Proton Decay in SUSY and nonSUSY GUTs K













































- Slides: 45
Proton Decay in SUSY and non-SUSY GUTs K. S. Babu Oklahoma State University Arnowitt Symposium & Mitchell Workshop on Collider and Dark Matter Physics Texas A&M University, May 18 -22, 2015
Richard Arnowitt and Supergravity GUTs
Why unification of forces and matter?
Non-SUSY evolution of couplings in SO(10) From Altarelli, Meloni (2013)
More Hints in favor of Unification
Unification of Matter Fields SO(10) Standard Model
B-Violating Effective Operators Weinberg (1979) Wilczek, Zee (1979)
Nucleon decay in SUSY GUTs Hisano, Murayama, Yanagida (1993) Nath, Perez, Phys. Rept. (2007)
Sakai, Yanagida (1982) Weinberg (1982) Hisano, Murayama, Yanagida (1993); Murayama, Pierce (2002); Bajc, Perez, Senjanovic (2002); Nath, Perez (2006)
Proton decay problem in SUSY SU(5)
Proton Lifetime in Realistic SUSY SU(5) Babu, Bajc, Tavartkiladze (2012)
Fixing the wrong mass relations
Optimized Proton Lifetime in Realistic SUSY SU(5)
Non-SUSY SO(10) GUT Chang, Mohapatra, Gipson, Marshak, Parida (1985); Pal, Deshpande (1993); Bertolini, Luzio, Malinksy (2009)
A Minimal non-SUSY SO(10) Model Babu, Khan (2015)
Challenges for Other Minimal Breaking Chains Yasue (1981); Babu, Ma (1982); Anastaze, Derendinger, Buccella (1983); Bertolini, Luzio, Malinsky (2010) Babu, Gogoladze, Nath, Syed (2005); (2006); (2012); Nath, Syed (2010)
Survival Hypothesis and Higgs Boson Mass Scales Georgi (1979)
Gauge coupling evolution
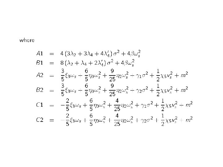
Higgs Potential Analysis
Higgs Potential Analysis (cont. )
Higgs Potential Analysis (cont. )
Higgs Boson Mass Spectrum
Higgs Boson Mass Spectrum (cont. )
Higgs Boson Mass Spectrum (cont. )
Sample Parameter Set
Higgs Spectrum (Sample)
Gauge coupling evolution with thresholds
Zooming in on thresholds
Important Features
Proton Lifetime
Proton Lifetime (General)
Predictive Fermion Spectrum in SO(10) Model has only 11 real parameters plus 7 phases Babu, Mohapatra (1993) Bajc, Senjanovic, Vissan (2001) Fukuyama, Okada (2002) Bajc, Melfo, Senjanovic, Vissani (2004) Fukuyama, Ilakovac, Kikuchi, Meljanac, Okada (2004) Aulakh et al (2004) Bertolini, Frigerio, Malinsky (2004) Babu, Macesanu (2005) Dutta, Mimura, Mohapatra (2005) Bertolini, Malinsky, Schwetz (2006) Dutta, Mimura, Mohapatra (2007) Bajc, Dorsner, Nemevsek (2009) Joshipura, Patel (2011) Dueck, Rodejohann (2013) Altarelli, Meloni (2013)
Specific Example for Quark & Lepton masses Fit Input at GUT scale Output: Type II Seesaw Babu, Macesanu (2005)
Theta(13) in Minimal SO(10)
B violation beyond the leading order Weinberg (1980) Babu, Mohapatra (2012) Weldon, Zee (1980) Vissani (1995) Barr, Calmet (2012)
Origin of d = 7 operators in SO(10)
B-L violating nucleon decay rates
Summary and Conclusions