PRIMITIVA DI UNA FUNZIONE O INTEGRALE INDEFINITO 1

  • Slides: 18
Download presentation
PRIMITIVA DI UNA FUNZIONE O INTEGRALE INDEFINITO 1. DEFINIZIONE DI PRIMITIVA DI UNA FUNZIONE

PRIMITIVA DI UNA FUNZIONE O INTEGRALE INDEFINITO 1. DEFINIZIONE DI PRIMITIVA DI UNA FUNZIONE 2. L'INSIEME INFINITO DELLE PRIMITIVE 3. INTEGRALI INDEFINITI IMMEDIATI E FONDAMENTALI 4. PROPRIETA' DI LINEARITA' DELL'INTEGRALE INDEFINITO 5. ALCUNI IMPORTANTI METODI DI INTEGRAZIONE a. Integrazione per sostituzione b. metodo “per parti” c. Integrazione delle funzioni razionali fratte 1

1. DEFINIZIONE DI PRIMITIVA DI UNA FUNZIONE Definizione: data una funzione f(x), definita in

1. DEFINIZIONE DI PRIMITIVA DI UNA FUNZIONE Definizione: data una funzione f(x), definita in un intervallo I R, diciamo che una funzione F(x) definita pure in I, è primitiva della funzione f(x) sull'intervallo I, se F(x) è derivabile in I, con F'(x) = f(x) , x I e si scrive: Si legge: integrale indefinito della f(x) in dx ; f(x) è la funzione integranda e dx è il differenziale della variabile indipendente x. 2

2. L'INSIEME INFINITO DELLE PRIMITIVE Teorema : se F(x) e G(x) sono due primitive

2. L'INSIEME INFINITO DELLE PRIMITIVE Teorema : se F(x) e G(x) sono due primitive di f(x) sull'intervallo I, allora esiste una costante c R tale che F(x) = G(x) + c x ( F(x) - G(x) = c ). Teorema: una funzione f(x) continua nell'intervallo I, ammette primitiva in tale intervallo. 3

3. INTEGRALI INDEFINITI IMMEDIATI E FONDAMENTALI 4

3. INTEGRALI INDEFINITI IMMEDIATI E FONDAMENTALI 4

4. PROPRIETA' DI LINEARITA' DELL'INTEGRALE DEFINITO 5

4. PROPRIETA' DI LINEARITA' DELL'INTEGRALE DEFINITO 5

5. a INTEGRAZIONE PER SOSTITUZIONE 1° CASO 6

5. a INTEGRAZIONE PER SOSTITUZIONE 1° CASO 6

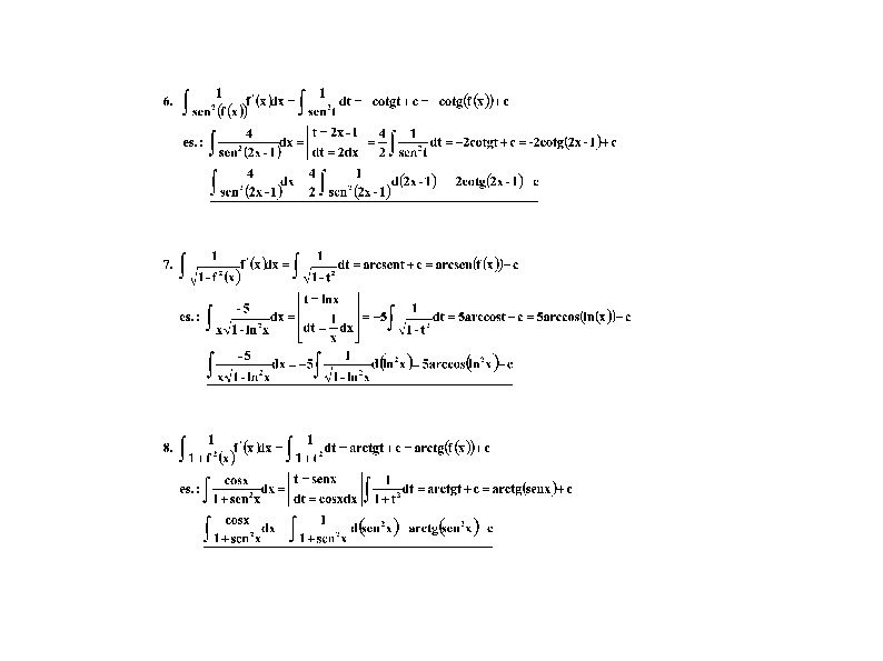
7

7

INTEGRAZIONE PER SOSTITUZIONE 2° CASO 9

INTEGRAZIONE PER SOSTITUZIONE 2° CASO 9

10

10

INTEGRAZIONE PER SOSTITUZIONE 3° CASO 11

INTEGRAZIONE PER SOSTITUZIONE 3° CASO 11

5. b INTEGRAZIONE PER PARTI 12

5. b INTEGRAZIONE PER PARTI 12

13

13

5. c INTEGRAZIONE DELLE FUNZIONI RAZIONALI FRATTE 14

5. c INTEGRAZIONE DELLE FUNZIONI RAZIONALI FRATTE 14

15

15

16

16

17

17

18

18