Polynomials Sum Multiplying Factoring Differences Exponents Products Exponents

  • Slides: 51
Download presentation
Polynomials: Sum & Multiplying Factoring Differences Exponents: Products Exponents: Quotients 100 100 100 200

Polynomials: Sum & Multiplying Factoring Differences Exponents: Products Exponents: Quotients 100 100 100 200 200 200 300 300 300 400 400 400 500 500 500

Simplify

Simplify

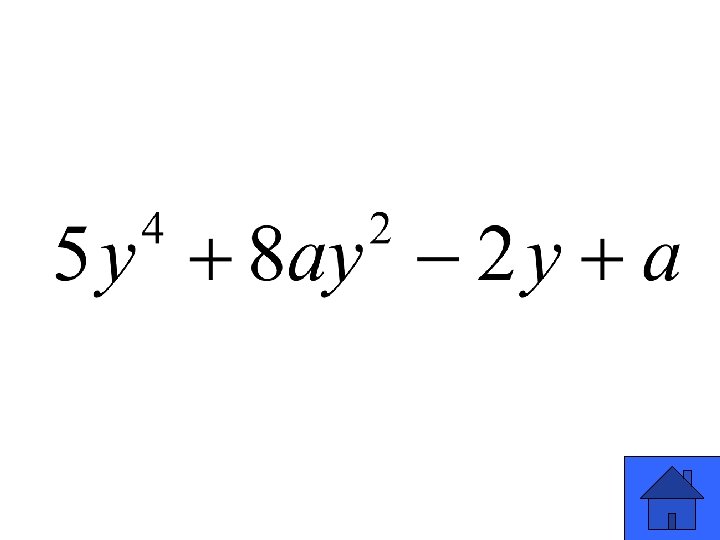
Simplify:

Simplify:

For all real numbers m and n, which of the following statements is always

For all real numbers m and n, which of the following statements is always true? A) B) C) D)

B

B

The length of a rectangle is The width of the rectangle is What is

The length of a rectangle is The width of the rectangle is What is the area in simplified form?

Prove or disprove the following statement: 2 (xy) = 2 xy

Prove or disprove the following statement: 2 (xy) = 2 xy

Answers May Vary

Answers May Vary

Simplify

Simplify

Simplify:

Simplify:

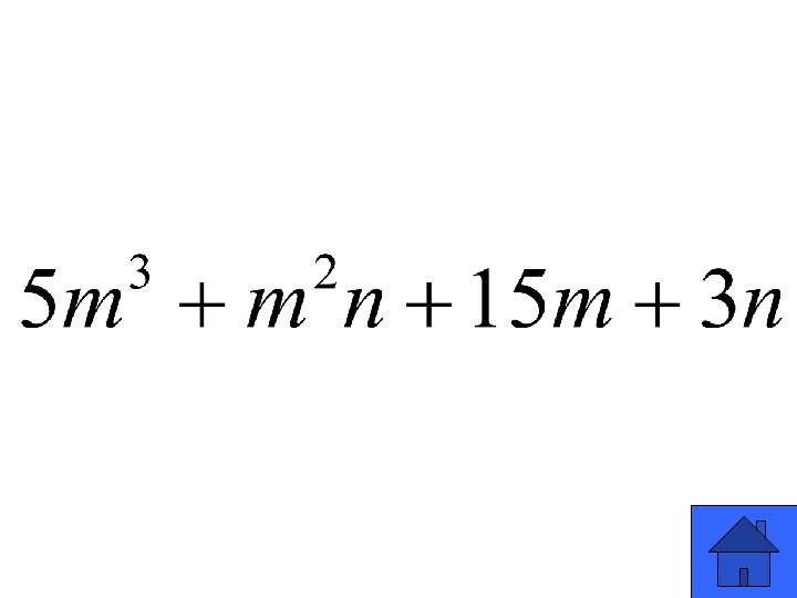
Simplify

Simplify

The area of a rectangle is: The width is: What is the length?

The area of a rectangle is: The width is: What is the length?

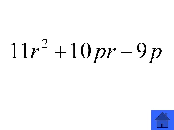
Simplify

Simplify

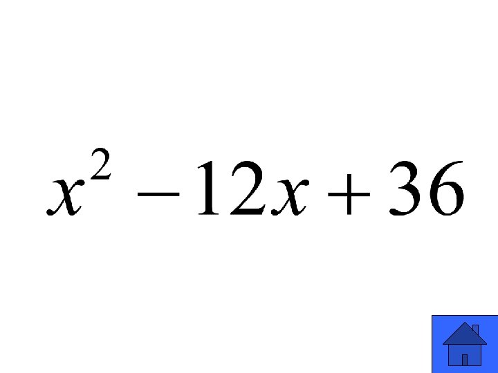
Simplify

Simplify

Simplify

Simplify

Simplify

Simplify

Darnell and Stephanie have competing refreshment stand businesses. Darnell’s profit can be modeled with

Darnell and Stephanie have competing refreshment stand businesses. Darnell’s profit can be modeled with the polynomial , where c is the number of items sold. Stephanie’s profit can be modeled with the polynomial. Write a polynomial that represents the difference between Stephanie’s profit and Darnell’s profit.

Simplify

Simplify

Simplify

Simplify

Simplify

Simplify

Simplify

Simplify

Simplify 2 (x +y)(x+y+z)

Simplify 2 (x +y)(x+y+z)

What is the greatest common factor of…

What is the greatest common factor of…

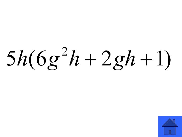
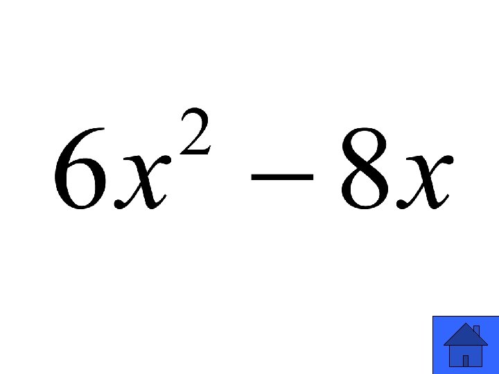
Factor the polynomial using the GCF.

Factor the polynomial using the GCF.

Factor the polynomial into a product of two binomials.

Factor the polynomial into a product of two binomials.

Factor the polynomial into a product of two binomials.

Factor the polynomial into a product of two binomials.

Factor the polynomial into a product of two binomials.

Factor the polynomial into a product of two binomials.

Cannot be factored!!

Cannot be factored!!