pn Junction Review PN junctions are fabricated from
pn Junction Review • PN junctions are fabricated from a monocrystalline piece of semiconductor with both a P-type and N-type region in proximity at a junction. • The transfer of electrons from the N side of the junction to holes annihilated on the P side of the junction produces a barrier voltage. This is 0. 6 to 0. 7 V in silicon, and varies with other semiconductors. • A forward biased PN junction conducts a current once the barrier voltage is overcome. The external applied potential forces majority carriers toward the junction where recombinetion takes place, allowing current flow. • A reverse biased PN junction conducts almost no current. The applied reverse bias attracts majority carriers away from the junction. This increases the thickness of the nonconducting depletion region. • Reverse biased PN junctions show a temperature dependent reverse leakage current. This is less than a µA in small silicon diodes. 1
N-type 2
Band Diagram: Acceptor Dopant in Semiconductor • • • For Si, add a group III element to “accept” an electron and make p-type Si (more positive “holes”). “Missing” electron results in an extra “hole”, with an acceptor energy level EA just above the valence band EV. – Holes easily formed in valence band, greatly increasing the electrical conductivity. Fermi level EF moves down towards EV. EC EF EV EA p-type Si 3
P-type 4
Conduction in p/n-type Semiconductors 5
6
PN Junction: Band Diagram • • Due to diffusion, electrons move from n to p-side and holes from p to n-side. Causes depletion zone at junction where immobile charged ion cores remain. Results in a built-in electric field (103 to 105 V/cm), which opposes further diffusion. Note: EF levels are aligned across pn junction under equilibrium. EC EF EV n-type electrons EF holes p-type pn regions in equilibrium EC EF EV –– – + + + – –– + ++–– ++ Depletion Zone 7
PN Junction: Band Diagram under Bias • Forward Bias: negative voltage on n-side promotes diffusion of electrons by decreasing built-in junction potential higher current. • Reverse Bias: positive voltage on n-side inhibits diffusion of electrons by increasing built-in junction potential lower current. Equilibrium p-type n-type Forward Bias p-type Reverse Bias p-type n-type –V e– e– +V e– 8 Majority Carriers Minority Carriers
Forward & Reverse Biased 9
PN Junction: IV Characteristics • • Current-Voltage Relationship Forward Bias: current exponentially increases. Reverse Bias: low leakage current equal to ~Io. Ability of pn junction to pass current in only one direction is known as “rectifying” behavior. Reverse Bias 10
PN Junction: IV Characteristics • Current-Voltage Relationship • • • Forward Bias: current exponentially increases. Reverse Bias: low leakage current equal to ~Io. Ability of pn junction to pass current in only one direction is known as “rectifying” behavior. 11
Doped Silicon 12
Suitable doped silicon bandgaps for detectors 13
Generation & Recombination • In intrinsic semiconductor – n = p = ni • ni is strongly temperature dependent • This is because at a give temperature – Recombination of electrons (ri)= thermal generation rate (gi) • ri = Bnp = gi (= Bni**2 for intrinsic semiconductor) 14
Diffusion 15
16
17
18
19
PN Junction 20
PN Junction 21
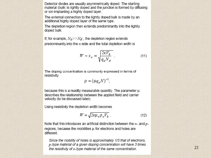
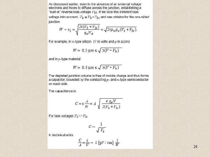
22
23
24
Steps • • PN junction is reversed biased. Shutter opened and photon enters semiconductor Interacts with lattice generates minority carrier Minority carrier diffuses till it reaches vicinity of junction Junction field drives minority carrier across junction and discharges junction capacitance At the end of some integration time measure voltage (V 2)across junction. Reset junction voltage to initial reverse bias value and measure its value (V 1). Difference in voltage is proportional to signal. ΔQ = C 1(V 1 -Vbi) * (V 1 -vbi) – C 2(V 2 -Vbi) * (V 2 -Vbi) 25
- Slides: 25