Principle of Seismic Refraction Let A be a
Principle of Seismic Refraction Let A be a source on the ground surface and a seismic refractor underlies at a depth H from the source. The seismic wave reaches the point B which falls in other medium. If T is the total time for the seismic wave to travel a distance APB from low velocity medium V 1 to higher velocity medium V 2,
Ground surface. Source V 1 Seismic refractor Or Interface V 2
Differentiating with respect to x and making d. T/dx = 0 gives Or . For the seismic refraction to take place along the inter face boundary, r = 90 o, and if the corresponding angle of incidence is θ,
t 10 t 8 t 6 t 4 t 2 x 1 x 2 x 3 x 5 x 6 x 7 x 9 x 8 x 10 Geophones Shot A D H B x 4 V 1 V 2 C
Time of First Arrival in millisecond x 8 x 7 x 1 x 2 x 3 x 4 x 5 x 6 Shot Detector Distance in m x 9 x 10
Determination of Depth to Aquifer (a) Intercept time method Direct waves Refracted waves
The slope of this segment on the travel time curve is 1/V 2 and the intercept on the time axis is Therefore, the depth to the formation is given as:
(b) Cross-over distance method The cross-over distance method is another way of finding H. Since the field data do not exhibit an exact straight line fit, it is advisable to crosscheck the results using this method. As both direct and refracted waves arrive at the geophone together. Hence, for X= XD , TD = TR At less than this direct wave reaches first, at more than this refracted wave reaches first.
Time for direct wave Time for refracted wave
Exploration for Aquifer Thickness
Correction for Undulating Topography
Determination of the Sloping Aquifer Thickness Principle of Reverse seismic profiling A D E B C F Time for travel along ABCD is equal to the time for travel along the path DCBA
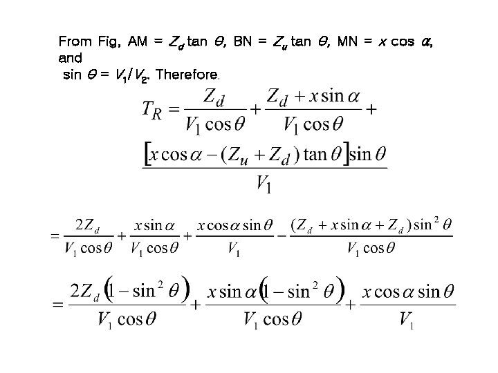
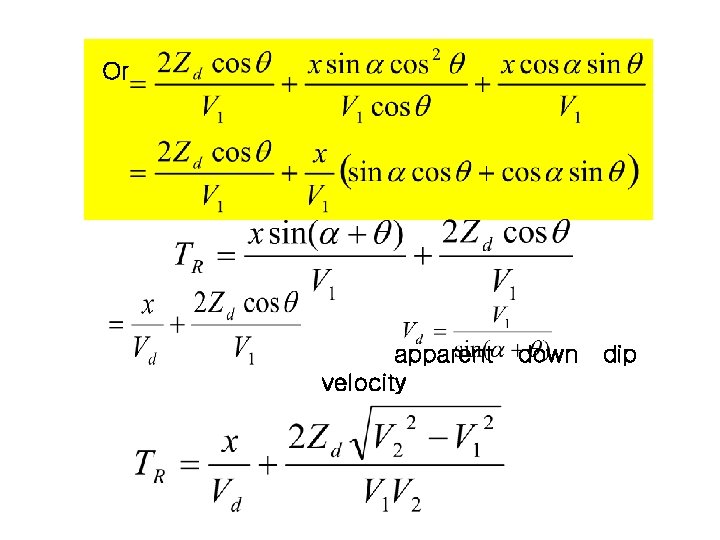
Down dip shooting x Zd Shot C Geophones Shot O α xcosa θ M A V 1 V 2 Horizontal datum Aquifer Zu θ top B α N
Since Zu = Zd + x sin α
From Fig, AM = Zd tan θ, BN = Zu tan θ, MN = x cos α, and sin θ = V 1/V 2. Therefore,
Or apparent velocity down dip
Up dip shooting
A sloping aquifer having a seismic velocity V 1 lies above the bed-rock, which has a velocity V 2. A reverse seismic refraction investigation revealed the following: x (m) 25 50 75 100 175 225 250 t (ms) 20 40 60 71 106 128 140 t (ms) 20 40 60 80 110 130 140 Compute V 1, V 2, the slope of the aquifer, Zd , and Zu. Draw a neat sketch.
V 1 = 1. 25 km/s, Vd = 2. 1875 km/s, Vu = 2. 5 km/s, Tui = 40 ms, and Tdi = 25 ms. Therefore,
The seismic velocity for the second layer V 2 = From the up dip shooting intercept time,
x Shot A Geophones α Zd θ 1 xcosα θ 1 Z M B θ 2 V 2 NV 3 Horizontal datum Shot F Aquifer θ 2 C Bed top V 1 θ 1 E θ 2 Roc D k Zu O α P
- Slides: 26