Primordial NonGaussianity in MultiScalar ar Xiv 0705 3178

  • Slides: 25
Download presentation
Primordial Non-Gaussianity in Multi-Scalar ar. Xiv: 0705. 3178 Slow-Roll Inflation In collaboration with 横山氏

Primordial Non-Gaussianity in Multi-Scalar ar. Xiv: 0705. 3178 Slow-Roll Inflation In collaboration with 横山氏 & 田中氏@京都大学 須山 輝明 (東京大学宇宙線研究所)

Super horizon scale での曲率揺らぎの発展 Separate universe approach Local expansion から (e. g. , Sasaki&Stewart,

Super horizon scale での曲率揺らぎの発展 Separate universe approach Local expansion から (e. g. , Sasaki&Stewart, 96) = expansion of the unperturbed universe までのe-folding number Friedmann宇宙 曲率揺らぎ の相関関数が分かれば、 の相関関数が分かる Friedmann宇宙

in Multi-scalar slow-roll inflation • Slow-roll 条件 を仮定 での曲率揺らぎ Slow-roll 条件のもとでは、 は非常に良い精度でGaussian (Seery&Lidsey, 2005)

in Multi-scalar slow-roll inflation • Slow-roll 条件 を仮定 での曲率揺らぎ Slow-roll 条件のもとでは、 は非常に良い精度でGaussian (Seery&Lidsey, 2005) Leading orderでは (Lyth&Rodriguez, 2005)

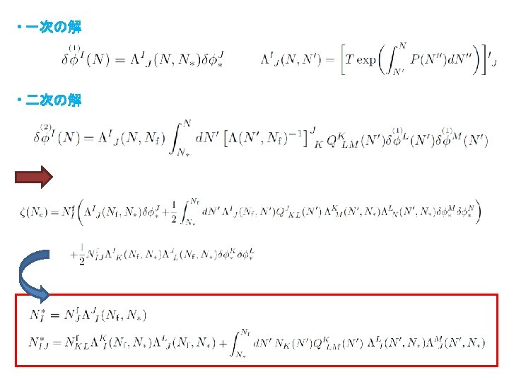
Analytic formula for the non-linear parameter と と展開 を求める

Analytic formula for the non-linear parameter と と展開 を求める