PRESIUNEA De ce taie cuitul De ce este









- Slides: 9
PRESIUNEA De ce taie cuţitul? De ce este ascuţit cuiul? De ce numai vârful creionului înţeapă dacă îl apăsam între mâini? De ce eschimoşii poartă tălpici de zăpadă? Efectul de tăiere, de pătrundere a cuiului, de scufundare a omului în zăpadă sunt măsurabile şi determină o mărime fizică numită PRESIUNE.
1. Presiunea depinde direct proporţionl de valoarea forţei. 2. Presiunea depinde invers proporţional de aria suprafeţei de contact. 1) 2) => => DEFINIŢIE: Presiunea este o mărime fizică scalară, egală cu raportul dintre valoarea forţei şi aria suprafeţei pe care forţa se exercită perpendicular. Aparatul de măsura este MANOMETRUL.
Exemplu: a) forţa este perpendiculară pe suprafaţa de sprijin G unde: m=masa corpului g=9, 8 N/kg=acceleraţie grvitaţională S=aria suprafeţei de sprijin b) forţa nu este perpendiculară pe suprafaţa de sprijin GT GN G
PROBLEME REZOLVATE 1. O cărămidă cu laturile L=20 cm, l=10 cm, h=5 cm şi masa de 2 kg este asezată pe un suport orizontal. Să se determine presiunea exercitată de cărămidă asupra suportului în toate pozitiile.
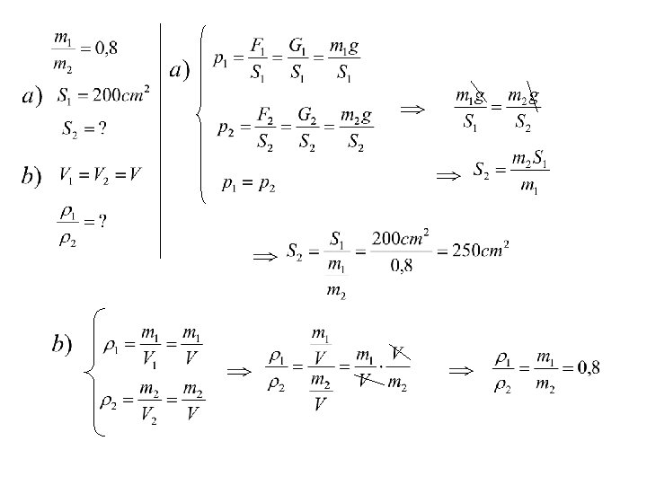
2. Suprafaţa vârfului unui ac este de 0, 0000001 m 2. Ştiind că mâna omului actionează asupra lui cu o forţa de 19, 6 N, să se calculeze presiunea exercitată de vârful acului. 4. Raportul maselor a două corpuri este m 1/m 2=0, 8. Aşezate pe acelaşi suport , exercită aceiaşi presiune. Se cere: a) aria suprafeţei de sprijin a celui de-al doilea corp, dacă primul are aria A 1=200 cm 2; b) raportul densităţilor celor două corpuri , dacă volumele lor sunt egale.
3. O ladă este aşezată pe o masă orizontală şi exercită asupra ei o presiune de 2000 Pa. Treptat, masa este înclinată şi se constată că lada alunecă cu viteză constantă atunci când unghiul de înclinare α=300. Se cere: a) presiunea exercitată de ladă când alunecă cu viteza v=constant b) coeficientul de frecare dintre ladă şi masă. FF GT GN G
PROBLEME PROPUSE PENTRU REZOLVARE 1. O masă are lungimea L=1, 2 m, lăţimea l=60 cm, greutatea G=216 N şi se sprijină pe patru picioare identice. Fiecare picior are o secţiune transversală un patrat cu latura l 1=5 cm. Aflaţi: a) presiunea exercitată de masă pe o suprafaţă orizontală; b) variaţia presiunii asupra aceleiaşi suprafeţe, dacă masa este întoarsă invers. R: p=21, 6 k. Pa; p 1=21, 3 k. Pa 2. Un schior cântăreşte 78, 5 kg. Schiurile sale au L=1, 73 m şi l=10 cm, cântărind 4 kg, fiecare. Să se calculeze presiunea exercitată de către schior pe fiecare dintre cele trei porţiuni ale pârtiei, cu înclinaţii diferite, ca în figura alăturată. (g=10 N/kg) R: p 1=2662, 5 Pa; p 2=1250 Pa; p=2500 Pa
3. Pe o suprafaţă dreptunghiulară cu lungimea de 0, 4 m, acţionează o forţă de 9800 N. Această forţă , acţionând asuprafeţei, dă naştere unei presiuni de 98000 N/m 2. Să se calculeze lăţimea suprafeţei. R: l=0, 25 m 4. Un cilindru de fier având inălţimea h=0, 05 m este aşezat pe un suport orizontal. Să se calculeze presiunea exercitată de cilindru pe acest suport, ştiind că densitatea fierului este ρ=7600 kg/m 3. R: p=3724 Pa 6. Un paralelipiped exercită pe o suprafaţă orizontală presiunile p, 3 p, 6 p, în funcţie de felul cum este asezat. Determinaţi relaţiile de legătură dintre dimensiunile paralelipipedului. R; L=3 l=6 h