Persamaan Manning Saluran Komposit Energi Spesifik Kuliah Hidraulika




















- Slides: 20
Persamaan Manning, Saluran Komposit, Energi Spesifik Kuliah Hidraulika WA
Persamaan Manning • Robert Manning (th. 1889) mengusulkan persamaan : U = (1/n)R 2/3√(S) untuk sistem metric (SI) U = (1. 49/n)R 2/3√(S) untuk sistem English Q = A(k/n)R 2/3√(S) k = 1 atau 1. 49
Persamaan Manning Terms dalam persamaan Manning : V = Kecepatan rata-rata tampang A = luas tampang aliran P = Keliling basah R = Jari-jari hidraulik = A/P S = kemiringan dasar saluran (ft/ft atau m/m) n = koefisien kekasaran Manning hn = Kedalaman aliran seragam (Normal depth) Area hn Z Keliling basah X S = Z/X
hn B Untuk tampang segi empat Luas = A = B x hn Keliling Basah = P = B + 2 hn Jari-jari hidraulik = A/P = R = Bhn/(B+2 hn)
Bilamana diketahui nilai debit Q pada suatu saluran, dengan berdasarkan persamaan Manning dapat dihitung kedalaman aliran hn, dan sebaliknya; hn Q.
Persamaan Manning memberikan prediksi cukup baik untuk saluran seragam (prismatis), seperti saluran buatan. Untuk saluran non prismatis (sungai alami), persamaan hanya memberikan nilai pendekatan saja.
Nilai-nilai koefisien kekasaran Manning n n = 0. 03 n = 0. 055
Nilai-nilai koefisien untuk perhitungan koefisien kekasaran Manning (Chow, 1959) Channel Conditions Values Material Involved Earth 0. 020 Rock Cut 0. 025 Fine Gravel Coarse Gravel 0. 027 Degree of irregularity Smooth 0. 000 Minor 0. 005 Moderate Severe 0. 020 Variations of Channel Cross Section Gradual 0. 000 Alternating Occasionally Alternating Frequently no n 1 n 2 0. 024 0. 010 0. 005 0. 010 -0. 015
Relative Effect of Obstructions Negligible Minor 0. 010 -0. 015 Appreciable 0. 020 -0. 030 Severe 0. 040 -0. 060 Vegetation Low Medium 0. 010 -0. 025 High 0. 025 -0. 050 Very High 0. 050 -0. 100 Degree of Meandering Minor Appreciable 1. 150 Severe 1. 300 n 3 n 4 m 5 0. 000 0. 005 -0. 010 1. 000 n = (n 0 + n 1 + n 2 + n 3 + n 4 ) m 5
Aliran pada Saluran Komposit (Compound Channels) n Sebagian besar aliran terjadi pada saluran utama (main channel); akan tetapi pada saat banjir, aliran dapat terjadi pada bantaran (overbank). Pada kondisi ini, tampang aliran dapat dibagi menjadi beberapa pias aliran n Debit aliran pada tampang dapat menjumlahkan debit aliran pada pias-pias n dihitung Overbank Section Main Channel dengan
Pembagian pias aliran Dalam menentukan R, hanya bagian yang berhubungan dengan dinding basah saluran (wetted perimeter) saja yang digunakan.
Saluran Komposit S = 0. 005 1, 5 m 0, 9 m rumput n=0. 03 0, 9 m beton n=0. 015 Hitung debit aliran pada saluran di atas ? Penyelesaian : Saluran dibagi menjadi beberapa pias berdasarkan kekasaran yg berbeda. Untuk setiap pias dimana kekasaran dinding berbeda ditentukan nilai A, R, P dan Q.
Manning’s Over Grass S = 0. 005 1, 5 m 0, 9 m rumput n=0. 03 0, 9 m beton n=0. 015 Saluran dengan kekasaran rumput : Untuk tiap tampang : A = 1, 5 x 0, 9 = 1, 35 m 2 P = 1, 5 + 0, 9 = 2, 4 m R = 1, 35 m 2/2, 4 m = 0, 5625 m Q = 1, 35 x(1/0. 03)x 0, 56252/3 x√(0, 005) Q = 2, 168 m 3/d per tampang Untuk 2 tampang … Q = 2 x 2, 168 = 4, 336 m 3/d
Manning’s Over Concrete S = 0. 005 1, 5 m 0, 9 m rumput n=0. 03 0, 9 m beton n=0. 015 Saluran dengan dinding beton A = 1, 5 x 1, 8 = 2, 7 m 2 P = 0, 9 + 1, 5 + 0, 9 = 3, 3 m R = 2, 7 m 2/3, 3 m = 0, 8182 m Q = 2, 7 x(1/0, 015)x 0, 81822/3 x√(0, 005) Q = 11, 133 m 3/d Untuk seluruh tampang… Q = 4, 336 + 11, 133 = 15, 47 m 3/d
Kekasaran Komposit • Kekasaran dasar ≠ kekasaran dinding n 1 Sf 1 A 1 U 1 Sf 2 A 2 U 2 n 2 Sf 3 A 3 U 3 n 3
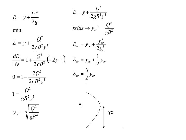
Kedalaman Kritis • Kedalaman kritis terjadi bila: • Fr=1 • Es min dan Fs min
ENERGI SPESIFIK • Tersedia pada file tersendiri…. .
E yc
• Suatu saluran segi-empat mengalirkan debit sebesar 2 m 3/dt. Lebar saluran 6 m dengan kekasaran dinding/dasar n = 0. 02. Hitung hkr dan hn, jika kemiringan dasar saluran: So=0. 001; So=0. 01
Distribusi Kecepatan pada Saluran Kecepatan rata-rata vertikal (Depth-averaged velocity) berada pada jarak 0, 4 h dari dasar saluran (atau 0, 6 h dari muka air)