Prediabetul Diabetul zaharat tip 2 ntrebri i rspunsuri
Prediabetul – Diabetul zaharat tip 2 întrebări și răspunsuri pentru medicii de familie Zinaida Alexa Șef secție Endocrinologie SCR asistent universitar, d. m. Catedra Endocrinologie
280. 000 30% atac cardiace stenturi la DZ 2 -4 x 2 -3 x cresc riscul CV rata mortalității DIABET ZAHARAT 60% CREȘTE deces PCV complicații vasculare 1 din 2 pacienți DZ tip 2 nediagnosticat
Dinamica numărului de pacienți cu diabet în Republica Moldova 79995 43573 45845 2006 49080 51951 2007 2008 55023 2009 60936 2010 67363 2011 83884 90392 71588 2012 2013 2014 2015 Nu trebuie să-ți fie frică de nimic în viață. Trebuie doar să înțelegi. Marie Curie
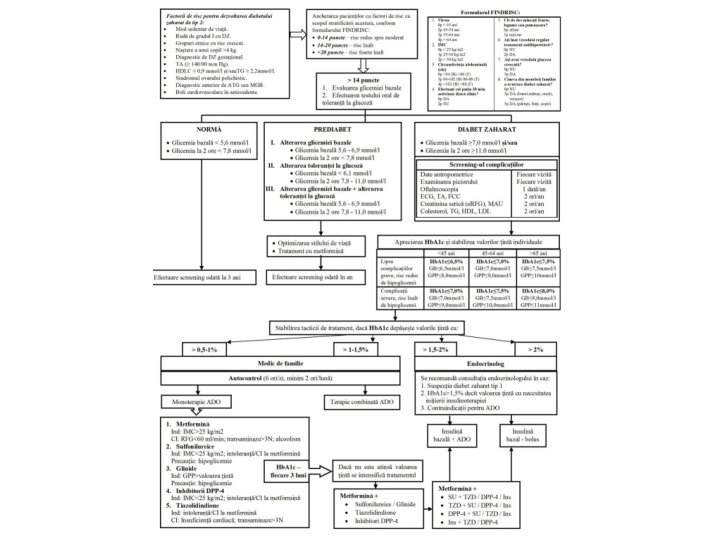
Factorii de risc pentru diabetul zaharat tip 2 §Persoane cu IMC ≥ 25 kg/m 2 , Mod sedentar de viaţă §Rudă de gradul I cu DZ §Grupuri etnice cu risc crescut §Naşterea unui copil >4 kg sau diabet gestațional în anamnestic §HTA (≥ 140/90 mm /Hg) §HDLcolesterol≤ 0, 9 mmol/l şi/sau TG ≥ 2, 8 mmol/l § Sindromul ovarului polichistic §Anterior - ATG , AGB sau Hb. A 1 c ≥ 5, 7% §Boli cardiovasculare în antecedente Conform Programului Unic – se efectuază glicemia bazală (a jeun) ÎNTREBARE? Este suficient – să apreciem doar glicemia bazală?
Evoluția diabetului de tip 2 Glicemia postprandială Glicemia bazală Glicemia mmol/l GPP – 11, 1 mmol/l GB - 7 mmol/l Insulinorezistența Complicații microvasculare Complicații macrovasculare -10 -5 0 5 10 Secreția de insulină ani IMPORTANT!!! De apreciat glicemia peste 2 ore în TOTG Adapted from type 2 diabetes BASICS: International Diabetes Center 2000
MIHAI 46 ani, contabil CA- 90 cm IMC – 23 kg/m 2 TA- 120/80 mm. Hg Tata – DZ 2 Mod sedentar PETRU 53 ani, sofer CA- 120 cm IMC – 36 kg/m 2 TA- 150/90 mm. Hg Tata – DZ 2 Mod sedentar GLICEMIA – 5, 6 mmol/l ION 55 ani, profesor CA- 100 cm IMC – 32 kg/m 2 TA- 140/90 mm. Hg Practica sportul
MIHAI 46 ani, contabil CA- 90 cm IMC – 23 kg/m 2 TA- 120/80 mm. Hg Matusa – DZ 2 Mod sedentar PETRU 53 ani, sofer CA- 120 cm IMC – 36 kg/m 2 TA- 150/90 mm. Hg Tata – DZ 2 Mod sedentar ION 58 ani, profesor CA- 100 cm IMC – 32 kg/m 2 TA- 140/90 mm. Hg Practica sportul 7 p 15 p 10 p Testul de toleranță la glucoză – la persoanele cu risc înalt și foarte înalt (>14 p)
MIHAI 46 ani, contabil CA- 90 cm IMC – 23 kg/m 2 TA- 120/80 mm. Hg Matusa – DZ 2 Mod sedentar • Optimizarea stilului de viață • Intervenții scurte (factorii de risc, stil de viață, diabet zaharat) • Revaluarea riscului o dată la 3 ani 7 p ION 58 ani, profesor CA- 100 cm IMC – 32 kg/m 2 TA- 140/90 mm. Hg Practica sportul 10 p Asistenta Medicală
PETRU 53 ani, sofer CA- 120 cm IMC – 36 kg/m 2 TA- 150/90 mm. Hg Tata – DZ 2 Mod sedentar 15 p Testul de toleranță la glucoză – la persoanele cu risc înalt și foarte înalt (>14 p)
Testul oral de toleranţă la glucoză (TOTG) • Testul se efectuează dimineaţa între 7. 30 şi 10. 00. • Repaosul nocturn şi alimentar - cel puţin 10 ore (se poate consuma apă). • 3 zile precedente testului - aport de cel puţin 150 gr glucide. • abţinerea de la fumat înainte şi în timpul testului. • Se administrează 75 g glucoză anhidrat dizolvată în 300 ml apă, care trebuie consumată în cel mult 3 minute. • Se fac recoltările de sânge înaintea administrării glucozei şi la 2 ore după aceea în poziție șezândă.
Interpretatea TOTG Glicemia bazală 6, 1 7, 0 DIABET ZAHARAT AG AGB + ATG G AT Glicemia 2 ore TOTG B NORMAL PREDIABET ZAHARAT NORMAL mmol/l 7, 8 11, 1
Criteriile de diagnostic ale prediabetului 5, 6 6, 9 7, 8 11, 0 5, 7 6, 4 Glicemia bazală Glicemia 2 ore TOTG Hb. A 1 c (4 -6%) Normal Pre-diabet Diabet zaharat American Diabetes Association. Standards of medical care in diabetes— 2015. Diabetes Care. 2015; 38(suppl 1): S 1 -S 93.
PETRU 53 ani, sofer CA- 120 cm IMC – 36 kg/m 2 TA- 150/90 mm. Hg Tata – DZ 2 Mod sedentar 15 p Testul de toleranță la glucoză – GB – 6, 2 mmol/l, G 2 ore – 8. 7 mmol/l PREDIABET TOTG – o dată în an
Noțiuni: diabet și pre-diabet Pre-diabet defineşte o tulburare a metabolismului glucidic - caracterizată prin majorarea valorilor glicemice peste limitele valorilor de referință normale însă mai reduse decât pentru diabet. Scott M. , Grundy M. Journal of the American College of Cardiology 2012, Vol. 59, No. 7,
PRE-DIABET: Prevenirea diabetului zaharat Dieta Informarea Previne Exercițiu fizic diabetul Monitorizare Metformina
Criterii de diagnostic ale DZ (recomandările grupului de experţi ADA 2010) Hb. A 1 c ≥ 6, 5% SAU Glicemia bazală (à jeun) > 7, 0 mmol/l SAU Glicemia după 2 ore ≥ 11, 1 mmol/l în TOTG SAU Simptome de hiperglicemie şi o glicemie, în orice moment al zilei > 11, 1 mmol/l
Managementul pacientului cu hiperglicemie primar depistată • Confirmăm tipul dereglărilor metabolismului glucidic: – Diabet zaharat – Alterarea toleranței la glucoză – Alterarea glicemiei bazale • Apreciem tipul diabetului zaharat: – DZ tip 1 – DZ tip 2 – Alte tipuri de diabet – Diabet gestațional
DIABET ZAHARAT Tip 1? ? ? Pacient 43 ani IMC = 23 kg/m 2 Tip 2 • Pacientă 28 ani • IMC = 36 kg/m 2 • Acuze nu prezintă Acuze: poliurie, polidipsie, pierdere ponderala 10 kg Glicemia = 14 mmol/l Hb. A 1 C = 10% ENDOCRINOLOG � Glicemia ocazional depistată 7, 8 mmol/l � HBA 1 c – 7, 3% MEDIC DE FAMILIE – inițiem tratamentul
Femeia insarcinata la prima vizita • • 23 ani IMC – 23 kg/m 2 Anamnestic neagravat I sarcina Glucoza 4, 8 mmol/l • • 35 ani IMC – 32 kg/m 2 Mama – DZ 2 III sarcina – I copil 4500 gr, II avort spontan Glucoza 5, 4 mmol/l ACȚIUNILE !!!
Sarcină 24 -28 săptămâni Existența factorilor de risc – screening-ul la prima vizită prenatală TOTG cu 75 g glucoză anhidrat - testarea GB (a jeun), 1 h şi 2 h GB ≥ 5, 1 mmol/l 1 h ≥ 10, 0 mmol/l 2 h ≥ 8, 5 mmol/l Cel puțin 1 valoare pozitivă Diabet gestațional
Managementul pacientului cu hiperglicemie primar depistată • Confirmăm tipul dereglărilor metabolismului glucidic: – Diabet zaharat – Alterarea toleranței la glucoză – Alterarea glicemiei bazale • Apreciem tipul diabetului zaharat: – DZ tip 1 – DZ tip 2 – Alte tipuri de diabet – Diabet gestațional • Identificăm ținta terapeutică individuală
Primul PAS in tratamentul pacientului cu diabet (tip 1 sau tip 2) • Alegerea valorilor țintă individualizate ale : – Hb. A 1 c – GB și – GPP • Selectarea terapiei necesare First the target; then the strategy
Individualizarea țintelor Hb. A 1 c Stringente Hb. A 1 c 7% Mai puțin stringente Managementul hiperglicemiei Hipoglicemia Inalt Durata bolii Nou diagnosticat De durată Speranta de viată Lungă Short MODIFICABILI Redus Comorbidități Absente Unice Severe Complicatii vasculare Motivat Nemotivat Resurse Prezente AE, adverse event; CV, cardiovascular Adapted from Inzucchi et al. Diabetes Care 2015; 38: 140– 9 Limitate NEMODIFICABILI Atitudinea pacientului
Valorile țintă pentru parametrii metabolismului glucidic < 45 ani 45 -64 ani >65 ani Lipsa complicațiilor Hb. A 1 c ≤ 6, 5 Hb. A 1 c ≤ 7, 0 Hb. A 1 c ≤ 7, 5 grave, GB ≤ 6, 5 GB ≤ 7, 0 GB ≤ 7, 5 risc redus de GPP ≤ 8, 0 GPP ≤ 9, 0 GPP ≤ 10, 0 hipoglicemii Complicații severe, risc înalt de hipoglicemii Hb. A 1 c ≤ 7, 0 Hb. A 1 c ≤ 7, 5 Hb. A 1 c ≤ 8, 0 GB ≤ 7, 5 GB ≤ 8, 0 GPP ≤ 9, 0 GPP ≤ 10, 0 GPP ≤ 11, 0
Strategia inițierii terapiei individualizate în DZ 2 Hb. A 1 c, % 6, 5 – 7, 5 (> cu 0, 5 -1%) 7, 5 -8, 5 (> cu 1 -2%) 8, 5 -9, 0 (> cu 2 -2, 5%) ≥ 9. 0 (> cu 2, 5%) Monoterapie AD Terapie AD combinată IB + AD Bazal-bolus ENDOCRINOLOG: • Hb. A 1 c > cu 2% decât valoarea țintă • Suspecție DZ 1 • Ineficiența sau contraindicații pentru ADO
Managementul pacientului cu hiperglicemie primar depistată • Confirmăm tipul dereglărilor metabolismului glucidic: – Diabet zaharat – Alterarea toleranței la glucoză – Alterarea glicemiei bazale • Apreciem tipul diabetului zaharat: – DZ tip 1 – DZ tip 2 – Alte tipuri de diabet – Diabet gestațional • Identificăm ținta terapeutică individuală • Selectam schema de tratament
1988 Islet b-cell Impaired Insulin Secretion Increased HGP Decreased Glucose Uptake De. Fronzo RA. Lilly Lecture: The triumvirate: β-cell, muscle, liver: a collusion responsible for NIDDM. Diabetes 1988; 37: 667– 687, De Fronzo. RA. Diabetes 2009
2009 Islet b-cell Decreased Incretin Effect Increased Lipolysis Impaired Insulin Secretion Islet a-cell Increased Glucose Reabsorption Increased Glucagon Secretion Increased HGP Neurotransmitter Dysfunction Decreased Glucose. Uptake De. Fronzo RA. Lilly Lecture: The triumvirate: β-cell, muscle, liver: a collusion responsible for NIDDM. Diabetes 1988; 37: 667– 687, De Fronzo. RA. Diabetes 2009
Locul de acțiune al antidiabeticelor Stimulează secreția insulinei b-celule Sulfanilureice Incretine Glinide • Inhibitorii α-glucozidazei • Sechestranții acizilor biliari • Amilina Tractul GI Incretine Lipotoxicitatea Tiazolidindione Scad secreția de glucagon a-celule HIPERGLICEMIE Incretine Scad reabsorbția glucozei SGLT 2 inhibitori Amilina Inhibă Gluconeogeneza Metformina Tiazolidindione Controlul apetitului Incretine Amilina Agoniștii dopainei Cresc utilizarea glucozei Metformina Tiazolidindione
Diversitatea remediilor hipoglicemiante Eficacitate ↓ Hb. A 1 c Greutate Reacții adverse Cost Biguanide 1 -2% ↓/- Reacții GI, acidoza lactică - rar redus Sulfanilureice 1 -2% ↑ Hipoglicemie redus 0, 5 -1, 5% ↑/- Hipoglicemie redus 1 -1, 5% ↑ Edeme, IC înalt DPP-4 inhibitori 0, 5 -1, 5% - Risc redus hipoglicemii înalt Agoniștii GLP-1 0, 5 -2% ↓ Hipoglicemii în tratament combinat, grețuri înalt 0, 5 -0, 8% - Glinide TZD Altele înalt
Diversitatea remediilor hipoglicemiante Mecanism de acțiune Avantaje Biguanide Scad gluconeogeneza ficat Nu provoacă hipoglicemii Experiență vastă Reduc glicemia bazală Sulfanilureice Stimulează secreția insulinei Experiență vastă Reduc glicemia bazală Glinide Stimulează secreția de insulină Reduc GPP TZD Cresc sensibilitatea la insulin Nu provoacă hipoglicemii Reduc glicemia bazală DDP-4 inhibitori • Stimulează secreția insulinei glucozodependente • Scad secreția de glucagon Nu provoacă hipoglicemii Reduc GB și GPP
Strategia inițierii terapiei individualizate în DZ 2 medicul de familie Hb. A 1 c, % 6, 5 – 7, 5 (> cu 0, 5 -1%) 7, 5 -8, 5 (> cu 1 -2%) Monoterapie AD Terapie AD combinată
Etapele terapiei hipoglicemiante (ADO, insulin) Inițierea Titrarea Intensificarea
Hb. A 1 c ↑ cu 0, 5 -1, 0% - monoterapie Optimizarea stilului de viață Individualizarea țintelor terapeutice Control Hb. A 1 c o dată la 3 luni Intensificarea terapiei la 6 luni Inițierea, titrarea MONOTERAPIE Metformin, DPP 4, SU 3 luni Initensificare ↓ Hb. A 1 c ≥ 0, 5, sau ținta atinsă Continuarea terapiei ↓ Hb. A 1 c ≤ 0, 5, sau ținta nu e atinsă Terapie combinată 2 preparate Terapie combinată 3 preparate
Eficiența terapiei antidiabetice este controlată prin aprecierea nivelului de Hb. A 1 c la fiecare 3 luni. Autocontrolul diabetului - prin aprecierea glicemiilor înainte și 2 ore după fiecare masă pentru selectarea corectă a antidiabeticelor
Gluco-fenotipul Pentada glicemică – asocierea cu riscul CV Hb. A 1 c GB coreleaza puternic cu mortalitatea CV 2 GB Amplituda medie a excursiilor glicemice (MAGE - Mean Amplitude of Glycemic Excursions) prezice dezvoltarea complicațiilor 4 Riscul CV crește cu 18% pentru fiecare 1% al Hb. A 1 c 1 Fiecare componentă – asociată cu morbiditatea sau mortalitatea CV Variabilitatea glicemică GPP este factor de risc independent pentru PCV 2, 3 Hipoglicemia crește cu 79% riscul evenimentelor CV acute 5 Hipoglicemia 1. Selvin E, et al. Ann Intern Med. 2004 ; 141(6): 421 -31. 2. Einarson et al. Curr Med Res Opin 2011; 27: 1– 9. 3. Cavalot et al. J Clin Endocrinol Metab 2006; 91: 813– 9 4. Su et al. Cardiovascular Diabetology 2011, 10: 19 5. Johnston et al. Diabetes Care 2011; 34: 1164– 70
Monoterapia cu Metformin • Inițierea terapiei cu doze mici – 1 x 500 mg, 2 x 500 mg sau 1 x 850 mg • Administrare în timpul meselor sau imediat după masă • Titrarea - Dacă după 5 -7 zile nu apar reacții adverse digestive, doza se crește treptat până la doza maximă 2000 -2500 mg (2 x 1000 mg sau 3 x 850 mg)
Administrarea Metforminei este limitată la persoanele cu: ü dereglarea funcţiei renale: ü FG< 60 ml/min; creatinina >130 mcmol/l ü patologii acute sau cronice care se manifestă prin hipoxie: ü insuficienţa cardiacă – fracţia de ejecţie < 40%; ü insuficienţa respiratorie; ü infarctul miocardic acut; AVC recent, ü dereglarea funcţiei hepatice: ü majorarea valorilor transaminazelor de 3 ori de la indicii normali; ü alcoolism şi prezenţa lactacidozei în anamneză. ü Investigații radiologice cu substanțe de contrast iodate
Monoterapia cu SU - terapia • INIȚIEREA cu doza minimă – cu monitorizarea glicemiei bazale și apoi și a celei postprandiale (2 ore după masă); • Adaptarea ulterioară se face la interval de 1 -4 săptămâni, prin creșteri succesive, până la obținerea țintelor; • Se recomandă ca doza de menținere să nu depășească 2/3 din cea maximă (este susținută pe fenomenul de desensibilizare a receptorilor pentru SU).
Derivații de Sulfaniluree – bine cunoscut Denumire Denumiri Doza , mg comună comerciale internaționa lă Glibenclamida Maninil Durata de Doza acțiune, ore zilnică, mg 1, 75, 3, 5, 5 20 - 24 Glipizida Glucotrol XL 5, 10 16 - 24 5 -20 Gliquidona Glurenorm 30 5 -8 15 - 120 Patologie renală FG 30 ml/min Gliclazida Gliclada Diaprel MR 30, 60 60 24 ore 30 -120 Patologia renală FG 45 ml/min Glimepirid Amaril Oltar 1, 2, 3, 4 12 -24 1 -6 Persoanele cu obezitate
Inhibitorii DPP 4 – Sitagliptina, Vildagliptina • Preparat de linia II la persoanele obeze, sau de I linie la normoponederali sau la cei la care metformina nu poate fi administrată; • Mod de administrare: 100 mg în zi cu sau fără alimente; • Reacţii adverse: rinofaringite, tulburări gastrointestinale; • Atenţie +persoanele cu pancreatită acută Avantaj: • scade glicemia postprandială, • nu produce hipoglicemii, • greutatea ↔ • păstrarea celulei β Dezavantaj Prețul înalt/nu este compensat
Hb. A 1 c ↑ cu 1 -2 % - biterapie Optimizarea stilului de viață Individualizarea țintelor terapeutice Control Hb. A 1 c o dată la 3 luni Intensificarea terapiei la 6 luni Inițierea, titrare 3 luni Initensificare ↓ Hb. A 1 c ≥ 0, 5, sau ținta atinsă Continuarea terapiei ↓ Hb. A 1 c ≤ 0, 5, sau ținta nu e atinsă Terapie combinată 2 preparate Terapie combinată ADO + insulin Combinație a două preparate
Terapia combinată Avantajul terapiei combinate: • ameliorarea controlului glicemic; • intervenția unor mecanisme complementare de acțiune; • folosirea unor doze mai mici din fiecare medicament cu • reducerea efectelor adverse Etapele asocierii: • Medicamentul inițial va fi păstrat în doze maxime tolerate; • Al doilea medicament se asociază în doze mici, progresiv crescânde,
Contribuția valorilor GB și GPP pentru Hb. A 1 C 100 80 (%) 60 40 20 0 <7. 3 GB – glicemia bazală 7. 3– 8. 4 8. 5– 9. 2 A 1 C (%) 9. 3– 10. 2 >10. 2 GPP – glicemia postprandială Monnier L et al. Diabetes Care. 2003; 26: 881 -5.
Glinidele - repaglinida • De regulă sunt preparate de linia II • Administrate inaintea meselor care produc hiperglicemii postprandiale Glicemia 8. 00 10. 00 13. 00 17. 00 19. 00 21. 00 6, 5 7. 9 6, 8 10, 9 7, 5 9. 0 1 dată în zi la 13. 00 Glicemia 8. 00 10. 00 13. 00 17. 00 19. 00 21. 00 6, 5 11, 3 6, 8 10, 9 7, 5 12, 0 1 tab de 3 ori pe zi dată în zi la 13. 00
Beneficiile asocierilor hipoglicemiantelor Asociere Beneficii Eșec Met + GLP 1 analog Scăderea greutății Evitarea hipoglicemiilor Cost inalt Met + i. DPP 4 Control glicemic superior Evitarea hipoglicemiilor Neutru pentru greutate corporală Costul inalt Met + Pioglitazon Reduc IR în special postprandială reducerea glicemiilor Costul relativ mare Met + SU Reducere Hb. A 1 c Costul redus Risc hipoglicemii
Diabet zaharat de tip 2 METFORMIN + DPP 4 / SU sau + SU /DPP 4 DPP-4/ SULFANILUREICE + METFORMIN / DPP 4
Screeningul complicațiilor la momentul diagnosticului diabetului zaharat Retinopatia Consultația oftalmolog Nefropatia Creatinina, calcularea RFG, 1 dată în an* Microalbuminuria PCV LDL colesterol, non-HDlcolesterol 1 dată în an* Piciorul diabetic ** Examinarea piciorului: • Deformările prezente • Pulsația • sensibilitatea Fiecare vizită • In caz de modificări evaluări mai frecvente ** examinări efectuate de asistenta medicală 1 dată în an*
Concluzii • Inițiem terapia cu SIOFOR – Prediabet • DZ 2 – selectăm ținta terapeutică și inițiem terapia – DZ 2+ obezitate – SIOFOR cu titrarea dozelor – DZ 2 – normoponderali – SU-Siofor • Controlul glicemiilor înainte de mesele de bază • Evaluarea Hb. A 1 c la fiecare 3 luni • Hb. A 1 c aproape de valoarea țintă – apreciați GPP (glicemia postprandială) • Hb. A 1 c cu 2% mai mult ca valoarea țintă – trimitem la endocrinolog
Diabet zaharat
MULȚUMESC PENTRU ATENȚIE!
- Slides: 54