Polymorphisms in the lectin pathway of complement activation








- Slides: 8
Polymorphisms in the lectin pathway of complement activation influence the incidence of acute rejection and graft outcome after kidney transplantation Déla Golshayan, Agnieszka Wójtowicz, Stéphanie Bibert, Nitisha Pyndiah, Oriol Manuel, Isabelle Binet, Leo H. Buhler, Uyen Huynh-Do, Thomas Mueller, Jürg Steiger, Manuel Pascual, Pascal Meylan, Pierre-Yves Bochud Rita Achermann, John-David Aubert, Philippe Baumann, Guido Beldi, Christian Benden, Christoph Berger, Isabelle Binet, Pierre-Yves Bochud, Elsa Boely, Heiner Bucher, Leo Bühler, Thierry Carell, Emmanuelle Catana, Yves Chalandon, Sabina de Geest, Olivier de Rougemont, Michael Dickenmann, Michel Duchosal, Thomas Fehr, Sylvie Ferrari-Lacraz, Christian Garzoni, Yvan Gasche, Paola Gasche Soccal, Emiliano Giostra, Déla Golshayan, Daniel Good, Karine Hadaya, Christoph Hess, Sven Hillinger, Hans H. Hirsch, Günther Hofbauer, Uyen Huynh-Do, Franz Immer, Richard Klaghofer, Michael Koller, Thomas Kuntzen, Bettina Laesser, Roger Lehmann, Christian Lovis, Oriol Manuel, Hans-Peter Marti, Pierre Yves Martin, Pascal Meylan, Paul Mohacsi, Isabelle Morard, Philippe Morel, Ulrike Mueller, Nicolas J. Mueller, Helen Mueller-Mc. Kenna, Thomas Müller, Beat Müllhaupt, David Nadal, Gayathri Nair, Manuel Pascual, Jakob Passweg, Chantal Piot Ziegler, Juliane Rick, Eddy Roosnek, Anne Rosselet, Silvia Rothlin, Frank Ruschitzka, Urs Schanz, Stefan Schaub, Christian Seiler, Nasser Semmo, Susanne Stampf, Jürg Steiger, Christian Toso, Dimitri Tsinalis, Christian Van Delden, Jean-Pierre Venetz, Jean Villard, Madeleine Wick, Markus Wilhelm, Patrick Yerly Déla Golshayan, Agnieszka Wójtowicz, Stéphanie Bibert, Nitisha Pyndiah, Oriol Manuel, Isabelle Binet, Leo H. Buhler, Uyen Huynh-Do, Thomas Mueller, Jürg Steiger, Manuel Pascual, Pascal Meylan, Pierre-Yves Bochud Rita Achermann, John. David Aubert, Philippe Baumann, Guido Beldi, Christian Benden, Christoph Berger, Isabelle Binet, Pierre-Yves Bochud, Elsa Boely, Heiner Bucher, Leo Bühler, Thierry Carell, Emmanuelle Catana, Yves Chalandon, Sabina de Geest, Olivier de Rougemont, Michael Dickenmann, Michel Duchosal, Thomas Fehr, Sylvie Ferrari-Lacraz, Christian Garzoni, Yvan Gasche, Paola Gasche Soccal, Emiliano Giostra, Déla Golshayan, Daniel Good, Karine Hadaya, Christoph Hess, Sven Hillinger, Hans H. Hirsch, Günther Hofbauer, Uyen Huynh. Do, Franz Immer, Richard Klaghofer, Michael Koller, Thomas Kuntzen, Bettina Laesser, Roger Lehmann, Christian Lovis, Oriol Manuel, Hans-Peter Marti, Pierre Yves Martin, Pascal Meylan, Paul Mohacsi, Isabelle Morard, Philippe Morel, Ulrike Mueller, Nicolas J. Mueller, Helen Mueller-Mc. Kenna, Thomas Müller, Beat Müllhaupt, David Nadal, Gayathri Nair, Manuel Pascual, Jakob Passweg, Chantal Piot Ziegler, Juliane Rick, Eddy Roosnek, Anne Rosselet, Silvia Rothlin, Frank Ruschitzka, Urs Schanz, Stefan Schaub, Christian Seiler, Nasser Semmo, Susanne Stampf, Jürg Steiger, Christian Toso, Dimitri Tsinalis, Christian Van Delden, Jean-Pierre Venetz, Jean Villard, Madeleine Wick, Markus Wilhelm, Patrick Yerly Kidney International Volume 89 Issue 4 Pages 927 -938 (April 2016) Copyright © 2016 International Society of Nephrology Terms and Conditions
Figure 1 Kidney International 2016 89927 -938 DOI: (10. 1016/j. kint. 2015. 11. 025) Copyright © 2016 International Society of Nephrology Terms and Conditions
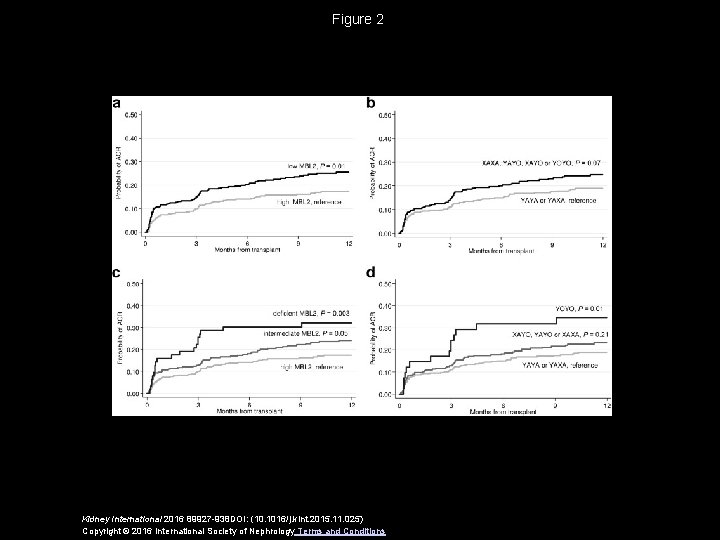
Figure 2 Kidney International 2016 89927 -938 DOI: (10. 1016/j. kint. 2015. 11. 025) Copyright © 2016 International Society of Nephrology Terms and Conditions
Figure S 1 Kidney International 2016 89927 -938 DOI: (10. 1016/j. kint. 2015. 11. 025) Copyright © 2016 International Society of Nephrology Terms and Conditions
Figure S 2 Kidney International 2016 89927 -938 DOI: (10. 1016/j. kint. 2015. 11. 025) Copyright © 2016 International Society of Nephrology Terms and Conditions
Figure S 3 Kidney International 2016 89927 -938 DOI: (10. 1016/j. kint. 2015. 11. 025) Copyright © 2016 International Society of Nephrology Terms and Conditions
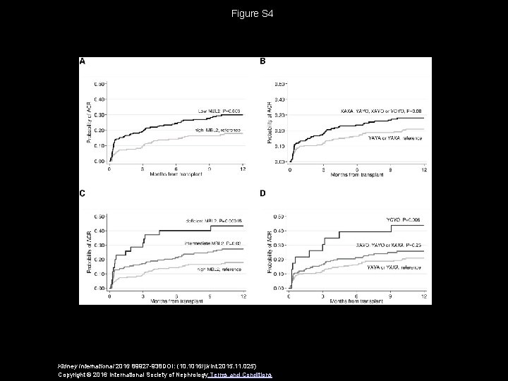
Figure S 4 Kidney International 2016 89927 -938 DOI: (10. 1016/j. kint. 2015. 11. 025) Copyright © 2016 International Society of Nephrology Terms and Conditions
Figure S 5 Kidney International 2016 89927 -938 DOI: (10. 1016/j. kint. 2015. 11. 025) Copyright © 2016 International Society of Nephrology Terms and Conditions