Proteins Proteins are large biological molecules or macromolecules
Proteins • Proteins are large biological molecules, or macromolecules, consisting of one or more chains of amino acid residues. Proteins perform a vast array of functions within living organisms, including catalyzing metabolic reactions, replicating DNA, responding to stimuli, and transporting molecules from one location to another. Proteins differ from one another primarily in their sequence of amino acids, which is dictated by the nucleotide sequence of their genes, and which usually results in folding of the protein into a specific threedimensional structure that determines its act
Proteins • A polypeptide is a single linear polymer chain derived from the condensation of amino acids. The individual amino acid residues are bonded together by peptide bonds and adjacent amino acid residues. The sequence of amino acid residues in a protein is defined by the sequence of a gene, which is encoded in the genetic code. In general, the genetic code specifies 20 standard amino acids; however, in certain organisms the genetic code can include selenocysteine and— in certain archaea—pyrrolysine. Shortly after or even during synthesis, the residues in a protein are often chemically modified by posttranslational modification, which alters the physical and chemical properties, folding, stability, activity, and ultimately, the function of the proteins. Sometimes proteins have non-peptide groups attached, which can be called prosthetic groups or cofactors. Proteins can also work together to achieve a particular function, and they often associate to form stable protein complexes.
Structure of proteins
Color conventions
Protein Geometry CORN LAW amino acid with L configuration
Greek alphabet
The Polypeptide Chain
Chapter 5 Covalent structures of proteins Proteins function as: 1. Enzymes: biological catalysts 2. Regulators of catalysis-hormones 3. Transport and store i. e. O 2, metal ions sugars, lipids, etc. 4. Contractile assemblies Muscle fibers Separation of chromosomes etc. 5. Sensory Rhodopsin nerve proteins
6. Cellular defense immuoglobulins Antibodies Killer T cell Receptors 7. Structural Collagen Silk, etc. Function is dictated by protein structure!!
There are four levels of protein structure 1. Primary structure 1 = Amino acid sequence, the linear order of AA’s. Remember from the N-terminus to the C-terminus Above all else this dictates the structure and function of the protein.
There are four levels of protein structure 2. Secondary structure 2 = Local spatial alignment of amino acids without regard to side chains. Usually repeated structures Examples: a helix, sheets, random coil, or turns
3. Tertiary Structure 3 = the 3 dimensional structure of an entire peptide. Great in detail but vague to generalize. Can reveal the detailed chemical mechanisms of an enzyme.
4. Quaternary Structure 4 two or more peptide chains associated with a protein. Spatial arrangements of subunits. Chapter 5. 3 is how to determine a protein’s primary structure. “Protein Chemistry”
Example of each level of protein structure
Amino Acids
The amino-acid side chains have different tendencies to participate in interactions • Hydrophobic residues: van der Waals interactions – tendency to avoid contact with water and pack against each other hydrophobic effect - Ala & Leu are strong helix-favoring residues, Proline are not because its backbone nitrogen isn’t available for H-bond - Aromatic side chain of Phe participates in weakly polar interactions • Hydrophilic residues : Hydrogen bonds to one another, to peptide backbone, to polar organic molecules, and to water. - p. Ka shift: Asp & Glu (5 7 in hydrophobic interior or nearby (-) charge), Lys (10 6 in ? ) - His: most versatile, most often found in enzyme active sites, p. Ka is 6, neutral, proton donator and acceptor
Arg: completely protonated at neural, compared to Lys? - Cys: common in enzyme active site, most powerful nucleophile. Compared to Ser? • Amphipatic residues : both polar and nonpolar character - Lys: hydrophic charged region, long hydrophobic region (methylene) involved in van der Waals interactions with hydrophobic side chains - Tyr: p. Ka is 9, in some enzyme active site, hydroxyl group can be donor and acceptor of H-bond. Aromatic ring can form weakly polar interactions - Trp: similar to Tyr, indole amide hydrogen don’t ionize. - Met: least polar among amphipatic residues, thioether sulfur is excellent ligand for metal ions.
Genes and Proteins The genetic code is degenerate
Insulin was the first protein to be sequenced F. Sanger won the Nobel prize for protein sequencing. It took 10 years, many people, and it took 100 g of protein! Today it takes one person several days to sequence the same insulin. 1021 AA - glactosidase 1978
Steps towards protein sequencing Above all else, purify it first!! Chapter 5. 3 then 5. 1 and 5. 2 1. Prepare protein for sequencing a. Determine number of chemically different polypeptides. b. Cleave the protein’s disulfide bonds. c. Separate and purify each subunit. d. Determine amino acid composition for each peptide.
Bovine insulin: note the intra- and interchain disulfide linkages
2. Sequencing the peptide chains: a. Fragment subunits into smaller peptides 50 AA’s in length. b. Separate and purify the fragments c. Determine the sequence of each fragment. d. Repeat step 2 with different fragmentation system.
3. Organize the completed structure. a. Span cleavage points between sets of peptides determined by each peptide sequence. b. Elucidate disulfide bonds and modified amino acids. At best, the automated instruments can sequence about 50 amino acids in one run! Proteins must be cleaved into smaller pieces to obtain a complete sequence.
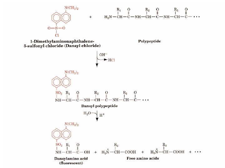
End Group Analysis How many peptides in protein? Bovine insulin should give 2 N-terminii and 2 C-terminii N-terminus 1 -Dimethylamino - naphthalene-5 -sulfonyl chloride Dansyl chloride Reacts with amines: N-terminus + Lys (K) side chains
Disadvantage with the Dansyl-chloride method is that you must use 6 M HCl to cleave off the derivatized amino acid, this also cleaves all other amide bonds (residues) as well. Edman degradation with Phenyl isothiocyanate, PITC
Edman degradation has been automated as a method to sequence proteins. The PTH-amino acid is soluble in solvents that the protein is not. This fact is used to separate the tagged amino acid from the remaining protein, allowing the cycle of labeling, degradation, and separation to continue. Even with the best chemistry, the reaction is about 98% efficient. After sufficient cycles more than one amino acid is identified, making the sequence determination error-prone at longer reads.
Demonstration of Edman degradation Use your CD disk- install it and run chapter 5 Edman degradation.
Carboxypeptidase cleavage at the C-terminus Carboxypeptidase A Rn-1 P Rn R, K, P If the Tyr-Ser bond is more resistant to cleavage than the Leu-Tyr, the Ser and the Tyr will appear simultaneously and the C-terminus would still be in doubt.
Cleavage of disulfide bonds Permits separation of polypeptide chains Prevents refolding back to native structure Performic acid oxidation Changes cystine or cysteine to Cystic acid Methionine to Methionine sulfone 2 -Mercaptoethanol, dithiothreitol, or dithioerythritol Keeps the equilibrium towards the reduced form -S-S- 2 SH
Amino acid composition The amino acid composition of a peptide chain is determined by its complete hydrolysis followed by the quantitative analysis of the liberated amino acids. Acid hydrolysis (6 N HCl) at 120 o. C for 10 to 100 h destroys Trp and partially destroys Ser, Thr, and Tyr. Also Gln and Asn yield Glu and Asp Base hydrolysis 2 to 4 N Na. OH at 100 o. C for 4 - 8 h. Is problematic, destroys Cys Ser, Thr, Arg but does not harm Trp.
Amino acid analyzer In order to quantitate the amino acid residues after hydrolysis, each must be derivatized at about 100% efficiency to a compound that is colored. Pre or post column derivatization can be done. These can be separated using HPLC in an automated setup
Amino acid compositions are indicative of protein structures Leu, Ala, Gly, Ser, Val, Glu, and Ile are the most common amino acids His, Met, Cys, and Trp are the least common. Ratios of polar to non-polar amino acids are indicative of globular or membrane proteins. Certain structural proteins are made of repeating peptide structures i. e. collagen.
Long peptides have to be broken to shorter ones to be sequenced Endopeptidases cleave proteins at specific sites within the chain. Trypsin Rn-1 = positively charged residues R, K; Rn P Chymotrypsin Rn-1 = bulky hydrophobic residues F, W, T; Rn P Thermolysin Rn = I, M, F, W, T, V; Rn-1 P Endopeptidase V 8 Rn-1 = E
Specific chemical cleavage reagents Cyanogen Bromide Rn-1 = M Cleave the large protein using i. e trypsin, separate fragments and sequence all of them. (We do not know the order of the fragments!!) Cleave with a different reagent i. e. Cyanogen Bromide, separate the fragments and sequence all of them. Align the fragments with overlapping sequence to get the overall sequence.
How to assemble a protein sequence 1. Write a blank line for each amino acid in the sequence starting with the N-terminus. 2. Follow logically each clue and fill in the blanks. 3. Identify overlapping fragments and place in sequence blanks accordingly. 4. Make sure logically all your amino acids fit into the logical design of the experiment. 5. Double check your work.
1 H 3 N- 2 3 4 5 6 7 8 9 10 11 12 13 14 _-_-_-_-_-_-_-COO K F-A-M-K K-F-A-M Q-M-K D-I-K-Q-M G-M-D-I-K Y-R-G-M Y-R Trypsin cleaves after K or R Cyanogen Bromide (CN (positively charged amino Br) Cleaves after Met acids) i. e M - X Q-M-K D-I-K-Q-M G-M-D-I-K K F-A-M-K K-F-A-M Y-R-G-M
There a variety of ways to purify peptides All are based on the physical or chemical properties of the protein. Size Charge Solubility Chemical specificity Hydrophobicity/ Hydrophylicity Reverse Phase High Pressure Liquid Chromatography is used to separate peptide fragments.
Peptide mapping: digest protein with an appropriate agent, then separate using two dimensional paper chromatography Digested Peptide from normal (Hb. A) and Sickle cell anemia (Hbs) hemoglobins Hb. A V-H-L-T-P-E-E-K Hb. S V-H-L-T-P-V-E-K 1 2 3 4 5 6 7 8 Beta chain position 6 contains altered amino acid
Red blood cells : (a) normal (b) sickle cell Electrophoretic separation of hemoglobins
Deoxyhemoglobin aggregates and deforms cell. Primary structure changes dictate quaternary structure. Why did the problem not die out? Homozygotic normal gets malaria dies Heterzyatic sickle cell trait resistant to malaria Homozygotic sickle cell gets sickle cell dies
Species variation in homologous proteins The primary structures of a given protein from related species closely resemble one another. If one assumes, according to evolutionary theory, that related species have evolved from a common ancestor, it follows that each of their proteins must have likewise evolved from the corresponding ancestor. A protein that is well adapted to its function, that is, one that is not subject to significant physiological improvement, nevertheless continues to evolve. Neutral drift: changes not effecting function
Homologous proteins (evolutionarily related proteins) Compare protein sequences: Conserved residues, i. e invariant residues reflect chemical necessities. Conserved substitutions, substitutions with similar chemical properties Asp for Glu, Lys for Arg, Ile for Val Variable regions, no requirement for chemical reactions etc.
0 1 12 11 10 9 10 13 13 11 14 15 18 21 27 31 43 48 45 51 0 11 10 9 8 11 12 12 10 15 14 17 21 26 30 43 47 45 51 0 1 3 6 5 6 7 11 12 10 22 11 14 19 22 29 46 46 46 51 0 2 5 4 5 8 10 11 9 21 10 13 18 22 28 45 46 45 50 0 3 2 4 6 9 10 8 20 9 11 17 22 27 45 46 45 50 0 3 5 7 10 10 8 21 9 12 18 21 25 44 46 45 49 0 2 6 9 9 7 19 8 11 17 22 27 44 46 45 50 0 6 8 8 6 18 9 11 17 21 26 44 46 45 50 0 12 10 10 21 11 13 18 24 28 47 49 46 51 monkey Horse Donkey cow, sheep dog gray whale rabbit kangaroo Average differences 10. 0 5. 1 9. 9 14. 3 12. 6 18. 5 Candida Yeast Bread mold Wheat 0 25. 9 45 0 47 54 0 47 47 41 0 47 50 42 27 0 silkworm 0 14 45 41 45 47 worm fly 0 24 32 49 48 47 48 Tuna fish 0 15 22 29 48 49 47 51 Bullfrog 0 10 18 24 28 46 49 49 53 turtle 0 22 24 26 29 31 46 47 47 51 Rattlesnake 0 17 7 11 17 22 27 46 46 46 51 Duck 0 3 20 8 12 18 24 27 46 48 45 50 penguin 0 2 3 19 8 11 17 23 28 46 47 46 51 Chicken, Man, chimp Rh. monkey Horse Donkey cow, sheep dog gray whale rabbit kangaroo Chicken penguin Duck Rattlesnake turtle Bullfrog Tuna fish worm fly silk moth Wheat Bread mold Yeast Candida k. Man, chimp Amino acid difference matrix for 26 species of cytochrome c
Phylogenetic tree Indicates the ancestral relationships among the organisms that produced the protein. Each branch point indicates a common ancestor. Relative evolutionary distances between neighboring branch points are expressed as the number of amino acid differences per 100 residues of the protein. PAM units or Percentage of Accepted Mutations
PAM values differ for different proteins. Although DNA mutates at an assumed constant rate. Some proteins cannot accept mutations because the mutations kill the function of the protein and thus are not viable.
Mutation rates appear constant in time Although insects have shorter generation times than mammals and many more rounds of replication, the number of mutations appear to be independent of the number of generations but dependent upon time Cytochrome c amino acid differences between mammals, insects and plants note the similar distances
Evolution through gene duplication Many proteins within an organism have sequence similarities with other proteins. • These are called gene or protein families. • The relatedness among members of a family can vary greatly. • These families arise by gene duplication. • Once duplicated, individual genes can mutate into separate genes. • Duplicated genes may vary in their chemical properties due to mutations. • These duplicate genes evolve with different properties. • Example the globin family.
Hemoglobin: • is an oxygen transport protein • it must bind and release oxygen as the cells require oxygen Myoglobin: • is an oxygen storage protein • it binds oxygen tightly and releases it when oxygen concentrations are very low
The globin family history 1. Primordial globin gene acted as an Oxygen-storage protein. 2. Duplication occurred 1. 1 billion years ago. lower oxygen-binding affinity, monomeric protein. 3. Developed a tetrameric structure two a and two b chains increased oxygen transport capabilities. 4. Mammals have fetal hemoglobin with a variant b chain i. e. g (a 2 g 2). 5. Human embryos contain another hemoglobin 2 e 2. 6. Primates also have a d chain with no known unique function.
Protein Evolution is not organismal evolution Chimpanzee human are about 99% the same amino acid sequences in proteins! However: • Rapid divergence with few mutational changes suggest altered control of gene expression. • Controlling the amount, where, and when a protein is made.
- Slides: 54