PERTEMUAN 8 DERET TIM PENGAMPU MATEMATIKA EKONOMI Pengertian

  • Slides: 12
Download presentation
PERTEMUAN 8 DERET TIM PENGAMPU MATEMATIKA EKONOMI

PERTEMUAN 8 DERET TIM PENGAMPU MATEMATIKA EKONOMI

Pengertian Deret adalah rangkaian atau barisan dari bilangan yang tersusun secara teratur berdasarkan aturan

Pengertian Deret adalah rangkaian atau barisan dari bilangan yang tersusun secara teratur berdasarkan aturan tertentu. Macam Deret : Deret Hitung/Deret Aritmatika Deret Ukur/Deret Geometri

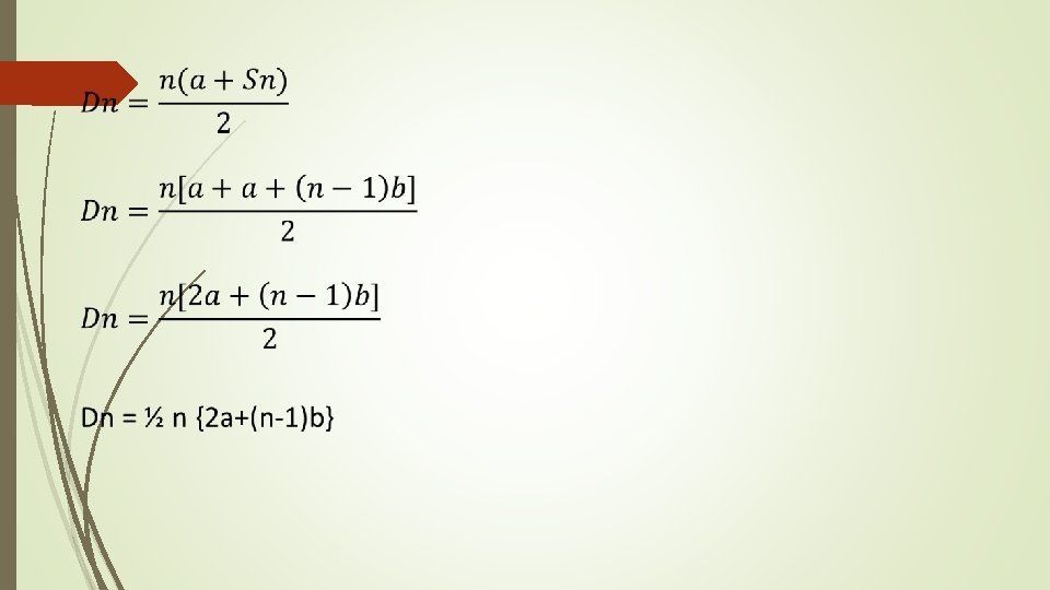
Deret Hitung/Deret Aritmatika Merupakan deret yang setiap sukunya diperoleh dengan menambah bilangan yang sama

Deret Hitung/Deret Aritmatika Merupakan deret yang setiap sukunya diperoleh dengan menambah bilangan yang sama terhadap suku sebelumnya. Contoh : 1, 2, 3, 4, … (pembeda 1) 10, 20, 30, 40, … (pembeda 10) 50, 40, 30, 20, … (pembeda -10) Bentuk a 1, a 2, a 3, … an Dimana a 2 = a 1 + b a 3 = a 2 + b = (a 1 + b) + b = a 1 + 2 b a 4 = a 3 + b = a 1 + 2 b + b = a 1 + 3 b

Deret Ukur / Deret Geometri

Deret Ukur / Deret Geometri

Contoh soal Carilah 8 suku pertama dari deret hitung berikut : 2, 5, 8,

Contoh soal Carilah 8 suku pertama dari deret hitung berikut : 2, 5, 8, 11, … Diketahui : a=2 b=2 n=8 Ditanya D 8? Jawab : D 8 = ½ n {2 a + (n-1)b} = ½. 8 {2. 2 + (8 -1)2} = 4(4+14) = 72

SOAL 1. Pada deret hitung terdapat 40 suku, suku pertama adalah 7 dan suku

SOAL 1. Pada deret hitung terdapat 40 suku, suku pertama adalah 7 dan suku terakhir adalah 124. tentukan S 25 dan D 40! 2. Tentukan deret ukur yang suku ke 3 nya adalah kuadrat dari suku 1 dan suku ke 5 adalah 64! 3. Selesaikan deret-deret berikut ini : a) 100, 4, 90, 7, 80, 10, …, … b) 5, 7, 10, 12, 15, 17, …, … c) 3, 5, 8, 12, 17, …, … 4. Carilah S 6 dan D 6 jika diketahui : a) a = 4, r = 2 b) a = 2, r = 4 c) a = 25, r = ½

THANK YOU MATURNUWUN

THANK YOU MATURNUWUN