Probability Mixed Foundation GCSE Questions AQA These questions
Probability – Mixed – Foundation – GCSE Questions – AQA These questions are the same format as previous GCSE exams. COPY means they use the exact same numbers as the original GCSE question. Otherwise, they are clone questions using different numbers. The worksheets are provided in 2 sizes.
Printing To print handouts from slides Select the slide from the left. Then click: File > Print > ‘Print Current Slide’ To print multiple slides Click on a section title to highlight all those slides, or press ‘Ctrl’ at the same time as selecting slides to highlight more than one. Then click: File > Print > ‘Print Selection’ To print double-sided handouts Highlight both slides before using ‘Print Selection’. Choose ‘Print on Both Sides’ and ‘Flip on Short Edge’.
AQA Foundation: November 2017 Paper 3, Q 11 1 [3 marks]
AQA Foundation: June 2017 Paper 3, Q 12 1 Put these probabilities in order, starting with the least likely. [2 marks] Answer 2 Answer , , , Put these probabilities in order, starting with the least likely. [2 marks] Answer 2 , , Answer , 1 , , Put these probabilities in order, starting with the least likely. [2 marks] Answer 2 , , , Put these probabilities in order, starting with the least likely. [2 marks] Answer , , Put these probabilities in order, starting with the least likely. [2 marks] , AQA Foundation: June 2017 Paper 3, Q 12 , Put these probabilities in order, starting with the least likely. [2 marks] , , Put these probabilities in order, starting with the least likely. [2 marks] AQA Foundation: June 2017 Paper 3, Q 12 1 Put these probabilities in order, starting with the least likely. [2 marks] 1 , AQA Foundation: June 2017 Paper 3, Q 12 , , ,
AQA Foundation: November 2017 Paper 1, Q 9 1 AQA Foundation: November 2017 Paper 1, Q 9 In a game, three stars are hidden at random. Each star is behind a different square on this board. A 1 (a) B C D 1 In a game, three stars are hidden at random. Each star is behind a different square on this board. E A 1 1 2 2 3 3 4 4 5 5 A square is chosen at random. What is the probability that there is a star behind it? 1 (a) B C [1 mark] Answer In one game, the stars are behind three consecutive squares. The squares are in one row or one column. One of the squares is E 2 Write down all the possible pairs for the other two squares. 1 (b) In one game, the stars are behind three consecutive squares. The squares are in one row or one column. One of the squares is E 2 Write down all the possible pairs for the other two squares. [2 marks] Answer E A square is chosen at random. What is the probability that there is a star behind it? [1 mark] 1 (b) D [2 marks] Answer
AQA Foundation: June 2017 Paper 3, Q 25 1 1 (a) Work out the number of students in the school who study Drama. [3 marks] Answer 1 (b) Work out the probability that a student chosen at random from the whole school does not study Drama. [2 marks] Answer
AQA Foundation: June 2018 Paper 3, Q 20 1 The probability that A is the outcome of an experiment is 0. 3 Circle the probability that A is not the outcome. [1 mark] 0. 07 2 0. 3 0. 7 [1 mark] 0 0. 07 The probability that A is the outcome of an experiment is 0. 85 Circle the probability that A is not the outcome. 2 0. 3 0. 7 0 The probability that A is the outcome of an experiment is 0. 85 Circle the probability that A is not the outcome. [1 mark] 0. 05 15 0. 85 [1 mark] 0. 15 0. 05 AQA Foundation: June 2018 Paper 3, Q 20 1 15 0. 85 0. 15 AQA Foundation: June 2018 Paper 3, Q 20 The probability that A is the outcome of an experiment is 0. 3 Circle the probability that A is not the outcome. 1 The probability that A is the outcome of an experiment is 0. 3 Circle the probability that A is not the outcome. [1 mark] 0. 07 2 0. 3 0. 7 [1 mark] 0 0. 07 The probability that A is the outcome of an experiment is 0. 85 Circle the probability that A is not the outcome. 2 0. 3 0. 7 0 The probability that A is the outcome of an experiment is 0. 85 Circle the probability that A is not the outcome. [1 mark] 0. 05 15 0. 85 0. 15
AQA Foundation: November 2017 Paper 1, Q 13 1 A train can be early, on time or late. AQA Foundation: November 2017 Paper 1, Q 13 1 The probability that the train is early is 0. 2 The probability that the train is on time is 0. 7 A train can be early, on time or late. The probability that the train is early is 0. 2 The probability that the train is on time is 0. 7 Work out the probability that the train is late. [2 marks] Answer
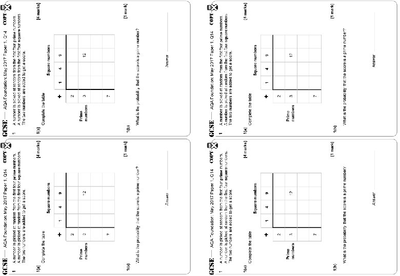
AQA Foundation: May 2017 Paper 1, Q 14 1 AQA Foundation: May 2017 Paper 1, Q 14 A number is picked at random from the first four prime numbers. A number is picked at random from the first four square numbers. The two numbers are added to get a score. 1(a) [4 marks] 1 A number is picked at random from the first four prime numbers. A number is picked at random from the first four square numbers. The two numbers are added to get a score. 1(a) Complete the table [4 marks] Complete the table Square numbers + 1 4 Square numbers + 9 2 Prime numbers 3 1 4 9 2 Prime numbers 12 7 3 12 7 [1 mark] 1(b) What is the probability that the score is a prime number? Answer
AQA Foundation: May 2018 Paper 1, Q 13 1 AQA Foundation: May 2018 Paper 1, Q 13 In a game, two fair spinners are spun. 1 Spinner A 4 1 2 2 Spinner B 6 2 In a game, two fair spinners are spun. 1 3 Spinner A 5 If the numbers the arrows land on are different, the score is the higher number. If the numbers the arrows land on are the same, the score is 0 4 2 Spinner B 6 0 4 6 1 (a) Write down the probability that the score is an odd number. Answer Spinner D 1 4 6 7 Spinner C 1 (a) The same game is played using spinners C and D. The numbers on C are shown. Spinner B Spinner C 2 1 4 [1 mark] [2 marks] 8 Write the missing numbers on spinner D. [2 marks] 5 2 2 0 4 6 1 (a) The same game is played using spinners C and D. The numbers on C are shown. Spinner B 0 0 3 Answer Spinner C 4 2 1 (a) Write down the probability that the score is an odd number. 6 7 1 Spinner D 1 4 6 7 Spinner C 5 2 2 5 Spinner B [2 marks] Spinner A 1 3 2 1 (a) Complete the table to show the possible scores. Spinner B 2 3 If the numbers the arrows land on are different, the score is the higher number. If the numbers the arrows land on are the same, the score is 0 1 (a) Complete the table to show the possible scores. 2 2 1 4 [1 mark] [2 marks] 4 0 6 7 0 8 Write the missing numbers on spinner D.
AQA Foundation: November 2017 Paper 3, Q 6 1 AQA Foundation: November 2017 Paper 3, Q 6 Hayley makes a sandwich using bread (B) or a roll (R) and ham (H) or cheese (C) and salad (S) or pickle (P) 1 1 (a) List all the possible types of sandwich Hayley could make. One has been done for you. [2 marks] 1 (a) List all the possible types of sandwich Hayley could make. One has been done for you. BHS 1 (a) What fraction of the possible types of sandwich have cheese and pickle? [1 marks] 1 (a) What fraction of the possible types of sandwich have cheese and pickle? 1 [2 marks] BHS 1 (a) What fraction of the possible types of sandwich have cheese and pickle? [1 marks] AQA Foundation: November 2017 Paper 3, Q 6 Hayley makes a sandwich using bread (B) or a roll (R) and ham (H) or cheese (C) and salad (S) or pickle (P) 1 (a) List all the possible types of sandwich Hayley could make. One has been done for you. [2 marks] BHS AQA Foundation: November 2017 Paper 3, Q 6 1 Hayley makes a sandwich using bread (B) or a roll (R) and ham (H) or cheese (C) and salad (S) or pickle (P) 1 (a) List all the possible types of sandwich Hayley could make. One has been done for you. [2 marks] BHS [1 marks] 1 (a) What fraction of the possible types of sandwich have cheese and pickle? [1 marks]
AQA Foundation: June 2018 Paper 3, Q 9 1 AQA Foundation: June 2018 Paper 3, Q 9 A music app has a shuffle play function. This means that songs are played in a random order without repeat. 1 (a) Raj puts 10 songs on shuffle play. One of them is his favourite song. Write down the probability that his favourite song plays first. 1 A music app has a shuffle play function. This means that songs are played in a random order without repeat. 1 (a) Raj puts 10 songs on shuffle play. One of them is his favourite song. Write down the probability that his favourite song plays first. [1 mark] Answer 1 (b) Jack puts songs A, B and C on shuffle play. List all the possible orders of songs A, B and C. One has been done for you. ABC Answer [2 marks] 1 (b) Jack puts songs A, B and C on shuffle play. List all the possible orders of songs A, B and C. One has been done for you. ABC AQA Foundation: June 2018 Paper 3, Q 9 1 AQA Foundation: June 2018 Paper 3, Q 9 A music app has a shuffle play function. This means that songs are played in a random order without repeat. 1 (a) Raj puts 10 songs on shuffle play. One of them is his favourite song. Write down the probability that his favourite song plays first. 1 A music app has a shuffle play function. This means that songs are played in a random order without repeat. 1 (a) Raj puts 10 songs on shuffle play. One of them is his favourite song. Write down the probability that his favourite song plays first. [1 mark] Answer 1 (b) Jack puts songs A, B and C on shuffle play. List all the possible orders of songs A, B and C. One has been done for you. ABC [2 marks] Answer [2 marks] 1 (b) Jack puts songs A, B and C on shuffle play. List all the possible orders of songs A, B and C. One has been done for you. ABC [2 marks]
AQA Foundation: November 2017 Paper 1, Q 9 1 In a game, three stars are hidden at random. Each star is behind a different square on this board. A B C D E 1 2 3 4 5 1 (a) A square is chosen at random. What is the probability that there is a star behind it? [1 mark] Answer 1 (b) In one game, the stars are behind three consecutive squares. The squares are in one row or one column. One of the squares is E 2 Write down all the possible pairs for the other two squares. [2 marks] Answer
AQA Foundation: June 2017 Paper 3, Q 25 1 1 (a) Work out the number of students in the school who study Drama. [3 marks] Answer 1 (b) Work out the probability that a student chosen at random from the whole school does not study Drama. [2 marks] Answer
AQA Foundation: May 2017 Paper 1, Q 14 1 A number is picked at random from the first four prime numbers. A number is picked at random from the first four square numbers. The two numbers are added to get a score. 1(a) [4 marks] Complete the table Square numbers + 1 4 9 2 Prime numbers 3 12 7 [1 mark] 1(b) What is the probability that the score is a prime number? Answer
AQA Foundation: May 2018 Paper 1, Q 13 1 In a game, two fair spinners are spun. 1 Spinner A 4 2 Spinner B 6 2 3 2 5 If the numbers the arrows land on are different, the score is the higher number. If the numbers the arrows land on are the same, the score is 0 1 (a) Complete the table to show the possible scores. Spinner B 2 Spinner A 1 2 3 [2 marks] 5 2 2 0 4 6 1 (a) Write down the probability that the score is an odd number. Answer Spinner C Spinner D 1 4 6 7 Spinner C 1 (a) The same game is played using spinners C and D. The numbers on C are shown. Spinner B 1 4 [1 mark] [2 marks] 4 0 6 7 0 8 Write the missing numbers on spinner D.
AQA Foundation: November 2017 Paper 1, Q 9 1 In a game, three stars are hidden at random. Each star is behind a different square on this board. A B C D E 1 2 3 4 5 1 (a) A square is chosen at random. What is the probability that there is a star behind it? [1 mark] Answer 1 (b) In one game, the stars are behind three consecutive squares. The squares are in one row or one column. One of the squares is E 2 Write down all the possible pairs for the other two squares. E 1, E 3 C 2, D 2 E 3, E 4 Answer [2 marks]
AQA Foundation: June 2017 Paper 3, Q 25 1 1 (a) Work out the number of students in the school who study Drama. [3 marks] Total = 240 + 360 = 624 Answer 1 (b) Work out the probability that a student chosen at random from the whole school does not study Drama. [2 marks] Total students = 660 + 840 = 1500 NOT drama = 1500 – 624 = 876 Answer OR
AQA Foundation: May 2017 Paper 1, Q 14 1 A number is picked at random from the first four prime numbers. A number is picked at random from the first four square numbers. The two numbers are added to get a score. 1(a) [4 marks] Complete the table Square numbers Prime numbers + 1 4 2 3 6 3 4 7 5 6 9 7 8 11 16 23 16 9 11 18 19 12 14 21 [1 mark] 1(b) What is the probability that the score is a prime number? Answer
AQA Foundation: May 2018 Paper 1, Q 13 1 In a game, two fair spinners are spun. 1 Spinner A 4 2 Spinner B 6 2 3 2 5 If the numbers the arrows land on are different, the score is the higher number. If the numbers the arrows land on are the same, the score is 0 1 (a) Complete the table to show the possible scores. Spinner A Spinner B 2 2 3 5 1 2 2 4 6 0 3 3 4 6 5 5 5 6 4 6 [2 marks] 1 (a) Write down the probability that the score is an odd number. [1 mark] Answer 1 (a) The same game is played using spinners C and D. The numbers on C are shown. Spinner B Spinner D 4 6 7 4 4 7 8 4 Spinner C 1 1 4 4 [2 marks] 7 8 0 8 4 0 6 7 Write the missing numbers on spinner D.
Questions? Comments? Suggestions? …or have you found a mistake!? Any feedback would be appreciated . Please feel free to email: tom@goteachmaths. co. uk
- Slides: 43