PHY 102 Waves Quanta Topic 3 Energy in















- Slides: 15
PHY 102: Waves & Quanta Topic 3 Energy in wave motion John Cockburn (j. cockburn@. . . Room E 15)
• Power transmitted in a wave • Sinusoidal wave on a string • Wave Intensity • Inverse Square Law • The decibel scale
Example Calculation One end of a 10 m-long rope is attached to a post, and pulled taut, to a tension of 140 N. If the mass of the rope is 800 g, what is the speed of transverse waves on the rope? If the free end of the rope is waggled up and down with a frequency of 1. 2 Hz, what is the wavelength of the transverse waves on the rope?
Energy in Wave Motion Waves transport energy. Examples? ? How can we quantify this? ?
Wave on a string T A Ty y Consider force in y-direction at point A on string: x
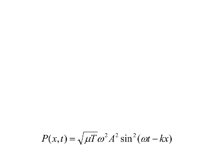
Wave on a string If a force F acts to move an object with velocity v: Rate of energy transfer (power) = F • v =Fv for F//v So for our wave on a string, P = Tyv……………. . ie Consider case for sinusoidal wave………………
Sinusoidal Wave on a string NB, for all MECHANICAL waves, Pave A 2 2
Example Calculation A piano wire with mass 3 g and length 80 cm is stretched with a tension of 25 N. A wave with frequency 120 Hz and amplitude 1. 6 mm travels along the wire. a) Calculate the average power carried by the wave b) What happens to the average power if the wave amplitude is halved?
Wave Intensity I : Average rate at which energy is transported by the wave through unit surface area perpendicular to direction of propagation (average power per unit area) For waves spreading out equally in three dimensions from a point source, the power at distance r is distributed evenly over a sphere of radius r, surface area 4 r 2. . . . .
Inverse square law
Example Calculation (a) For the piano in the previous question, calculate the sound intensity at a distance of 5 m (b) How much does the sound intensity decrease if you move to a distance of 15 m from the piano?
The decibel scale Used to provide a logarithmic scale for comparison of 2 quantities. Often (but not only) used for sound intensities:
Examples a) What is the attenuation in d. B of the sound intensity heard by a listener when they move from an initial distance of 3 m to a final distance of 24 m from the source? b) An electronic amplifier increases the amplitude of an AC signal from 10 m. V to 5 V. What is the gain in d. B of the amplifier?
Sound Intensities The d. B scale is often used as an “absolute” measure of sound intensity (loudness) (eg the average sound intensity for traffic on the M 1 is 75 d. B, or whatever) Here, the intensity is measured relative to the threshold of human hearing: I 0 = 10 -12 W/m 2