Programming Chamil Ananda KgGaligamuwa C C What are













































































































- Slides: 109
ග ටළ වසඳමට ක රමල ඛ ලවම. Programming Chamil Ananda Kg/Galigamuwa C. C.
වකලප වසඳම ග නම හඳන What are Alternative Solutions
අනක රමයක සඳහ ව ය ජ ක ත ලවම උද - ව තතයක වරගඵලය ස වම Start Begin Input Radius As R Area = 22/7 * R Display Area Stop . Input Radius Calculate Area = 22/7 * R Display Area End.
වරණයක සඳහ ව ය ජ ක ත ලවම උද - ද න ලද ස ඛ යනන ස වම. ය වක ඔතත ද ඉරටට ද Start Begin Input Number As N Calculate Reminder (R) = N Mod 2 IF R = 0 Reminder (R) = N Mod 2 R=0? Yes THEN Display “Even Number” ELSE No Display “Odd Number” Stop Display “Odd Number” ENDIF END.
පනරකරණයක Start Total = 0 Input Number As N සඳහ ව ය ජ ක ත -ලවම ද න ලද ස ඛ ය සමහයක උද එකතව ස වම. Begin Total = 0 REPEAT Input Number As N Total = Total + N No Are Numbers Over? Yes Display Total Stop Calculate Total = Total + N UNTIL Numbers Are Over Display Total End.
WHILE. . ENDWHILE Begin Start Count = 0 WHILE Count < 10 No Yes Calculate Count = Count + 1 Display Count Display “The End” ENDWHILE Display “The End” End. Stop
REPEAT. . UNTIL Start Begin Count = 0 Count = Count + 1 Count = 0 REPEAT Calculate Count = Count + 1 Display Count UNTIL Count >= 10 No Count >= 10 Yes Display “The End” Stop Display “The End” End.
ග ලම සටහන ව ය ජ ක තවලට කරම. උද - වශ ල පරවරතනය ස ඛ ය ව ත රම Begin Start Input Numbers As N 1, N 2 IF N 1>N 2 Then N 1>N 2 ? No Display “Large Number is N 2” Yes Display “Large Number is N 1” Else Display “Large Number is N 2” Endif Stop End
Start Input Number As N උද - කඩ ම ත රම Input Number As N Min = N Count = 1 Count = Count + 1 Count = 1 No While Count < 10 Input Number As N Yes IF N<Min Then Input Number As N No Min = N Endif N<Min ? Yes Min = N ය ව Begin Min = N Count < 10 ? ස ඛ Count = Count + 1 Display Min Stop End While Display Min End
01 Start Input Length (L) And Width (W) of Rectangle Begin Input Length (L) And Width (W) of Rectangle Calculate Perimeter = 2 L + 2 W Display Perimeter Area =L * W Display Area Stop Calculate Area =L x W Display Area End.
02 Begin Start Repeat Input Basic Salary (S) of Employee New Salary =S + 5000 Calculate New Salary =S + 5000 Display New Salary Employees are Over? Yes Stop No Until Employees are Over End.
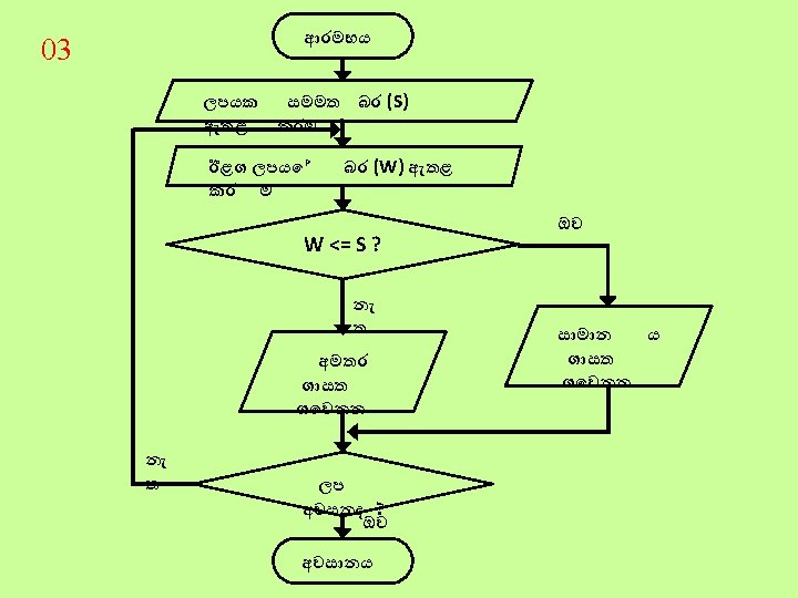
03 Start Begin Input Standard Weight (S) Repeat Input Weight (W) of Next Letter W <= S No Pay Extra Fee No Letters are Over? Yes Stop Get Next Letter Yes Pay Normal Fee Measure Weight (W) of Letter IF W <= S THEN Display Pay Normal Fee ELSE Display Pay Extra Fee ENDIF UNTIL Letters are Over End.
04 Start Begin Input Number as N = 0 Get Number as N = 0 Repeat N=N+1 Repeat Remainder(A) = N mod 7) Calculate N = N + 1 A=0? Yes Calculate Remainder(A) = N mod 7) No UNTIL A = 0 Display N Number of Displayed Number = 12? Yes Stop No UNTIL Number of Displayed End. Number = 12
වල ග හඳනවන Average AVERAGE First_Name වල ග සඳහ උද හරණ Last. Name Total Tot 1 න වන හඳනවන Total Marks 7 Sum Num@ Add-1 සඳහ උද හර
ක ටම යතර ක රයය Menu ලබ ග නමට Sub Menu ලබ ග නමට Open Save Exit Copy Cut Paste - Shortcut Key ක ටම යතර Alt + Red Letter Shift + Red Letter F 3 F 2 Alt + X Ctrl + Insert Ctrl + Delete Shift + Insert
Pascal මගන අනක ව ඩසටහන ලවම රමණය සහත Pascal Program . 01නම ඇතල කර එය ප රතද නය කරම . Program Display. Name; Var myname: String; Begin Write('Enter Your Name : - '); Read(myname); Writeln('Your Name is ', myname); End.
Screen Clear කරම ර ඳ Program Display. Name; සහ User Screen එක මත සටම Uses crt; Var myname: String; User Screen එක ප හ දල (Clear) කරමට Begin clrscr; Write('Enter Your Name : - '); Read(myname); User Screen එක මතම ර ඳ සටමට (පළතර එස නන බල ග නමට ( Writeln('Your Name is ', myname); Readkey End.
. 02ස ඛ ය 2 ක එකත කරම . Program Add. Num; Uses crt; Var N 1, N 2, Total: Integer; Begin clrscr; Write('Enter First Number: - '); Read(N 1); Write('Enter Second Number: - '); Read(N 2); Total: =N 1+N 2; Write('Total Is ', Total); Readkey End.
. 03ස ඛ ය 2 ක එකත කරම Program කරම සහCal 2 Num; බ දම. , අඩ කරම Uses crt; Var N 1, N 2, Total, Sub, Mul: Integer; Divi: Real; Begin clrscr; Write('Enter First Number : - '); Readln(N 1); Write('Enter Second Number : - '); Readln(N 2); Total: =N 1+N 2; Sub: =N 1 -N 2; Mul: =N 1*N 2; Divi: =N 1/N 2; Writeln(''); Writeln('Total is ', Total); Writeln('Substraction is ', Sub); Writeln('Multiplication is ', Mul); Writeln('Division is ', Divi: 5: 2); Readkey End. , ගණ
වරණය සහත Pascal Program 4. වයස 18 හ ව ඩ න තනම න හ ක IF… THEN… ELSE නම ඡනදය ප රක ශ කළ හ ක. . Program Vote; Uses crt; Var Age: Integer; Begin Clrscr; Write('Enter Your Age : - '); Read(Age); If (Age>=0) And (Age<=120) Then Begin If Age>=18 Then Writeln('You Can Vote') Else Writeln('You Cannot Vote') End Else Writeln('Your Age is Impossible'); Readkey End.
5. ද න ලද ස ඛ ස වම. ය වක ධන ද, ස ණ ද, 0 ද යනන Program If. Else. Positive; Uses crt; Var X: Integer; Begin clrscr; Write('Enter a Number : '); Read(X); If (X=0) Then Writeln('Your Number is Zero') Else if (X>0) then Writeln('Your Number is Positive') Else Writeln('Your Number is Negative'); Readkey End.
6. වෂයක ලකණකට අද ල ස ම රථය ද කවම Program Marks. Grade; Uses crt; Var X: Integer; Grade: String; Begin clrscr; Write('Enter Your Mark : - '); Read(X); IF (X>=0) And (X<=100) Then Begin If (X>=75) Then Grade: ='A' Else If (X>=65) Then Grade: ='B' Else If (X>=50) Then Grade: ='C' Else If (X>=35) Then Grade: ='S' Else Grade: ='W'; Writeln('Your Grade is ', Grade); End Else Writeln('Your Mark Is Invalid'); Readkey End.
CASE … OF ක තය භ වතය න Pascal ව ඩසටහනලකණකට ලවම අද ල ස ම රථය. 7වෂයක ද කවම Program Marks. Grade_Case; Uses crt; Var X: Integer; Begin clrscr; Write('Enter Your Mark : - '); Read(X); Case X of 75. . 100 : Writeln('Your Grade 65. . 74 : Writeln('Your Grade 50. . 64 : Writeln('Your Grade 35. . 49 : Writeln('Your Grade 0. . 34 : Writeln('Your Grade Else Writeln('Invalid Mark '); End; Readkey End. is is is A'); B'); C'); S'); W');
. 8අතක ල කරම. ප ය ගණන අනව ව නස OT Rate සඳහ ව ටප ගණනය (0 -20 h = Rs. 21 -40 , 50 h = Rs. 41 -60 , 75 h = Rs. 60 , 100 h ට ව ඩ = Rs. 125වන ල ස ( Program Net. Salary. OT; Uses crt; Var OTHour: Integer; Basic, Net. Salary, OT: Real; Begin clrscr; Write('Enter Basic Salary: - '); Readln(Basic); Write('Enter OT Hours: - '); Readln(OTHour); Case OTHour of 0. . 20: OT: =OTHour*50; 21. . 40: OT: =20*50+(OTHour-20)*75; 41. . 60: OT: =20*50+20*75+(OTHour-40)*100; Else OT: =20*50+20*75+20*100+(OTHour-60)*125; End; Net. Salary: =Basic+OT; Writeln('Net Salary : ', Net. Salary: 6: 2); Readkey End.
For ……. . Do සහත Program ලපයක දනන ව ර ගණනක ක රය තමක කරම සඳහ ම ම ක තය භ වත ව . එය ආර හණ හ අවර හණ යන ද ය ක රයටම ක රය තමක කල හ ක. 1. Ascending 2. Descending Program For. Front; Uses crt; Var i: Integer; Begin clrscr; For i: =1 To 10 Do Writeln(i); Readkey End. Program For. Reves; Uses crt; Var i: Integer; Begin clrscr; For i: =10 Downto 1 Do Writeln(i); Readkey End.
9. ද න ලද ස ඛ ය වක ධන ද, ස ණ ද, 0 ද යනන ස වම . Program For. Positive; Uses crt; Var X, i: Integer; Begin clrscr; For i: =1 To 5 Do Begin Write('Enter Your Number ', i, ' : '); Readln(X); Writeln(''); If (X=0) then writeln('Your Number is Zero'); If (X>0) then writeln('Your Number is Positive'); If (X<0) then writeln('Your Number is Negative'); writeln('=========='); Writeln(''); End; Readkey End.
10. දනන ස ඛ ය සමහයක එකතව ලබ ග නම . Program Tot. Marks; Uses crt; Var X, i, Total: integer; Begin clrscr; For i: =1 To 5 Do Begin Write('Enter Mark ', i, ' : - '); Readln(X); Total: =Total+X; End; Writeln('Total Marks = ', Total); Readkey End.
11. දනන ස ඛ ය සමහයක එකතව හ ස ම න ය Program Tot. Avg. Mark; ලබ ග නම. Uses crt; Var X, i, Total: Integer; avg: Real; Begin clrscr; For i: =1 To 5 Do Begin Write('Enter Mark ', i, ' : - '); Readln(X); Total: =Total+X; avg: =Total/i; End; Writeln('Total Marks = ', Total); Writeln('Your Average is ', avg: 5: 2); Readkey End.
12. ගණන වග නරම ණය Program multiplechart; Uses crt; Var x, i: Integer; Begin clrscr; Write('Enter Value: - '); Readln(x); For i: =1 To 12 Do Writeln(x, ' X ', i, ' = ', x*i); Readkey End.
While… Do සහත Program ක නද සයක සත යව පවතන ත ක ක රය තමක 13. 1සට 10 ත ක ව ස ඛ. ය මද Program රණය කරය. while. Do 1; Uses crt; Var X: Integer; Begin clrscr; X: =1; While X<=10 do Begin Writeln(X); X: =X+1; End; Writeln('Value Of X Now ', X); Readkey End.
14. එකතව සහ ස ම න Program whileloop; භ වතය න ය ස වම While… Do Uses crt; Var x, tot, count: Integer; avg: Real; Begin clrscr; Write('Enter Value: - '); Readln(x); count: =0; While x>0 do Begin count: =count+1; tot: =tot+x; Write('Enter Value: - '); Readln(x); End; avg: =tot/count; Writeln('Total = ', tot); Writeln('Average = ', avg: 5: 2); Readkey End.
16. 7හ මල ගණ ක ර 12 මද Program Multiple 7; Uses crt; Var N, R, Count: Integer; Begin clrscr; N: =0; Count: =0; Repeat N: =N+1; R: =N Mod 7; Until R=0; Writeln(N); Count: =Count+1; Until Count=12; Readkey End. රණය කරම .
17. ස ඛ ය සමහයකන අවම අගය ත රම Program Display. Min; Uses crt; Var N, Count, Min: Integer; Begin clrscr; Count: =1; Write('Enter Number ', Count, ': - '); Read(N); Min: =N; While Count<10 Do Begin Count: =Count+1; Write('Enter Number ', Count, ': - '); Read(N); IF N<Min Then Min: =N; End; Writeln('-----------'); Writeln('Min Value is ', Min); Writeln('-----------'); Readkey End.
18. පරශලකග ත රම අනව ආර හණ හ අවර හණ ස ඛ අනක රමයක ලබ ග නම. Program Order. Num; ය Uses crt; Var N: Integer; Choice: Char; Begin clrscr; Write('Enter "A" for Ascending or Enter "D" for Descending : - '); Read(Choice); IF Choice='A' Then Begin Writeln('*** Ascending Order *** '); For N: =1 To 10 Do Writeln(N); End; IF Choice='D' Then Begin Writeln('*** Descending Order *** '); For N: =10 Downto 1 Do Writeln(N); End; Readkey End.
අර වක සවභ වය Var Name of Array : Array [First Value. . Last Value] of Data Type උද - Var Mark : Array[1. . 6] of Integer; අර ව අවයව අර ව දරශක Mark[1] අර ව Mark[6] Mark[2] Mark[3] Mark[4] Mark[5] Mark[6] නම අවයව - Mark[1], Mark[2], Mark[3], Mark[4], Mark[5],
. 19 Array එකකට දතත ඇතල කරම Program My. Array; Uses crt; Var Mark: Array[1. . 3] of Integer; Begin clrscr; Mark[1]: =5; Mark[2]: =7; Mark[3]: = Mark[1]+ Mark[2]; Writeln('Total is ', Mark[3]); Readkey End.
. 20ලකණ 9ක එකත කරම . Program My. Marks; Uses crt; Var Mark: Array[1. . 9] of Integer; i, Total: Integer; Begin clrscr; For i: = 1 To 9 Do Begin Write('Enter Your Mark ', i, ' : - '); Read(Mark[i]); Total: =Total+Mark[i]; End; Writeln('------------'); Writeln('Your Total Mark is ', Total); writeln('------------'); Readkey End.
. 21ලකණ 5ක ඇතළ කර ඒව Reverse Order කරම Program My. Array; Uses crt; Var Data: Array[1. . 5] of Integer; i: Integer; Begin clrscr; Writeln('Enter Your 5 Scores'); Writeln('-----------'); For i: = 1 To 5 Do Begin Write('Enter Score ', i, ': - '); Read(Data[i]); End; Writeln('-----------'); Writeln('Scores in Reverse Order '); For i: =5 Downto 1 Do Writeln(Data[i]); Readkey End. .
. 22ලකණ වල එකතව , ස ම න ය හ උපරම අගය ස වම Program Mark. Max; Uses crt; Var Mark: Array[1. . 10] of Integer; i, Max, Tot: Integer; Avg: Real; Begin clrscr; For i: = 1 To 10 Do Begin Write('Enter Mark ', i, ': - '); Read(Mark[i]); Tot: =Tot+Mark[i]; End; Avg: =Tot/i; Max: =Mark[i]; For i: =2 To 10 Do IF Mark[i]>Max Then Max: =Mark[i]; Writeln('-----------'); Writeln('Total Marks = ', Tot); Writeln('Maximum Mark = ', Max); Writeln('Average Mark = ', Avg: 5: 2); Readkey End. .
Procedure )ක රය පටප ට ) සහත Program ම ය උපක රමල ඛ වරගයක. ප රධ න ක රමල ඛයට ප රතද නයක ලබ දය න හ ක උපක රමල ඛ Procedure නමව . 23. නම ප රදරශනය කරම Program procedure_pro(input, output); Uses crt; Var Name: string; Procedure getname(var Gname: string); Begin Write('Enter Your Name: - '); Read(Gname); End; Procedure printname(var Pname: string); Begin Writeln('Your Name is ', Pname) End; Begin clrscr; getname(Name); printname(Name); Readkey End.
Function )ශ රත ) සහත Program ම ය උපක රමල ඛ වරගයක. ප රධ න ක රමල ඛයට ප රතද නයක ලබ දය හ ක උපක රමල ඛ Function )ශ රත ) නම ව . 24. ව තතයක වරගඵලය හ පරධය Program Function_Circle(input, output); Uses crt; Const P=22/7; Var R: Real; Function Process. Area(R: Real): Real; Var Area: Real; Begin Area: =P*R*R; Process. Area: =Area End; Function Process. Circum(R: Real): Real; Var C: Real; Begin C: = 2*P*R; Process. Circum: =C; End; Begin clrscr; Write('Enter Radius: - '); Read(R); Writeln('Area is ', Process. Area(R): 5: 2); Writeln('Circum is ', Process. Circum(R): 5: 2); Readkey End. ස වම .
සමප දක - Compilers උසස මටටම භ ෂ වලන (High Level Language) ලයන ලද පරගණක ව ඩසටහන එකවරම ය නත රක භ ෂ (Machine Language) බවට පරවරතනය කරය. Machine High Level Language Program (Source Code) Language Program (Object Code)