PGT 320 Chapter 3 HALFWAVE RECTIFIERS the basics
PGT 320 Chapter 3 HALF-WAVE RECTIFIERS (the basics of analysis) Prepared by: Khairul Affendi Rosli, Msc Copyright © The Mc. Graw-Hill Companies, Inc. Permission required for reproduction or display.
HALF-WAVE RECTIFIERS q q q q q DEFINITION & CLASSIFICATION RESISTIVE LOAD RESISTIVE-INDUCTIVE LOAD R-L-SOURCE LOAD INDUCTOR-SOURCE LOAD THE FREEWHEELING DIODE HALF-WAVE RECTIFIER WITH A CAPACITOR FILTER CONTROLLED HALF-WAVE RECTIFIER COMMUTATION SUMMARY Copyright © The Mc. Graw-Hill Companies, Inc. Permission required for reproduction or display.
DEFINITION & CLASSIFICATION • Rectifier is used to convert an AC supply to required purely DC supply (in form of voltages and currents). • Can be classify into 2 major types: • Single-phase rectifier and Three-phase rectifier • Each type comes with their special usage such as for lowpower applications. • Revision: remember what have you learnt during EET subject. Copyright © The Mc. Graw-Hill Companies, Inc. Permission required for reproduction or display.
CLASSIFICATION OF RECTIFIER Copyright © The Mc. Graw-Hill Companies, Inc. Permission required for reproduction or display.
THE HALF-WAVE RECTIFIER – RESISTIVE LOAD • It is the basic of Half wave rectifier (HWR)- function to create a load voltage, Vload with non-zero component. Refer book page 66. • Explanation of HWR operation: • During positive half-cycle • Diode, D in forward biased (non-blocking mode), thus allow the supply to pass through it thus enters the load side (in this case; resistor, R). • During negative half-cycle • Diode, D in reverse biased (blocking mode), thus block the supply to pass through it. Load voltage and current will be zero at this moment. Diode voltage at negative value. • Output voltage Vo is the average value of HWR sinusoids. • Refer example 3. 1. Copyright © The Mc. Graw-Hill Companies, Inc. Permission required for reproduction or display.
THE HALF-WAVE RECTIFIER – RESISTIVE LOAD • The output voltage is the average value of a HW rectified sinusoidal and the dc component of current for HWR - R-load : - • Average power absorbed by the resistor: - • The rms value for voltage and current can be obtained by: - Copyright © The Mc. Graw-Hill Companies, Inc. Permission required for reproduction or display.
Figure 3. 1 THE HALF-WAVE RECTIFIER – RESISTIVE LOAD Copyright © The Mc. Graw-Hill Companies, Inc. Permission required for reproduction or display.
EXAMPLE 3. 1: THE HWR– RESISTIVE LOAD For the half-wave rectifier above, the source is a sinusoid of 120 V rms at a frequency of 60 Hz. The load resistor is 5Ω. Determine: - (a) the average load current, (b) the average power absorbed by the load and (c) the power factor of the circuit. Copyright © The Mc. Graw-Hill Companies, Inc. Permission required for reproduction or display.
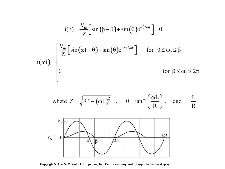
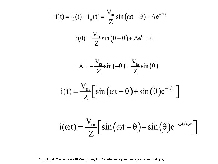
THE HALF-WAVE RECTIFIER R-L LOAD • Industrial loads typically contain inductance as well as resistance. As the source voltage goes through zero and becoming positive in the circuit, the diode becomes forward-biased. • Current equals to sum of forced response and natural response: and current (natural response): • Forced response current that existed after natural response has decayed to zero. If the diode were not present, it’s the only steadystate sinusoidal current that exists where… • Rms current: • Average current, (Output): • • The natural response is the transient that occurs when the load is energized. It is the solution to the homogeneous differential equation for the circuit without the source or diode: Copyright © The Mc. Graw-Hill Companies, Inc. Permission required for reproduction or display.
Figure 3. 2 THE HALF-WAVE RECTIFIER R-L LOAD Kirchhoff’s Voltage Law: Copyright © The Mc. Graw-Hill Companies, Inc. Permission required for reproduction or display.
Copyright © The Mc. Graw-Hill Companies, Inc. Permission required for reproduction or display.
Copyright © The Mc. Graw-Hill Companies, Inc. Permission required for reproduction or display.
Figure 3. 5 R-L-SOURCE LOAD Supplying power to a DC Source from an AC Source Diode starts to conduct, ωt=α Copyright © The Mc. Graw-Hill Companies, Inc. Permission required for reproduction or display.
Figure 3. 7 THE FREEWHEELING DIODE Creating a DC current • • Behaviour of this circuit different from HWR. To study each diode conduction. Both diode D 1 and D 2 cannot be forward-biased at the same time. One must be in rev/b. Positive half cycle: • D 1 is on • D 2 is off • Equivalent circuit shown in figure (b). • Voltage across load RL = voltage at source. Negative half cycle: • D 1 is off • D 2 is on • Equivalent circuit shown in figure (c). • Voltage across load RL = zero. So the overall process is a HWR. When circuit first energized, load current zero cannot change instantaneously. It goes steady-state after a while depending L/R time constant. Copyright © The Mc. Graw-Hill Companies, Inc. Permission required for reproduction or display.
Figure 3. 8 THE FREEWHEELING DIODE Creating a DC current Copyright © The Mc. Graw-Hill Companies, Inc. Permission required for reproduction or display.
Figure 3. 9 THE FREEWHEELING DIODE Creating a DC current Copyright © The Mc. Graw-Hill Companies, Inc. Permission required for reproduction or display.
Figure 3. 11 CAPACITOR FILTER Creating a DC voltage from an AC Source • Purpose of capacitor (C) reduce variation in the output voltage to make it more alike DC. • Resistance may represesnt the load, capacitance may be a filter and one of the rectifier part. • Assumes C initially uncharged and the circuit is energized at ωt =0, the diode becomes for. /biased as the source becomes +ve output voltage = source voltage C charges. C is charged to Vm when the input voltage reaches its positive peak at ωt=π/2. • As the source decreases after ωt =π/2, the C discharges into the load resistor. At some point, the voltage of the source becomes less than the output voltage, reverse-biasing the diode and isolating the load from the source. The output voltage is a decaying exponential with time constant RC while the diode is off. • The point when the diode turns off is determined by comparing the rates of change of the source and the capacitor voltages. For small ΔVo , Copyright © The Mc. Graw-Hill Companies, Inc. Permission required for reproduction or display.
Figure 3. 12 Copyright © The Mc. Graw-Hill Companies, Inc. Permission required for reproduction or display.
Figure 3. 13 THE CONTROLLED HALF-WAVE RECTIFIER Copyright © The Mc. Graw-Hill Companies, Inc. Permission required for reproduction or display.
Figure 3. 13 THE CONTROLLED HALF-WAVE RECTIFIER The power absorbed by the resistor is P= V²rms/R, where the rms voltage across the resistor is computed from: Copyright © The Mc. Graw-Hill Companies, Inc. Permission required for reproduction or display.
Figure 3. 13 EXAMPLE 3. 10: THE CONTROLLED HWR Design a circuit to produce an average voltage of 40 V across a 100 - load resistor from a 120 -V rms 60 -Hz ac source. Determine the power absorbed by the resistance and the power factor. Solution: - Copyright © The Mc. Graw-Hill Companies, Inc. Permission required for reproduction or display.
Figure 3. 14 CONTROLLED RECTIFIER WITH AN R-L LOAD Copyright © The Mc. Graw-Hill Companies, Inc. Permission required for reproduction or display.
Figure 3. 15 R-L-SOURCE LOAD Copyright © The Mc. Graw-Hill Companies, Inc. Permission required for reproduction or display.
Figure 3. 16 PSpice Copyright © The Mc. Graw-Hill Companies, Inc. Permission required for reproduction or display.
Figure 3. 17 Copyright © The Mc. Graw-Hill Companies, Inc. Permission required for reproduction or display.
COMMUTATION The effect of source inductance Copyright © The Mc. Graw-Hill Companies, Inc. Permission required for reproduction or display.
Figure 3. 18 COMMUTATION The effect of source inductance Copyright © The Mc. Graw-Hill Companies, Inc. Permission required for reproduction or display.
CHAPTER’S SUMMARY Copyright © The Mc. Graw-Hill Companies, Inc. Permission required for reproduction or display.
Figure 3. 18 CHAPTER’S SUMMARY Copyright © The Mc. Graw-Hill Companies, Inc. Permission required for reproduction or display.
- Slides: 29