PHY 101 LECTURE DEPARTMENT OF PHYSICS UNIVERSITY OF























































































- Slides: 87
PHY 101 LECTURE DEPARTMENT OF PHYSICS UNIVERSITY OF IBADAN NIGERIA
LINEAR MOTION • Motion is defined as the change in position of an object with time. The motion of an object is completely known if its position in space is known at all times • Describing motion in terms of space and time while ignoring the agents that caused that motion is a portion of classical mechanics called kinematics • An object’s position is the location of the object with respect to a chosen reference point that can be considered as the origin of a coordinate system.
• Motions are usually represented in terms of position, distance, displacement, speed, velocity and acceleration. • Distance is covered when there is a change in the position of an object from one point to another in a plane or in space i. e. the length of the path followed • Displacement is the distance covered in a specified direction. It is a change in position in some time interval.
Sample Question A man walked from a point A to point B and then, back to point A on a straight line. If the length of AB is 20 m, what is the distance covered by the man and is displacement?
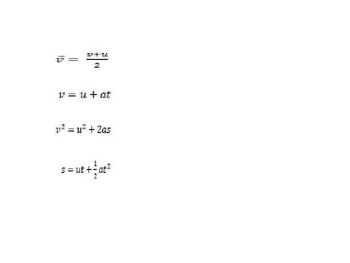
The average velocity is define as the object's displacement divided by the time interval during which the displacement occur.
Average speed is the total distance traveled divided by the total time interval required to travel that distance
Instanteous velocity is the average velocity evaluated for a time interval that approaches zero.
The average acceleration of an object is the time rate of change in its velocity. In a uniformly accelerated motion, the time rate of change of velocity is constant
Sample Questions
Uniform Circular Motion • Uniform circular motion is define as a motion in a circle at constant speed. A car moving in a circle speed of say, 40 km/h is an example of a body in uniform circular motion. • Although the speed is constant, the motion is accelerated because the direction of the velocity is changing. • The velocity vector is always tangent to the path of the object and perpendicular to the radius of the circular path The angular displacement is usually expressed in radian • One radian is the angle, subtend at the centre of a circle of radius equal the arc length.
CIRCULAR MOTION • In general, any angle θ is defined by the definition:
An object moving in a circular motion has its angle of rotation change from in time, t, then, its average angular speed is and The unit of is rad/s Also, For average angular velocity, the direction is indicated by the thumb of the right hand when the fingers are curved in the direction of the of rotation f – frequency in rev/sec, cycles/sec, rotation/sec. is also called angular frequency If the angular speed of the object changes uniformly from the angular acceleration, is given by The units are to in time, t, then,
Relationship between Angular and Tangential quantities -
Centripetal Acceleration Considering the figure below, the direction of toward the centre of the circle. approximately points
- Since, the is pointing towards the centre of the circle, the acceleration must point in the same direction The centripetal acceleration is the acceleration of a uniform circular motion whose acceleration vector point towards the centre of the circle. The magnitude of the centripetal acceleration is given by V is the tangential speed, r is the radius of the circular path Since,
Centripetal Force This is the force required to cause an object of mass, m to move in a circle or along an arc of radius, to give it the required acceleration is directed towards the centre of the circular path. Sample Question What is the centripetal acceleration of the Earth as it moves in its orbit around the Sun?
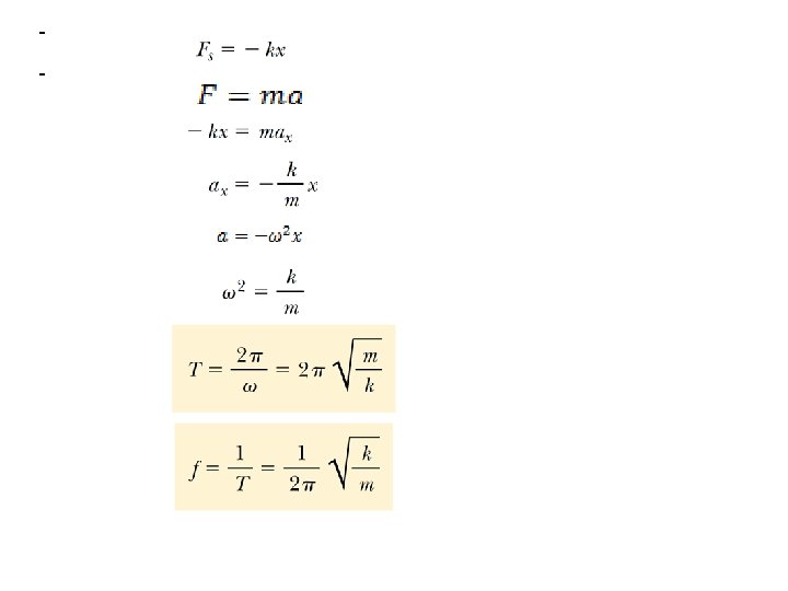
Simple Harmonic Motion • A particle is said to exhibit oscillatory or vibrational motion, when it moves periodically about equilibrium. Example of such a motion is the simple harmonic motion (SHM). • Simple Harmonic Motion is the motion of a particle whose acceleration is proportional to its position from a fixed point and is always directed towards that point. It can be expressed mathematically as • Examples of SHM (1) A test tube bobbing up and down in water. (2) Molecules in a solid oscillate about their equilibrium position. (3) A pendulum swing (4) A vibrating spring etc The SHM can be represented in terms of sine and cosine function, thus, it is called sinusoidal or harmonic motion:
A is the amplitude of the motion, phase motion. ` is the phase constant, and is the
Phase constant has the effect of shifting the cosine curve to the left or to the right but does not affect the frequency or amplitude
SHM of a spring Consider a block of mass, attached to the end of a spring, with the block free to move on a smooth surface horizontally When a force is exerted on the block to displaced it from it equilibrium position, , the spring exerts on the block a force that is proportional to the position and is given by Hooke’s law as:
Energy in SHM If the SHM of a block-spring system is given The potential energy, U stored in the spring at any given instant x and kinetic energy, K are expressed as The total mechanical energy of SHM Note: The total energy is constant (total energy is conserved), though U and K vary with time
- Other Applications of SHM
SAMPLE QUESTIONS
Newton’s law of Universal Gravitation • An object thrown up, instead of that object to move off into space in a straight line as Newton’s first law dictates, it is pulled back to the earth by a force called the gravitational force. • This same gravitational force acts on all heavenly bodies e. g motion of moon in its orbit about the earth • Newton’s law of Universal Gravitation: every particle in the Universe attracts every other particle with a force that is directly proportional to the product of their masses and inversely proportional to the square of the distance between them.
Free-Fall Acceleration and the Gravitational Force • If the force acting on a body near the surface of the earth is the gravitational force, then that body experiences the acceleration, g of a freely falling body. The force acting on the body is weight. • Thus, Newton’s second law becomes So, M-mass of body, me- mass of the earth, re –radius of the earth Exercise: Calculate the acceleration due to gravity near the surface of the earth.
SAMPLE QUESTIONS
STATIC EQUILIBRIUM § Equilibrium is a condition in which a body( at rest or in a uniform motion) experiences neither a net force nor a net torque. § In static equilibrium, the body at rest relative to the reference point and has no linear or angular speed § The Torque (‘turning effect’) about an axis due to a force, is the measure of the effectiveness of the force in producing a rotation about that axis. It is the product of the distance, r from the axis of rotation and the component of force perpendicular to that axis. Is the torque, r is the radial distance from axis to the point of application of the force and is the angle between r and force F. The units of torque are newton-meters(N. m).
SAMPLE QUESTION
The conditions for static equilibrium of an object include: Ø The resultant external force must be equal zero(translational equilibrium) Ø The resultant external torque about any axis must be zero (rotational equilibrium)
SAMPLE QUESTION
Centre of mass and gravity ØThe centre of mass M of a body is that point where the mass of the body can be thought to be concentrated. ØThe centre of gravity, G is the point through which the total gravitation attraction can be considered to act on the body. It is the point at which all the entire weight of the body may be considered concentrated. Ø A can be kept at equilibrium, if an upward vertical force of equal magnitude as the weight of the body is applied through the centre of gravity of the body. Ø The centre of gravity of a system coincides with its centre of mass, when the gravitational field is uniformly over the system.
Elasticity ØElasticity is the property of a solid material by which it experiences change in size and shape whenever a deforming force acts on the material. When the force removed, the material returns to its original shape and size. ØElastic properties of a material are discussed in terms of stress and strain. Ø Stress is a quantity proportional to the force causing the deformation while strain is the measure of the degree of the deformation. ØFor small stresses, stress strain. The proportionality constant is the elastic modulus.
Types of deformation and the elastic modulus for each 1. Young’s modulus: Elasticity in length Ø It is the measure of the resistance of a solid to change in its length. F is the external force applied, A is the cross sectional area, length and Li is the original length. The unit of Young’s modulus is or pascal is the change in 2. Shear Modulus: Elasticity of shape Ø It is the measure of the resistance to motion of the planes within a solid parallel to each other.
F- tangential force, A is the area of the face being sheared, x is the horizontal distance moved by the shared face, h is the height of the object. 3. Bulk modulus: volume elasticity Ø It is the measure of the resistance of solids or liquid to change in their volume
2. SAMPLE QUESTIONS 3.
HEAT ØWe need to define thermal contact and thermal equilibrium to understand the concept of temperature. ØTwo objects are said to be in thermal contact with each other, if there is energy exchange between the two objects due to temperature difference ØThermal equilibrium is a situation in which two objects would not exchange energy by heat or electromagnetic radiation if they are placed in thermal contact. This implies the two objects have the same temperature ØIf objects A and B are separately in thermal equilibrium to with a third object C, then, A and B are in thermal equilibrium to each other. This is referred to as the Zeroth law of thermodynamics
HEAT Temperature and thermometers ØTemperature is the measure of the degree of hotness or coldness of a body. A device use to measure the temperature of a body is called thermometer. ØA thermometer is a system with a conveniently observed macroscopic property(thermometric properties) that changes with temperature. ØSome physical properties that change with temperature are (1) the volume of a liquid, (2) the dimensions of a solid, (3) the pressure of a gas at constant volume, (4) the volume of a gas at constant pressure, (5) the electric resistance of a conductor, and (6) the color of an object. ØThe mercury-in-glass thermometer, for example, has it property that changes with temperature to be volume of the liquid Øother types of thermometer include: constant volume gas thermometer
- Some temperature scales and their fixed points § The Celsius (centigrade) scale: Ice and steam points are 0 C and 100 C respectively § The Fahrenheit scale: Ice and steam points are 32 F and 212 F respectively. §The Kelvin(absolute) scale: Ice and steam points are 273. 15 K and 373. 15 K ØThe absolute zero temperature is the 0 K. ØThe relationship between the Celsius and Fahrenheit temperature scales is The relationship between the Celsius and absolute temperature scales is
A temperature change of 5 F corresponds to what temperature change in Celsius degrees and Kelvins? SAMPLE QUESTION
THERMAL EXPANSION OF VARIOUS SUBSTANCES ØThe thermal expansion property among other properties of a material is put into consideration before it use in fabrications, constructions etc. ØWhen a substance is heated, it expands. This property of the substance is expressed by coefficient of linear expansion and coefficient of volume expansion. ØSuppose that an object has an initial length, along some direction at some temperature and that the length increases by an amount, for a change in temperature. we define the coefficient of linear expansion as ØThe unit of is As the linear dimension of the material changes with temperature, it follows that surface area and volume change as well.
QUIZ(5 mins) In a constant-volume gas thermometer, the pressure at ice point is 250 mm. Hg and at steam point is 760 mm. Hg. What is the temperature in kelvin at a pressure reading of 450 mm. Hg?
The coefficient of volume expansion solid and liquids is given as For a solid, the coefficient of volume expansion is three times the linear expansion coefficient: The area expansion of a substance of original area Ai when subjected to a temperature change ΔT is given as: The coefficient of volume expansion is twice the linear expansion coefficient An aluminum sheet 2. 50 m long and 3. 24 m wide is connected to some posts when it was at a temperature of − 10. 5 C. What is the change in area of the aluminum sheet when the temperature rises to 65. 0 C? Take α = 2. 4 × 10− 5/ C
Unusual(Anomalous) behavior of water ØWater contracts as its temperature increases from 0 C to 4 C and thus, the density increases. At 4 C, water reaches it maximum density. ØAbove 4 C, water expands as the temperature increases and so the density decreases. Ø This thermal-expansion behavior of water explains why a pond freezes from the surface and aquatic animals survives. Thermal expansion of gases Ø unlike solids and liquids, gases have no ‘standard’ volume at any given temperature. ØThe volume of gas is determined by the container holding it. Volume will be use as variable not change in its equation. ØThe equation of state for an ideal gas gives the relation between volume, pressure, temperature and mass of the gas:
n- is no moles of the gas, m is the mass of the gas, M is the molar mass of the gas(g/mol), R is the gas constant Note: 1 mole of a substance contains the Avogadro’s number ØThe ideal gas can be expressed in terms of number of molecules, N: Determine the volume occupied by 4. 0 g of oxygen(M=32 kg/kmol) at S. T. P.
GAS LAWS The equation of state of an ideal gas given as Gas Laws : Boyle’s, Charles’s and Gay-Lussac’s law. is a summary of the Charles’ law: states that the volume of a gas at constant pressure is directly proportional to the absolute temperature of the gas. , , at constant n, P Gay-Lussac’s law: the absolute pressure of a gas at constant volume is directly proportional to the absolute temperature of the gas. , , at constant n, V Bolye’s law: the pressure is inversely proportional to the volume of the gas at constant temperature. , , at constant n, T
The general gas law: n is constant
KINETIC THEORY OF GASES ØThis is a model for ideal gas behavior. ØIn developing this model, we make the following assumptions: • The gas is composed of a large number of identical molecules all flying about randomly and colliding with one another and with the walls of the container. • The molecules are so small that the volume of individual molecules could be neglected, i. e. the molecules can be regarded as point masses each of mass m and negligible volume. • The collisions of molecules with each other and with the walls of the container are perfectly elastic, i. e. the total kinetic energy of the molecules before collision is equal to the total kinetic energy after collision. • The force of attraction (or repulsion) between molecules is negligible except during collisions.
Mass of a particle(molecule or atom), Average translational K. E of a gas molecule: The root mean square speed of a gas molecule: The pressure of an ideal gas: Note: is the density of the gas. T= absolute Temperature of an ideal gas,
HEAT TRANSFER Three common heat-transfer mechanisms: conduction, convection, and radiation Ø Conduction is the transfer of thermal energy by molecular action, without any motion of the medium. It occurs as molecules in a hotter region collide with and transfer energy to those in an adjacent cooler region. • Conduction occurs in solids, liquids, and gases, but the effect is most pronounced in solids. H is the rate of flow of heat by conduction in watts, k is the coefficient of thermal conductivity in , is thickness of the slab, is the temperature difference and A is the area.
ØConvection is heat transfer by fluid motion. It occurs as heated fluid becomes less dense and therefore rises. Ø Examples: heat is carried through water by convection when heated on a stove. Sea and land breezes ØRadiation is heat transfer by electromagnetic waves or radiation. The vibrating molecules of the heated object will emit e-m waves. When the e-m is received by a lower temperature object, the heat energy of its molecules increase, hence raising its temperature. • No medium is necessary for this process.
For an object of surface area A, at absolute temperature T, the rate at which radiant heat is emitted is proportional to the fourth power of its absolute temperature. This is known as Stefan’s law and is expressed as: P=power radiated by surface, Q is thermal energy(heat energy), emmisivity lies between 0 and 1 is A blackbody is a body that absorbs all the radiant energy falling on it. At thermal equilibrium, a body emits as much energy as it absorbs.
An object that is hotter than its surroundings radiates more energy than it absorbs, whereas an object that is cooler than its surroundings absorbs more energy than it radiates The net energy radiated per seconds by an object is given as:
WAVES ØA wave is a disturbance (from a state of equilibrium) which travels outward from the original centre of disturbance and carries with it and not matter. ØThere are two main types of waves: the mechanical waves and electromagnetic waves. A mechanical wave requires a material medium for propagation, while electromagnetic wave does not require a material medium for propagation. ØA travelling wave can be characterized as transverse wave or longitudinal wave. ØA transverse wave is a travelling wave or pulse that causes the elements of the disturbed medium to move perpendicular to the direction of propagation, while a longitudinal wave is a travelling wave or pulse that causes the elements of the medium to move parallel to the direction of propagation.
The direction of motion of any element P of the rope (blue arrows) is perpendicular to the direction of propagation (red arrows)
The sinusoidal wave is the simplest example of a periodic continuous wave could be established on a rope by shaking the end of the rope up and down in simple harmonic motion. Two types of motions from the figure above: motion to right is the motion of the travelling wave and the vertical motion is the motion(S. H. M) of the element of the medium.
Figure a shows a snapshot of a wave moving through a medium. Figure b shows a graph of the position of one element of the medium as a function of time.
If the vertical position y of an element of the medium is zero at x = 0 and t = 0, The sinusoidal wave function is expressed as: Negative when the wave motion is towards right and positive towards left. (wave number) (angular frequency) The wave speed, wavelength, and period are related by the expression:
ØSound waves are longitudinal waves travelling through a medium, such as air. The motion of the elements of the medium in a longitudinal wave is back and forth along the direction in which the wave travels. In contrast, the vibrations of the elements of the medium in a transverse wave are at right angles to the direction of travel of the wave. ØSound waves fall into three categories that cover different ranges of frequencies: Audible waves, infrasonic waves and ultrasonic waves. §Audible waves are longitudinal waves that lie within the range of sensitivity of the ear, approximately 20 to 20, 000 Hz. §Infrasonic waves are longitudinal waves with frequencies below the audible range. Earthquake waves are an example. §Ultrasonic waves are longitudinal waves with frequencies above the audible range for humans. For example, certain types of whistles produce ultrasonic waves. Some animals, such as dogs can hear the waves emitted by these whistles, even though humans cannot.
The speed of sound in air and other gases depends on the background pressure, P (force per unit area) and density (mass per unit volume): For air and other diatomic gases, is for 7/5; for monatomic gases like helium, it’s 5/3 The speed of sound wave in a liquid and solid : For solid e. g a rod Young modulus is used while Bulk modulus is used for liquids. The speed of sound in air at 0 C is about 331 mls.
As you approach a sound , say from a building, the frequency you hear is higher than when moving away from the sound. This is an example of doppler effect. Suppose the source of sound moving at speed , towards an observer emits a sound at frequency, . If the observer or listener moves towards the source of sound with speed, , the observed frequency, is the speed of sound in air. If either observer or the source move away from the other, the sign on its speed must be changed. If a system is driven at a frequency near its natural oscillation frequency then large-amplitude oscillations can build; this is resonance. In other words, If a periodic force is applied to such a system, the amplitude of the resulting motion is greatest when the frequency of the applied force is equal to one of the natural frequencies of the system.
Standing Waves in Pipes(Air column) ØStanding wave is vibrational pattern that has to do with combination of two waves Moving in opposite direction with the same amplitude and frequency. Ø Along the standing wave pattern is the point of zero amplitude called the node and Point of maximum amplitude called the antinode.
Standing wave in a opened pipe The wave here vibrates at specific frequencies – the frequencies are quantized.
Standing wave in a closed pipe
Reflection of Light wave • Reflection is the bouncing back of a light ray travelling in a medium when it encounters a boundary leading into a second medium. • Regular (or specular) reflection is the type of reflection from a smooth surface, while reflection from any rough surface is known as diffuse (or irregular) reflection.
The laws of reflection of light
REFRACTION OF LIGHT Refraction is the bending of light ray when transmitted through the boundary of two media of different refractive indices.
Note that frequency of the light wave does not change as it travels from one medium to another but its wavelength and speed does. The refractive index, n of a transparent medium is given as:
Also, according to the Snell’s law of refraction: Total internal reflection • Total internal reflection occurs only when light attempts to move from a medium of high index of refraction to a medium of lower index of refraction. The refracted rays are bent away from the normal because of movement from higher refractive index to lower refractive index • At a particular angle of incidence θC, called the critical angle, the refracted light ray moves parallel to the boundary so that θ 2 = 900. For angles of incidence greater than θC, the beam is entirely reflected at the boundary
Images form by plane surface (plane mirrors)
Images form by curve surface (curve mirrors) Concave mirrors
Convex mirrors The image is always virtual, upright and reduced in size
Mirror Equations Negative magnification tells us that the image is inverted. The height of the image is negative when it is inverted.
Ø A drop of water is trapped in a block of ice. What’s the critical angle for total internal reflection at the water–ice interface? Take refractive indices of water and ice to be 1. 333 and 1. 309 respectively. ØA light ray propagates in a transparent material at 15 to the normal to the surface. It emerges into the surrounding air at 24 to the normal. Find the material’s refractive index. ØAn object is five focal lengths from a concave mirror. (a) How do the object and image heights compare? (b) Is the image upright or inverted? ØA virtual image is located 40 cm behind a concave mirror with focal length 18 cm. (a) Where is the object? (b) By how much is the image magnified?