -n= 1200, VC 1 -n= 0, 65% z CR; NCE = CAPEX = 500; ΔNWC 1 -n= 0 Co się zmieni, jeśli zmieni się DSO? Co się zmieni, jeśli zmieni się OKZAP? Co się zmieni, jeśli zmieni się OOSZw. D? Co się zmieni, jeśli zmieni się oczekiwany dla sektora wskaźnik bieżącej płynności? 6 Płynność i wartość - wpływ płynnych aktywów na wartość firmy || © http: //michalskig. ue. wroc. pl/pl | michalskig@ue. wroc. pl
Poziom płynnych aktywów a wartość firmy 7 Płynność i wartość - wpływ płynnych aktywów na wartość firmy || © http: //michalskig. ue. wroc. pl/pl | michalskig@ue. wroc. pl
Zyskowność / poziom płynności 8 Płynność i wartość - wpływ płynnych aktywów na wartość firmy || © http: //michalskig. ue. wroc. pl/pl | michalskig@ue. wroc. pl
Płynność i wartość - wpływ płynnych aktywów na wartość firmy || © http: //michalskig. ue. wroc. pl/pl | michalskig@ue. wroc. pl
Płynność i wartość - wpływ płynnych aktywów na wartość firmy || © http: //michalskig. ue. wroc. pl/pl | michalskig@ue. wroc. pl
Strategie finansowania kapitału pracującego Agresywna (aggressive): minimalizacji kosztów związanych z finansowaniem kapitału pracującego n Konserwatywna (conservative): minimalizacji ryzyka finansowania kapitału pracującego n 11 Płynność i wartość - wpływ płynnych aktywów na wartość firmy || © http: //michalskig. ue. wroc. pl/pl | michalskig@ue. wroc. pl
Strategie finansowania kapitału pracującego 12 Płynność i wartość - wpływ płynnych aktywów na wartość firmy || © http: //michalskig. ue. wroc. pl/pl | michalskig@ue. wroc. pl
Strategie finansowania kapitału pracującego 13 Płynność i wartość - wpływ płynnych aktywów na wartość firmy || © http: //michalskig. ue. wroc. pl/pl | michalskig@ue. wroc. pl
SP: NWC-1. Strategie finansowania aktywów bieżących: Prognoza EBIT: 4000, stopa kosztu długoterminowego długu: 9%, stopa krótkoterminowego długu: 7%. Stopa kosztu kapitału własnego kalkulowana z użyciem beta aktywów = 0, 75; Dług: 2000, Zobowiązania wobec dostawców: 500, kapitał własny: 3000. Są trzy podstawowe możliwości finansowania aktywów bieżących: A] strategia agresywna z udziałem długu długoterminowego na poziomie 40% długu, ϣ = 0. B] strategia umiarkowana z udziałem długu długoterminowego na poziomie 70% długu, ϣ = 0. C] strategia konserwatywna, z udziałem długu długoterminowego na poziomie 100% długu, ϣ = 0. Którą z nich należy wybrać? 14 Płynność i wartość - wpływ płynnych aktywów na wartość firmy || © http: //michalskig. ue. wroc. pl/pl | michalskig@ue. wroc. pl
SP: NWC-1 b. Strategie finansowania aktywów bieżących: Prognoza EBIT: 4000, stopa kosztu długoterminowego długu: 9%, stopa krótkoterminowego długu: 7%. Stopa kosztu kapitału własnego kalkulowana z użyciem beta aktywów = 0, 75; Dług: 2000, Zobowiązania wobec dostawców: 500, kapitał własny: 3000. Są trzy podstawowe możliwości finansowania aktywów bieżących: A] strategia agresywna z udziałem długu długoterminowego na poziomie 40% długu, ϣ = 0, 25. B] strategia umiarkowana z udziałem długu długoterminowego na poziomie 70% długu, ϣ = 0, 05. C] strategia konserwatywna, z udziałem długu długoterminowego na poziomie 100% długu, ϣ = -0, 15. Którą z nich należy wybrać? 15 Płynność i wartość - wpływ płynnych aktywów na wartość firmy || © http: //michalskig. ue. wroc. pl/pl | michalskig@ue. wroc. pl
Sfin. P: Wybierz dla FP strategię finansowania. Beta nielewarowana = 0, 6. Stopa wolna od ryzyka to 4%, stopa zwrotu z przeciętnej inwestycji w aktywa 10%. E/(E+D) = 40%. CR = 2000. EBIT dla FP = 50%*CR, FA=AT = 1400, CA=AB = 30%*CR, AP = Zw. D = 50%*CA, NCE = CAPEX, ΔNWC = 0, firma może realizować jedną z 3 strategii finansowania aktywów bieżących: Konserwatywną (Dd/(Dk) = 9) , Umiarkowaną (Dd/(Dk) = 1) lub Agresywną (Dd/(Dk) = 1/3). Stopa kosztu kapitału obcego krótkoterminowego to 6, 5%, a stopa kosztu kapitału obcego długoterminowego to 8, 5%. Jaką strategię należy wybrać, kierując się maksymalizacją wartości firmy (przy założeniu nieskończonego horyzontu działania). Jeśli: A] SZ, ϣ dla każdej strategii ϣ = (- 0, 1) B] SZ, ϣ dla strategii konserwatywnej ϣ = (- 0, 3); dla strategii agresywnej ϣ = (+ 0, 2) Źródło: http: //www. money. pl/pieniadze/bony/archiwum/ Płynność i wartość - wpływ płynnych aktywów na wartość firmy || © http: //michalskig. ue. wroc. pl/pl | michalskig@ue. wroc. pl
Strategie inwestowania w kapitał pracujący n Restrykcyjna (restrictive): minimalizacji wielkości aktywów bieżących n Elastyczna (flexible): minimalizacji ryzyka braku aktywów bieżących 17 Płynność i wartość - wpływ płynnych aktywów na wartość firmy || © http: //michalskig. ue. wroc. pl/pl | michalskig@ue. wroc. pl
SP: NWC-2. Strategie inwestowania w aktywa bieżące: Prognoza EBIT: 80% sprzedaży, prognoza sprzedaży: 5000, stopa kosztu długu: 8%. Stopa kosztu kapitału własnego kalkulowana z użyciem bety aktywów = 0, 75; Zobowiązania wobec dostawców: 50% aktywów bieżących, D/(D+E)=0, 4. Są trzy podstawowe możliwości inwestowania w aktywa bieżące: A] strategia restrykcyjna z udziałem aktywów bieżących w wysokości 35% spodziewanej sprzedaży, ϣ = 0. B] strategia kompromisowa z udziałem aktywów bieżących w wysokości 45% spodziewanej sprzedaży, ϣ = 0. C] strategia restrykcyjna z udziałem aktywów bieżących w wysokości 60% spodziewanej sprzedaży, ϣ = 0. Którą z nich należy wybrać? 18 Płynność i wartość - wpływ płynnych aktywów na wartość firmy || © http: //michalskig. ue. wroc. pl/pl | michalskig@ue. wroc. pl
SP: NWC-2 b. Strategie inwestowania w aktywa bieżące: Prognoza EBIT: 80% sprzedaży, prognoza sprzedaży: 5000 w wersji kompromisowej, stopa kosztu długu: 8%. Stopa kosztu kapitału własnego kalkulowana z użyciem bety aktywów = 0, 75; Zobowiązania wobec dostawców: 50% aktywów bieżących, D/(D+E)=0, 4. Są trzy podstawowe możliwości inwestowania w aktywa bieżące: A] strategia restrykcyjna z udziałem aktywów bieżących w wysokości 35% spodziewanej sprzedaży, ϣ = 0, 3. B] strategia kompromisowa z udziałem aktywów bieżących w wysokości 45% spodziewanej sprzedaży, ϣ = 0, 6. C] strategia restrykcyjna z udziałem aktywów bieżących w wysokości 60% spodziewanej sprzedaży, ϣ = -0, 28. Którą z nich należy wybrać? 19 Płynność i wartość - wpływ płynnych aktywów na wartość firmy || © http: //michalskig. ue. wroc. pl/pl | michalskig@ue. wroc. pl
Sinw. P: Wybierz strategię inwestowania w aktywa bieżące dla FP Jeśli (Dd/(Dk) = 1), stopa kosztu kapitału obcego krótkoterminowego to kkk = 6, 5%, a stopa kosztu kapitału obcego długoterminowego to kkd = 8, 5%. Beta nielewarowana 0, 6. Stopa wolna od ryzyka to 4%, stopa zwrotu z portfela rynkowego to 10%. E/(E+D) = 40%. NCE = CAPEX, ΔNWC = 0, AP = Zw. D = 50%*CA, firma może realizować jedną z 3 strategii inwestowania w aktywa bieżące: Elastyczną (CA=AB = 60%*CR, EBIT = 48%*CR), Pośrednią (CA=AB = 40%*CR, EBIT dla FP = 50%*CR) lub Restrykcyjną (CA=AB = 20%*CR, EBIT = 55%*CR). Jaką strategię należy wybrać, kierując się maksymalizacją wartości firmy (przy założeniu nieskończonego trwania)? A] Jeśli dla każdej strategii FA=AT = 1400, CR = 2000. SZ = ϣ = - 0, 1 B] Jeśli dla Elastycznej (FA=AT = 1600, CA=AB = 60%*CR, EBIT = 48%*CR, CR = 2300), Pośredniej (FA=AT = 1400, CA=AB = 40%*CR, CR = 2000. EBIT dla FP = 50%*CR) lub Restrykcyjnej (FA=AT = 1200, CA=AB = 20%*CR, EBIT = 55%*CR, CR = 1800). SZ dla strategii restrykcyjnej ϣ = (+ 0, 3); dla strategii pośredniej ϣ = (+0, 05); dla strategii elastycznej ϣ = (- 0, 2) Płynność i wartość - wpływ płynnych aktywów na wartość firmy || © http: //michalskig. ue. wroc. pl/pl | michalskig@ue. wroc. pl
Zapasy – trzy powody n. Materiały i surowce do produkcji n. Produkcja n. Wyroby w toku gotowe Płynność i wartość - wpływ płynnych aktywów na wartość firmy || © http: //michalskig. ue. wroc. pl/pl | michalskig@ue. wroc. pl
Zarządzanie zapasami Metoda ABC w zarządzaniu zapasami (Materiały i surowce do produkcji) n Metoda ABC (ang. ABC method) jest metodą wykorzystywaną w procesie monitorowania zapasów, umożliwiającą minimalizowanie kosztów tego procesu. Główną jej ideą jest podzielenie zapasów utrzymywanych w przedsiębiorstwie na trzy grupy oznaczone jako A, B, C. n Grupa A zawiera zapasy o największym znaczeniu dla normalnego przedsiębiorstwa, najczęściej są to zapasy związane z największymi inwestycjami lub ich niedobór wiąże się z bardzo dużym zagrożeniem dla reputacji przedsiębiorstwa i kosztami. Jest to najczęściej relatywnie najmniej liczna grupa zapasów w przedsiębiorstwie, równocześnie tej grupie poświęca się najwięcej uwagi. n Grupa B to zapasy pośrednie. n Grupa C uwzględnia tanie lub łatwe w zastąpieniu zapasy. Jest to najbardziej liczna kategoria zapasów przy równocześnie najmniejszym ich znaczeniu. Na monitorowanie tej grupy przeznacza się najmniej czasu i najczęściej dla niej wystarcza zastosowanie metody czerwonej linii lub metody dwóch koszy. Płynność i wartość - wpływ płynnych aktywów na wartość firmy || © http: //michalskig. ue. wroc. pl/pl | michalskig@ue. wroc. pl
Proste metody zarządzania zapasami (Grupa C) n Metoda czerwonej linii (ang. red line method) jest prostą metodą wyznaczania momentu składania zamówienia na kolejną dostawę materiałów, stosowaną dla materiałów grupy C. Polega ona na tym, że materiały te, składowane są w odpowiednim pomieszczeniu (lub pojemniku), i w miarę ich zużywania obniża się ich poziom. Jeśli zapas obniży się wystarczająco, odsłonięta zostaje czerwona linia sygnalizująca konieczność złożenia zamówienia. n Metoda dwóch koszy (ang. two-bin method) polega na tym, że materiały umieszczone są w dwóch pojemnikach. O konieczności złożenia zamówienia informuje fakt wyczerpania się zapasów z jednego z nich. W trakcie realizacji zamówienia, wykorzystywane są zapasy z drugiego pojemnika (stanowiącego zapas rezerwowy). Wyczerpanie zapasów z drugiego pojemnika jest kolejnym sygnałem i równocześnie początkiem korzystania z materiałów znajdujących się w pojemniku pierwszym (który w międzyczasie został uzupełniony). Płynność i wartość - wpływ płynnych aktywów na wartość firmy || © http: //michalskig. ue. wroc. pl/pl | michalskig@ue. wroc. pl
Model POQ n Model optymalnej partii produkcji (ang. production order quantity model) jest modelem stosowanym w sytuacji gdy zamówiona partia jest dostarczana sukcesywnie. Najczęściej sytuacja taka ma miejsce wtedy, gdy przedsiębiorstwo ma do czynienia ze spływem wyrobów gotowych z fazy produkcji do magazynów z których na bieżąco są one odbierane przez odbiorców. Płynność i wartość - wpływ płynnych aktywów na wartość firmy || © http: //michalskig. ue. wroc. pl/pl | michalskig@ue. wroc. pl
POQ gdzie: POQ – optymalna partia produkcji, Kz – koszt przestawienia produkcji, P – intensywność zbytu wyrobu finalnego w okresie rocznym, v – jednostkowy koszt produkcji, m – maksymalna roczna zdolność produkcyjna, C – procentowy udział kosztu utrzymania zapasów Płynność i wartość - wpływ płynnych aktywów na wartość firmy || © http: //michalskig. ue. wroc. pl/pl | michalskig@ue. wroc. pl
POQ n Procentowy udział kosztu utrzymania zapasów wynika z tego, że koszty utrzymania zapasów rosną proporcjonalnie do poziomu zapasów w przedsiębiorstwie. Udział ten, jest sumą kosztów Wędzki, Zarządzanie płynnością finansową w przedsiębiorstwie, WN PWN, Warszawa 2002, s. 112): (M. Sierpińska, D. n alternatywnych (równych kosztowi kapitału finansującego przedsiębiorstwo), n magazynowania, przeładunku i transportu wewnątrzzakładowego zapasów, n ubezpieczenia, n psucia się. n Wynika stąd, że procentowy udział kosztu utrzymania zapasów jest zazwyczaj wyższy niż koszt kapitału finansującego przedsiębiorstwo. Płynność i wartość - wpływ płynnych aktywów na wartość firmy || © http: //michalskig. ue. wroc. pl/pl | michalskig@ue. wroc. pl
POQ Płynność i wartość - wpływ płynnych aktywów na wartość firmy || © http: //michalskig. ue. wroc. pl/pl | michalskig@ue. wroc. pl
Przedsiębiorstwo zajmuje się produkcją biopaliw z rzepaku. n Zarząd przedsiębiorstwa zastanawia się nad tym, jaką wyznaczyć optymalną partię produkcji POQ, całkowite koszty zapasów i przeciętny poziom zapasów, jeżeli wiadomo, że maksymalna zdolność produkcyjna przedsiębiorstwa, to 10 000 ton rocznie. n Ponadto wiadomo, że w okresie rocznym, poprzez ograniczenia kontraktowe, możliwy jest zbyt nie więcej niż 2 500 ton. Koszt kapitału finansującego przedsiębiorstwo wynosi 15%, koszty utrzymania zapasów stanowią 25% ich wartości, natomiast efektywna stopa opodatkowania to 19%. Koszt przestawienia produkcji oszacowano na poziomie 12 000 złotych a jednostkowy koszt produkcji to 800 złotych. n Jaki wpływ miałoby to na wartość przedsiębiorstwa, gdyby wbrew modelowi POQ, partię produkcji wyznaczono na poziomie 90% POQ? Płynność i wartość - wpływ płynnych aktywów na wartość firmy || © http: //michalskig. ue. wroc. pl/pl | michalskig@ue. wroc. pl
n W pierwszej kolejności należy wyznaczyć optymalną wielkość produkcji (POQ): n Całkowite koszty zapasów wynoszą: n Natomiast przeciętny poziom zapasów: n czyli wyrażając to w złotych: n ZAP(Q = 633) = 237 800 = 189 600 zł Płynność i wartość - wpływ płynnych aktywów na wartość firmy || © http: //michalskig. ue. wroc. pl/pl | michalskig@ue. wroc. pl
n Następnie dokonamy sprawdzenia jak na wartość przedsiębiorstwa wpłynąłby fakt zmienienia optymalnej partii produkcji na partię równą 633 0, 9 = 570 ton. n Jak widać, w związku ze zmniejszeniem partii produkcji, całkowite koszty zapasów wzrosłyby. n Przyrost kosztów wyniósłby: n Poziom kapitału pracującego netto także by się podniósł. Jego wzrost jest równy przyrostowi zapasów: Płynność i wartość - wpływ płynnych aktywów na wartość firmy || © http: //michalskig. ue. wroc. pl/pl | michalskig@ue. wroc. pl
n Zatem w wyniku porzucenia optymalnej partii produkcji na rzecz partii o rozmiarze 570 ton, wartość przedsiębiorstwa zmieniłaby się następująco: n Jak widać, odstąpienie od modelu POQ, poprzez zastosowanie partii produkcji mniejszych niż postulowane przez model, chociaż jest niekorzystne z punktu widzenia maksymalizacji zysku księgowego i z punktu widzenia minimalizacji kosztów, okazuje się korzystne z punktu widzenia maksymalizacji wartości przedsiębiorstwa. n Wartość przedsiębiorstwa wzrosłaby o 15 824 zł. Płynność i wartość - wpływ płynnych aktywów na wartość firmy || © http: //michalskig. ue. wroc. pl/pl | michalskig@ue. wroc. pl
VBPOQ OPTYMALNA ZE WZGLĘDU NA WARTOŚĆ PRZEDSIĘBIORSTWA PARTIA PRODUKCJI n Aby każdorazowo ustalić, optymalną z punktu widzenia maksymalizacji wartości przedsiębiorstwa partię produkcji, można posłużyć się tabelą. n Jak widać VBEOQ wyniesie około 479 ton. Z tabeli wynika, że koszty związane z takimi partiami produkcji są wyższe od minimalnych o 3 687 złotych, równocześnie taka partia produkcji spowoduje spadek zaangażowania środków w kapitale pracującym netto o 45 900 zł. Płynność i wartość - wpływ płynnych aktywów na wartość firmy || © http: //michalskig. ue. wroc. pl/pl | michalskig@ue. wroc. pl
n Podobny wynik można otrzymać bezpośrednio wyznaczając VBPOQ ze wzoru: gdzie: POQ – optymalna partia produkcji, Kz – koszt przestawienia produkcji, P – intensywność zbytu wyrobu finalnego w okresie rocznym, v – jednostkowy koszt produkcji, m – maksymalna roczna zdolność produkcyjna, C – procentowy udział kosztu utrzymania zapasów. Płynność i wartość - wpływ płynnych aktywów na wartość firmy || © http: //michalskig. ue. wroc. pl/pl | michalskig@ue. wroc. pl
EOQ (Grupa A) n Model optymalnej wielkości zamówienia (ang. economic order quantity model) jest modelem zarządzania zapasami materiałów i surówców do produkcji, w którym przyjmuje się optymalną wielkość dostawy, gwarantującą minimalizację całkowitych kosztów zapasów. Płynność i wartość - wpływ płynnych aktywów na wartość firmy || © http: //michalskig. ue. wroc. pl/pl | michalskig@ue. wroc. pl
EOQ gdzie: AI – zapas alarmowy, ŷ – prognoza średniego zapotrzebowania na dany rodzaj zapasów, tr – przeciętny, znany z obserwacji, okres realizacji zamówień, us – współczynnik bezpieczeństwa, ŝ – prognoza średniego błędu prognozy. Płynność i wartość - wpływ płynnych aktywów na wartość firmy || © http: //michalskig. ue. wroc. pl/pl | michalskig@ue. wroc. pl
VBEOQ Płynność i wartość - wpływ płynnych aktywów na wartość firmy || © http: //michalskig. ue. wroc. pl/pl | michalskig@ue. wroc. pl
VBEOQ Kz = koszty zamawiania, # = pomniejszające podstawę opodatkowania, * = nie pomniejszające podstawy opodatkowania (np. alternatywne), C = koszty utrzymywania (bez kosztu kapitału) Płynność i wartość - wpływ płynnych aktywów na wartość firmy || © http: //michalskig. ue. wroc. pl/pl | michalskig@ue. wroc. pl
TCI dla VBEOQ Kz = koszty zamawiania, # = pomniejszające podstawę opodatkowania, * = nie pomniejszające podstawy opodatkowania (np. alternatywne), C = koszty utrzymywania (bez kosztu kapitału) Płynność i wartość - wpływ płynnych aktywów na wartość firmy || © http: //michalskig. ue. wroc. pl/pl | michalskig@ue. wroc. pl
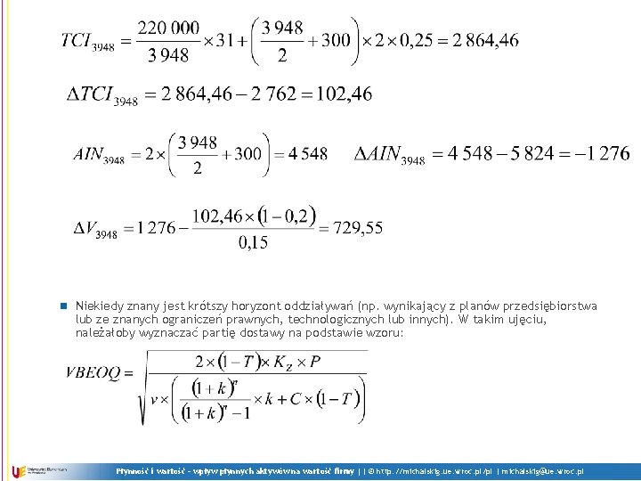
SP: aktywator do produkcji biogazu n Należy wyznaczyć optymalną wielkość zamówienia dla przedsiębiorstwa na istotny surowiec do produkcji (aktywizator fermentacyjny do produkcji biogazu), całkowite koszty zapasów oraz zapas alarmowy, jeśli wiadomo, że przeciętny okres realizacji zamówień wynosi 3 dni, roczne zapotrzebowanie na ten surowiec to 220 000 kg, koszty zamawiania wynoszą 31 zł, a cena 1 kg to 2 zł przy procentowym udziale kosztu utrzymania zapasów równym 25%. Efektywna stopa opodatkowania przedsiębiorstwa Gas. Biol wynosi 20%. Koszt kapitału służącego do finansowania przedsiębiorstwa wynosi 15%. Poziom zapasu bezpieczeństwa ustalony został na poziomie 300 kg a współczynnik bezpieczeństwa wynosi zero. n Jaki wpływ na wartość przedsiębiorstwa miałoby zamawianie w partiach po 6 000 kg lub w partiach po 5 000 kg? n Pierwszym krokiem jest wyznaczenie optymalnej wielkości zamówienia: Płynność i wartość - wpływ płynnych aktywów na wartość firmy || © http: //michalskig. ue. wroc. pl/pl | michalskig@ue. wroc. pl
n Następnie sprawdzimy, jak kształtowałyby się koszty utrzymywania zapasów oraz poziom zapasów, jeśli zarządzający przedsiębiorstwem zdecydowaliby się na zakup surowca w partiach po 6 000 kg, lub po 5 000 kg. Płynność i wartość - wpływ płynnych aktywów na wartość firmy || © http: //michalskig. ue. wroc. pl/pl | michalskig@ue. wroc. pl
n Z punktu widzenia maksymalizacji wartości przedsiębiorstwa, przy założeniu nieskończonego horyzontu oddziaływania zmiany w strategii zarządzania zapasami, należałoby wyznaczać partię dostawy na podstawie wzoru: Płynność i wartość - wpływ płynnych aktywów na wartość firmy || © http: //michalskig. ue. wroc. pl/pl | michalskig@ue. wroc. pl
n Niekiedy znany jest krótszy horyzont oddziaływań (np. wynikający z planów przedsiębiorstwa lub ze znanych ograniczeń prawnych, technologicznych lub innych). W takim ujęciu, należałoby wyznaczać partię dostawy na podstawie wzoru: Płynność i wartość - wpływ płynnych aktywów na wartość firmy || © http: //michalskig. ue. wroc. pl/pl | michalskig@ue. wroc. pl
n EOQ i RYZYKO NIEDOTRZYMANIA WARUNKÓW. Przedsiębiorstwo Reperator dokonujące napraw turbin wiatrowych wykorzystuje w procesie świadczenia usług złącza tytanowe. Zapotrzebowanie na ten surowiec wynosi 6 480 sztuk rocznie. Na rynku istnieją dwaj dostawcy A i B, oferujący identyczne warunki dostaw. Cena złączy wynosi u nich 24 zł za sztukę, dostawa trwa 14 dni, koszty utrzymania zapasów wynoszą 19%, koszt alternatywny (równoważny z kosztem kapitału finansującego przedsiębiorstwo) wynosi 17%, efektywna stopa opodatkowania to 20%, koszty zamówienia 100 zł natomiast koszt braku zapasów wynosi 4 000 zł. Do tej pory przedsiębiorstwo korzystało z usług wszystkich dostawców, jednakże analiza ostatniego roku współpracy wykazała, że po raz kolejny obaj dostawcy nie byli tak samo solidni. Dostawca A był bez zarzutu, dostawca B często nie dotrzymywał terminów realizacji zamówienia, co prawda często pojawiał się 2 -3 dni przed umówionym terminem, ale równie często pojawiał się nawet 4 dni po terminie. Sytuacja przedsiębiorstwa jest o tyle skomplikowana, że w jego przypadku zużycie zapasów jest także obarczone ryzykiem, nie można bowiem dokładnie zaplanować wszystkich napraw i ilości zużywanych w ich trakcie złączy. n Na podstawie danych historycznych oszacowano, że odchylenie standardowe zużycia zapasów w ciągu jednego cyklu zapasów wynosi 70; natomiast odchylenie standardowe okresu dostawy w przypadku korzystania z usług dostawcy A wynosi 0, a dostawcy B wynosi 3 dni. Należy oszacować zapas bezpieczeństwa w przypadku korzystania z usług dostawcy A, następnie przy założeniu, że nie ma ryzyka związanego z zużyciem materiałów, w przypadku korzystania z dostawcy B, następnie przy istnieniu ryzyka związanego z zużyciem materiałów w przypadku korzystania z usług dostawcy B. Kolejnym krokiem jest sprawdzenie jak na wartość przedsiębiorstwa wpływa ryzyko. Zakładamy, że przedsiębiorstwo w celu wyznaczenia optymalnej wielkości zamówienia stosuje model VBEOQ. Płynność i wartość - wpływ płynnych aktywów na wartość firmy || © http: //michalskig. ue. wroc. pl/pl | michalskig@ue. wroc. pl
Zapas bezpieczeństwa Płynność i wartość - wpływ płynnych aktywów na wartość firmy || © http: //michalskig. ue. wroc. pl/pl | michalskig@ue. wroc. pl
VBEOQ Kz = koszty zamawiania, # = pomniejszające podstawę opodatkowania, * = nie pomniejszające podstawy opodatkowania (np. alternatywne), C = koszty utrzymywania (bez kosztu kapitału) Płynność i wartość - wpływ płynnych aktywów na wartość firmy || © http: //michalskig. ue. wroc. pl/pl | michalskig@ue. wroc. pl
TCI dla VBEOQ Kz = koszty zamawiania, # = pomniejszające podstawę opodatkowania, * = nie pomniejszające podstawy opodatkowania (np. alternatywne), C = koszty utrzymywania (bez kosztu kapitału) Płynność i wartość - wpływ płynnych aktywów na wartość firmy || © http: //michalskig. ue. wroc. pl/pl | michalskig@ue. wroc. pl
Przyczyny utrzymywania gotówki przez przedsiębiorstwa Około 1, 5% aktywów przedsiębiorstw stanowią środki pieniężne. W ich skład wchodzą depozyty na żądanie i gotówka <czyli środki pieniężne w kasie>. n Transakcje – utrzymywane przez przedsiębiorstwo zasoby gotówki są konieczne do bieżącego finansowania działalności przedsiębiorstwa = wynikają stąd zasoby transakcyjne. n Wymagania banków – skutkiem tego są salda kompensujące. Banki wymuszając na swoich klientach utrzymywanie sald kompensacyjnych, otrzymują w ten sposób wynagrodzenie za świadczone przez banki usługi. n Ostrożnościowy powód – motywem jest zabezpieczenie się przed przyszłymi nieoczekiwanymi potrzebami finansowymi. n Spekulacyjny powód – posiadanie gotowych do transakcji zasobów gotówki związane jest z możliwością dokonania bardzo okazyjnego zakupu. Płynność i wartość - wpływ płynnych aktywów na wartość firmy || © http: //michalskig. ue. wroc. pl/pl | michalskig@ue. wroc. pl
Zarządzanie środkami pieniężnymi Model Baumola Jest to model zarządzania środkami pieniężnymi, którego założenia mówią o tym, że przedsiębiorstwo otrzymuje regularne i okresowe wpływy środków pieniężnych, i że wydatkuje je w sposób ciągły, ze stałym tempem. W momencie otrzymania środków pieniężnych przedsiębiorstwo przekazuje wystarczającą ich część na pokrycie wypływów. Dzieje się tak aż do otrzymania następnego wpływu środków pieniężnych. Model Baumola składa się z dwóch rodzajów aktywów: środków pieniężnych i [obcych] papierów wartościowych przeznaczonych do obrotu, które przynoszą dochód wielkości w ciągu każdego okresu. Papiery te są doskonale podzielne. Ponieważ według tego modelu zapotrzebowanie firmy na środki pieniężne jest stałe i wynikające z operacyjnej działalności, wpływy także są stałe i łatwo przewidywalne, to poziom środków pieniężnych w przedsiębiorstwie można przedstawić tak jak to zrobiono na rysunku. Płynność i wartość - wpływ płynnych aktywów na wartość firmy || © http: //michalskig. ue. wroc. pl/pl | michalskig@ue. wroc. pl
Model Baumola c. d. Gdzie: C* - docelowy/optymalny stan środków pieniężnych; F – stały koszt transferu <np. opłaty i prowizje przy sprzedaży/kupnie papierów wartościowych>, T – całkowite zapotrzebowanie na gotówkę o charakterze transakcyjnym w ciągu danego okresu, R – koszt alternatywny utrzymywania gotówki <np. . stopa oprocentowania papierów wartościowych> Płynność i wartość - wpływ płynnych aktywów na wartość firmy || © http: //michalskig. ue. wroc. pl/pl | michalskig@ue. wroc. pl
Studium przypadku n [SP] MODELE ZARZĄDZANIA ŚRODKAMI PIENIĘŻNYMI. MODEL BAUMOLA. Przedsiębiorstwo Bio. Speedil prowadzi sieć zakładów produkujących biopaliwa z roślin sezonowych. W związku z sezonowym charakterem działalności Bio. Speedilu, występują wahania w intensywności wpływów i wydatków gotówki. Zarządzający przedsiębiorstwem, przez 6 miesięcy w roku (od grudnia do maja) potrafią przewidzieć z bardzo dużą dokładnością wpływy i wypływy środków pieniężnych. Równocześnie w grudniu i styczniu wypływy przeważają nad wpływami (miesięczne zapotrzebowanie na środki pieniężne wynosi 800 000 zł), w lutym i marcu poziom miesięcznych wpływów i wypływów jest zbliżony, jednakże nie ma możliwości zsynchronizowania ich, natomiast w kwietniu i w maju wpływy przeważają nad wypływami (miesięczna nadwyżka środków pieniężnych wynosi 600 000 zł). n Koszt kapitału finansującego Bio. Speedil wynosi 15%, koszt jednego transferu środków pieniężnych (wynikający z kosztów bankowych i innych kosztów związanych z dokonaniem transakcji) wynosi 20 zł, efektywna stopa podatkowa to 20%. Płynność i wartość - wpływ płynnych aktywów na wartość firmy || © http: //michalskig. ue. wroc. pl/pl | michalskig@ue. wroc. pl
Model Beranka Jest to w pewnym sensie odwrotny model do modelu Baumola–Allaisa–Tobina. Rozważa on sytuację w przedsiębiorstwie, w którym wpływy środków pieniężnych są stabilne i ciągłe, natomiast wypływy mają miejsce co jakiś czas. W modelu tym środki pieniężne są kumulowane stopniowo, co powoduje konieczność zainwestowania ich w papiery wartościowe gdy ich poziom osiągnie „górną granicę”. Zarówno poziom 2 C*, przy którym należy dokonać inwestycji, jak i ilość inwestycji w okresie (roku) powinno się obliczać w tym modelu, tak samo jak w modelu Baumola. Płynność i wartość - wpływ płynnych aktywów na wartość firmy || © http: //michalskig. ue. wroc. pl/pl | michalskig@ue. wroc. pl
Studium przypadku [SP] W przedsiębiorstwie Bio. Speedil, sytuacja umożliwiająca stosowanie modelu Beranka występuje w okresie od kwietnia do maja. W okresie tym, wpływy przeważają nad wypływami a miesięczna nadwyżka środków pieniężnych wynosi 600 000 zł. Koszt transferu 20 zł. Płynność i wartość - wpływ płynnych aktywów na wartość firmy || © http: //michalskig. ue. wroc. pl/pl | michalskig@ue. wroc. pl
Model Millera-Orra Podstawowym założeniem tego modelu jest to, że zmiany poziomu środków pieniężnych w przedsiębiorstwie mają charakter losowy. Reakcja zarządu przedsiębiorstwa ma miejsce w momencie, w którym poziom środków pieniężnych zrówna się z górną lub dolną granicą. Reagując na zrównanie się poziomu środków pieniężnych w przedsiębiorstwie z górną lub dolną granicą, zarząd kupuje lub sprzedaje krótkoterminowe papiery wartościowe albo spłaca lub zaciąga krótkoterminowy kredyt, w celu powrócenia do poziomu docelowego środków pieniężnych C*. Model ten tradycyjnie jest stosowany następująco: zarząd przedsiębiorstwa określa najpierw dolną granicę środków pieniężnych, jaką jest w stanie zaakceptować (L). Wartość ta jest wyznaczana subiektywnie, w oparciu o doświadczenie zarządu. Ponieważ jest to zapas minimalny, dlatego też poziom ten zależy od czynników takich jak dostęp przedsiębiorstwa do źródeł finansowania zewnętrznego. Płynność i wartość - wpływ płynnych aktywów na wartość firmy || © http: //michalskig. ue. wroc. pl/pl | michalskig@ue. wroc. pl
W modelu Millera-Orra przyjmuje się, że docelowy poziom środków pieniężnych (C*mp) jest uzależniony od kosztów utrzymania (alternatywnych) i kosztów niedoboru (transferu). Jako stały koszt jednego transferu przyjmuje się F, a jako koszt alternatywny przyjmuje się stopę procentową będącą kosztem kredytu krótkoterminowego R lub utraconym dochodem z krótkoterminowych papierów wartościowych. Natomiast 2 to wariancja przepływów pieniężnych netto w rozważanym okresie. Otrzymuje się jej wartość na podstawie danych historycznych. gdzie: C*mo - optymalny poziom środków pieniężnych wyznaczony w oparciu o model Millera-Orra; L – dolna granica środków pieniężnych; F – koszt stały jednego transferu; R – koszt alternatywny; – wariancja przepływów pieniężnych netto. gdzie U* to górna granica środków pieniężnych. [1 ] zarząd przedsiębiorstwa określa najpierw dolną granicę środków pieniężnych jaką jest w stanie zaakceptować (L). [2 ] wyznaczenie poziomu optymalnego C*mo na podstawie wzoru. [3 ] wyznaczenie „górnego” poziomu U* na podstawie wzoru. * F to stały koszt jednego transferu, R to koszt alternatywny, 2 to wariancja strumieni pieniężnych netto w okresie. Płynność i wartość - wpływ płynnych aktywów na wartość firmy || © http: //michalskig. ue. wroc. pl/pl | michalskig@ue. wroc. pl
Studium przypadku n [SP] Zarząd przedsiębiorstwa Bio. Speedil zauważył, że w okresie od czerwca do listopada nie jest w stanie przewidzieć wpływów i wypływów środków pieniężnych. Jest to charakterystyczne dla sezonu związanego z przygotowaniem magazynów do skupu surowca i samego skupu surowca. Nie jest możliwe, przewidzenie jak będzie kształtować się poziom środków pieniężnych. Zatem zarząd przekonany jest, że jedynym wyjściem jest stosowanie modelu Millera-Orra. Dolną granicę L, wyznaczył na poziomie 148 634 zł. Natomiast na podstawie danych historycznych oszacowano dzienne odchylenie standardowe przepływów pieniężnych, które wynosiło w okresie od czerwca do listopada: 35 009 zł. n Załóżmy, że na koniec 30 czerwca poziom środków pieniężnych wynosił 176 681 zł, natomiast wpływy i wypływy środków pieniężnych w drugiej połowie czerwca kształtowały się tak jak w tabeli poniżej. Dzięki temu będziemy mogli zaobserwować, jakie decyzje w związku z nimi podejmował zarząd przedsiębiorstwa Bio. Speedil. n Roczna stopa = 15%, koszt transferu 10 zł. Płynność i wartość - wpływ płynnych aktywów na wartość firmy || © http: //michalskig. ue. wroc. pl/pl | michalskig@ue. wroc. pl
Model Stone'a Jest to model podobny do modelu Millera-Orra. Podobnie jak model Millera-Orra bierze on pod uwagę granice kontrolne, a przekroczenie tych granic sygnalizuje konieczność reakcji. Zasadnicza różnica polega na tym, że w modelu Stone'a sygnał taki nie oznacza automatycznego działania, jak to było w przypadku modelu Millera. Orra. Oprócz tego, w odróżnieniu od poprzedniego modelu, model Stone'a opiera się na założeniu, że zarząd przedsiębiorstwa może znać przyszłe przepływy pieniężne. Wiedza ta może być obarczona błędem. Jeśli zasób środków pieniężnych przekroczy górną zewnętrzną granicę H 1 lub dolną zewnętrzną granicę H 0, zarząd analizuje przyszłe przepływy pieniężne opierając się na następującej formule: gdzie: S – saldo środków pieniężnych po k dniach. BZG - bieżący poziom środków pieniężnych. FCKk - przyszłe przepływy pieniężne oczekiwane w ciągu k najbliższych dni. Jeśli opisana przez wzór wartość S (wyznaczająca poziom środków pieniężnych po k dniach od chwili przekroczenia którejś z zewnętrznych granic kontroli), przekroczy dolną wewnętrzną granicę kontroli L albo górną wewnętrzną granicę U*, przedsiębiorstwo przeciwdziała odchyleniom od poziomu optymalnego poprzez kupno lub sprzedaż takiej ilości papierów wartościowych, aby poziom środków pieniężnych w przedsiębiorstwie powrócił do poziomu optymalnego C*. Płynność i wartość - wpływ płynnych aktywów na wartość firmy || © http: //michalskig. ue. wroc. pl/pl | michalskig@ue. wroc. pl
Płynność i wartość - wpływ płynnych aktywów na wartość firmy || © http: //michalskig. ue. wroc. pl/pl | michalskig@ue. wroc. pl
Studium przypadku n [SP] Zarząd przedsiębiorstwa Bio. Speedil, zauważył, że zazwyczaj od lutego do marca poziom miesięcznych wpływów i wypływów jest zbliżony, jednakże nie ma możliwości zsynchronizowania ich. W przeciwieństwie do wpływów i wypływów odnoszących się do okresu od czerwca do września, możliwe jest przewidywanie z trzydniowym wyprzedzeniem, jaki będą miały poziom. n Zarząd przedsiębiorstwa wyznaczył dolną wewnętrzną granicę L na poziomie 148 634 zł, natomiast dzienne odchylenie standardowe przepływów pieniężnych oszacował na poziomie: 35 009 zł. n Zewnętrzne granice kontrolne różnią się od wewnętrznych o 0, 3* 35 009 zł. n Załóżmy, że na koniec 15 lutego poziom środków pieniężnych wynosił 176 681 zł, natomiast wpływy i wypływy środków pieniężnych w pozostałej części lutego i początkowej marca kształtowały się tak jak w tabeli znajdującej się w dodatku z treścią SP. Dzięki temu będziemy mogli zaobserwować, jakie decyzje w związku z nimi podejmował zarząd Bio. Speedilu. … [reszta jak w poprzednim SP …] Płynność i wartość - wpływ płynnych aktywów na wartość firmy || © http: //michalskig. ue. wroc. pl/pl | michalskig@ue. wroc. pl
Propozycja wyznaczania L gdzie: L – dolny poziom środków pieniężnych (ostrożnościowe zasoby środków pieniężnych), k – koszt kapitału finansującego przedsiębiorstwo, G* – wielkość jednego transferu środków pieniężnych[1] na podstawie których oszacowano odchylenie standardowe, P – suma wpływów i wypływów środków pieniężnych, s – odchylenie standardowe dziennych wpływów/wypływów netto, Kbsp – koszt braku środków pieniężnych. --------------------------------------------------dla modeli Stone’a i Millera-Orra wyznaczenie takiego przeciętnego transferu powinno być dokonane dla danych rzeczywistych lub prognozowanych. Nie należy mylić tych przeciętnych transferów z postulowanymi przez modele Millera-Orra i Stone’a w przypadku redukcji po przekroczeniu punktu powrotu. [1] Płynność i wartość - wpływ płynnych aktywów na wartość firmy || © http: //michalskig. ue. wroc. pl/pl | michalskig@ue. wroc. pl
Studium Przypadku SP. Zarząd przedsiębiorstwa X, oszacował koszt braku środków pieniężnych na poziomie 5 000 zł, dzienne odchylenie standardowe wpływów/wypływów środków pieniężnych na poziomie 35466 w okresie miesięcznym, przeciętny pojedynczy wpływ/wypływ środków pieniężnych 27 250, miesięczna suma wszystkich wpływów i wypływów środków pieniężnych: 817 477, koszt kapitału finansującego przedsiębiorstwo 18% w skali rocznej. n Dla przedsiębiorstwa X, ostrożnościowy poziom środków pieniężnych wyniesie: Płynność i wartość - wpływ płynnych aktywów na wartość firmy || © http: //michalskig. ue. wroc. pl/pl | michalskig@ue. wroc. pl
Wpływ LCL na wartość przedsiębiorstwa [SP] Zarząd przedsiębiorstwa X, oszacował koszt braku środków pieniężnych na poziomie 5 000 zł, dzienne odchylenie standardowe wpływów/wypływów środków pieniężnych na poziomie 35466 w okresie miesięcznym, przeciętny pojedynczy wpływ/wypływ środków pieniężnych 27 250, miesięczna suma wszystkich wpływów i wypływów środków pieniężnych: 817 477, koszt kapitału finansującego przedsiębiorstwo 15% w skali rocznej. n Dla przedsiębiorstwa X, ostrożnościowy poziom środków pieniężnych wyniesie: n Jeśli zmienność wpływów i wypływów wynosiłaby 0, ostrożnościowe zasoby środków pieniężnych również wynosiłyby zero: Płynność i wartość - wpływ płynnych aktywów na wartość firmy || © http: //michalskig. ue. wroc. pl/pl | michalskig@ue. wroc. pl
n Dzięki temu, można oszacować przyrost kapitału pracującego netto: n Przy założeniu, że odchylenie standardowe byłoby na poziomie 35 466 cały czas oraz stopa podatku wynosi 20%, można oszacować coroczny alternatywny koszt utrzymywania ostrożnościowych zasobów środków pieniężnych a następnie wpływ na wartość przedsiębiorstwa w oparciu o rentę wieczystą: n Jak widać, utrzymywanie takiego poziomu ostrożnościowych zasobów środków pieniężnych, jaki wynika z odchylenia standardowego na poziomie 35 466, skutkuje obniżeniem wartości przedsiębiorstwa o 260 205 zł. Jeśli udałoby się zarządowi przedsiębiorstwa, uniknąć stałego, wynikającego z LCL, utrzymywania środków pieniężnych w przedsiębiorstwie, poprzez np. wykorzystanie linii kredytowej w banku zapewniającej potrzebne środki, opłaca się to zrobić tak długo, jak długo koszty wynikające z utrzymywania i wykorzystywania takiej linii, nie przekroczą 260 205 zł. Płynność i wartość - wpływ płynnych aktywów na wartość firmy || © http: //michalskig. ue. wroc. pl/pl | michalskig@ue. wroc. pl
Kiedy aktywizować sprzedaż przez liberalizację należności Koszty operacyjne przedsiębiorstwa, przy niepełnym wykorzystaniu jego zdolności produkcyjnych, opracowane na podstawie: B. Klimczak, Mikroekonomia, Wydawnictwo AE, Wrocław, 1992, s. 170. Płynność i wartość - wpływ płynnych aktywów na wartość firmy || © http: //michalskig. ue. wroc. pl/pl | michalskig@ue. wroc. pl
Ocena zmian polityki kredytowej 1. Podejście ogólne – wpływ zmian polityki kredytowej na wynik finansowy całego przedsiębiorstwa – metoda porównania rachunku wyników 2. Podejście analityczne – wpływ zmian polityki kredytowej na korzyści związane ze sprzedażą pojedynczych produktów lub grup asortymentowych – metoda analizy przyrostowej Płynność i wartość - wpływ płynnych aktywów na wartość firmy || © http: //michalskig. ue. wroc. pl/pl | michalskig@ue. wroc. pl
Podejście ogólne Płynność i wartość - wpływ płynnych aktywów na wartość firmy || © http: //michalskig. ue. wroc. pl/pl | michalskig@ue. wroc. pl
Podejście analityczne gdzie: ΔNAL – przyrost przeciętnego poziomu należności, OSN 0 – okres spływu należności przed zmianą polityki kredytowej, OSN 1 – okres spływu należności po zmianie polityki, S 0 – przychody ze sprzedaży przed zmianą polityki kredytowej, S 1 – przychody ze sprzedaży po zmianie polityki kredytowej, KZ – koszty zmienne (wyrażone jako procent od przychodów ze sprzedaży). ΔEBIT – korzyść ze zmiany polityki kredytowej (przyrost zysku przed odsetkami i opodatkowaniem), C –koszt utrzymywania należności w przedsiębiorstwie, l 0 – przeciętne straty z tytułu złych długów przed zmianą polityki kredytowej, l 1 – przeciętne straty z tytułu złych długów po zmianie polityki kredytowej, ps 0 – procent skonta przed zmianą polityki, ps 1 – procent skonta po zmianie polityki, w 0 – procent wszystkich klientów korzystających ze skonta przed zmianą polityki, w 1 – procent wszystkich klientów korzystających ze skonta po zmianie polityki. Płynność i wartość - wpływ płynnych aktywów na wartość firmy || © http: //michalskig. ue. wroc. pl/pl | michalskig@ue. wroc. pl
Gas. Biol n [SP] Przedsiębiorstwo Gas. Biol ma roczne przychody ze sprzedaży nawozów ekologicznych produkowanych z pulpy pofermentacyjnej na poziomie 1 300 000 zł. Koszty zmienne stanowią 65% przychodów ze sprzedaży. Koszt finansowania należności wynosi 22%, koszt alternatywny (równy kosztowi kapitału finansującemu przedsiębiorstwo) to 16%, natomiast efektywna stopa podatkowa wynosi 20%. Obecnie klienci przedsiębiorstwa regulują płatności 40 dnia. Straty wynikające ze złych długów wynoszą 3% przychodów ze sprzedaży. Zarządzający Gas. Biol rozważają dokonanie zmian w polityce kredytowej. Po dokonaniu odpowiednich rozmów z licznymi obecnymi i potencjalnymi klientami oraz przeanalizowaniu zebranych wiadomości, wyłoniły się cztery możliwości zmian: n Wydłużenie okresu kredytowania do 45 dni. W jego wyniku przychody ze sprzedaży powinny wzrosnąć do 1 500 000 zł, straty wynikające ze złych długów wzrosłyby do 4% przyrostu przychodów ze sprzedaży (dla poziomu 1 300 000 poziom złych długów byłby dalej na poziomie 3%). n Skrócenie okresu kredytowania do 30 dni. Skutkiem takiego posunięcia byłby spadek przychodów ze sprzedaży do poziomu 900 000 rocznie, a straty z tytułu złych długów utrzymałyby się na takim samym poziomie. n Zaproponowanie 3% skonta dla klientów płacących w ciągu 10 dni. W wyniku tego 50% klientów korzystałaby ze skonta płacąc 10 dnia, natomiast 50% klientów dokonywałaby płatności do 40 dnia. Udział złych długów wynosiłby 2%. Przychody ze sprzedaży kształtowałyby się na poziomie 1 400 000 zł. n Zaproponowanie warunków kredytowych w postaci: 3/10, netto 50. W wyniku takiej polityki przychody ze sprzedaży wzrosłyby do poziomu 1 800 000 zł, 45% klientów korzystałoby ze skonta płacąc do 10 dnia, 55% klientów dokonywałaby płatności 60 dnia. Złe długi stanowiłyby 5% całej sprzedaży. n W celu dokonania wyboru, należy posłużyć się jako kryterium rozstrzygającym analizą przyrostową, oraz porównać wpływ tych propozycji na wartość przedsiębiorstwa. Płynność i wartość - wpływ płynnych aktywów na wartość firmy || © http: //michalskig. ue. wroc. pl/pl | michalskig@ue. wroc. pl