Pre Calculus M 117 A z Contemporary Precalculus












- Slides: 12
Pre. Calculus M 117 A z. Contemporary Precalculus, 3 rd edtion y- Thomas W. Hungerford z. Br. Joel Baumeyer, F. S. C. z. Christian Brothers University
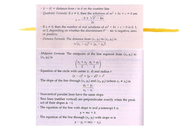
Distance Formula z. The distance between points (x 1, y 1) and (x 2, y 2) is: z. The equation of a circle is: where (h, k) is the center and r is the radius.
Basic Principles for Solving Equations z. If the product of two real numbers is zero, then at least one of them is zero, i. e. if a b = 0, either a, b or both are zero. z. Linear: ax + b = c y. Get the variable by itself on one side of the equation by x 1. Add or subtracct the same quantity from both sides of the equation x 2. Multiply or divide both sides of the equation by the same non-zero quantity
Basic Principles for Solving Equations (con’d) z. Quadratic: ax 2 + bx + c = 0 y. Get the equation into the form above. y. Then
Steps in Solving Word Problems
Working Definition of Function: H = f(t) n n n A function is a rule (equation) which assigns to each element of the domain (x value or independent variable) one and only one element of the range (y value or dependent variable). Domain is the set of all possible values of the independent variable (x). Range is the corresponding set of values of the dependent variable (y).
General Types of Functions(Examples): n n n Linear: y = m(x) + b; proportion: y = kx Polynomial: Quadratic: y =x 2 ; Cubic: y= x 3 ; etc Power Functions: y = kxp Trigonometric: y = sin x, y = Arctan x Exponential: y = aebx ; Logarithmic: y = ln x
Graph of a Function: n The graph of a function is all the points in the Cartesian plane whose coordinates make the rule (equation) of the function a true statement.
Slope z m - slope : b: y-intercept z a: x-intercept z.
5 Forms of the Linear Equation z Slope-intercept: y = f(x) = b + mx z Slope-point: z Two intercept: z General Form: Ax + By = C
Basic Facts for Straight Lines and Their Slopes z. If two lines have the same slope, they are parallel; i. e. m 1 = m 2 z. Two lines are perpendicular if the product of their slopes is -1; i. e. m 1 m 2 = -1 z. A horizontal line has a slope of 0 and has an equation of the form: y = b. z. A vertical line has an undefined slope and an equation of the form: x = c.