PERPINDAHAN PANAS Heat and Mass Transfer A Practical
















































- Slides: 48
PERPINDAHAN PANAS Heat and Mass Transfer: A Practical Approach Third Edition Yunus A. Cengel Mc. Graw-Hill Chapter 2 PERSAMAAN KONDUKSI (HEAT CONDUCTION)
Tujuan: • Mengetahui perpindahan panas yang berkaitan dengan multidimensi dan time dependence, dan berbagai kondisi dimana permasalahan perpindahan panas dapat didekati menjadi satu dimensi (one -dimensional). • Mendapatkan persamaan differensial heat conduction pada berbagai sistem koordinat (rectangular, cylindrical, spherical), dan menyederhanakannya menjadi kasus steady satu dimensi. • Mengidentifikasi berbagai kondisi termal pada berbagai permukaan, dan menyatakannya secara matematika sebagai kondisi batas dan kondisi awal. • Menyelesaikan permasalahan heat conduction satu dimensi dan mendapatkan distribusi temperatur dalam suatu media. • Menganalisa heat conduction satu dimensi pada benda padat dengan memasukkan pembangkitan panas (heat generation). • Mengevaluasi heat conduction pada benda padat dimana sifat konduktivitas termal bahan merupakan fungsi dari temperatur. 2
PENGANTAR • • Meskipun perpindahan panas dan temperatur saling berkaitan, namun mereka mempunyai sifat yang berbeda. Temperatur hanya mempunyai besaran (magnitude) dan merupakan sebuah ukuran skalar. Perpindahan panas mempunyai arah dan besaran dan merupakan sebuah vektor. Suatu sistem koordinat dan arah yang bertanda plus atau minus. 3
• Penyebab setiap bentuk perpindahan panas adalah perbedaan temperatur. • Perbedaan temperatur yang lebih tinggi, menyebabkan laju perpindahan panas yang lebih besar. • Tiga dasar sistem koordinat: ü rectangular T(x, y, z, t) ü cylindrical T(r, , z, t) ü spherical T(r, , , t). 4
Perpindahan Panas Steady versus Transient • Steady menunjukkan bahwa tidak ada perubahan terhadap waktu pada setiap titik di dalam media. • Transient menunjukkan adanya variasi dengan waktu atau tergantung terhadap waktu. • Dalam kasus khusus dimana suatu media yang bervariasi dengan waktu, tetapi tidak dengan posisi, temperatur media tersebut berubah secara seragam (uniform) dengan waktu. Sistem perpindahan panas seperti ini disebut dengan lumped systems. 5
Perpindahan Panas Multidimensi • Permasalahan perpindahan panas diklasifikasikan menjadi: ü Satu dimensi (one-dimensional) ü Dua dimensi (two dimensional) ü Tiga dimensi (three-dimensional) • Secara umum, perpindahan panas melalui suatu media adalah tiga dimensi (three-dimensional). Namun, beberapa permasalahan dapat diklasifikasikan menjadi dua atau satu dimensi (two or onedimensional) tergantung besaran perpindahan panas pada arah yang berbeda dan tingkat keakuratan yang diiinginkan. • One-dimensional jika temperatur dalam media hanya bervariasi dalam satu arah dan selanjutnya panas dipindahkan dalam satu arah, dimana perpindahan panas dalam arah yang lain diabaikan atau nol. • Two-dimensional jika temperatur dalam media, pada beberapa kasus, bervariasi dalam dua arah, dan variasi temperatur pada arah sumbu yang ketiga diabaikan. 6
7
• Laju heat conduction melewati sebuah media pada arah yang ditentukan (misal, dalam arah sumbu x) dinyatakan dengan Fourier’s law of heat conduction untuk heat conduction satu dimensi seperti: Panas dikonduksikan searah dengan penurunan temperatur, dan gradien temperatur adalah negatif ketika panas dikonduksikan pada arah x positif. 8
• Vektor heat flux pada titik P di permukaan dari gambar 2 -8 harus tegak lurus terhadap permukaan tersebut dan harus searah dengan penurunan temperatur • Jika n adalah tegak lurus terhadap permukaan isothermal di titik P, laju heat conduction di titik tersebut dapat dinyatakan dengan Fourier’s law seperti : 9
Pembangkitan panas • • Contoh: ü Energi listrik dikonversikan ke panas dengan nilai I 2 R ü Reaksi kimia exothermic Pembangkitan panas adalah volumetric phenomenon. Satuan laju pembangkitan panas: W/m 3 or Btu/h·ft 3. Laju pembangkitan panas dalam suatu media dapat bervariasi dengan waktu dan posisi. 10
PERSAMAAN HEAT CONDUCTION SATU DIMENSI Anggap heat conduction melewati suatu dinding datar seperti dinding rumah, kaca jendela, pelat logam dibagian bawah setrika, dinding tabung container, dll. Contoh-contoh heat conduction ini dan banyak geometri yang lainnya dapat didekati dengan analisa one-dimensional karena heat conduction melewati geometri ini dominan dalam satu arah dan arah yang lain dapat diabaikan. Berikutnya akan dikembangkan persamaan heat conduction satu dimensi dalam koordinat rectangular, cylindrical, dan spherical. 11
(2 -6) Persamaan heat conduction pada dinding datar yang luas 12
13
Persamaan heat conduction pada silender panjang 14
15
Persamaan Heat Conduction Pada Bola 16
Gabungan Persamaan Heat Conduction Satu Dimensi Suatu kajian tentang persamaan-persamaan heat conduction transient satu dimensi untuk dinding datar, silinder, dan bola membuktikan bahwa ketiga persamaan (dinding datar, silinder, dan bola ) dapat dinyatakan dalam bentuk persamaan berikut: n = 0 untuk dinding datar n = 1 untuk silinder n = 2 untuk bola Pada kasus dinding datar, biasa untuk mengganti variabel r dengan x. Persamaan ini dapat disederhanakan untuk kasus-kasus dalam kondisi steady atau tanpa pembangkitan panas seperti dijelaskan sebelumnya. 17
PERSAMAAN UMUM HEAT CONDUCTION Pada bagian sebelumnya, telah diasumsikan heat conduction satu dimensi dan telah diasumsikan pula heat conduction pada arah lain diabaikan. Banyak permasalahan perpindahan panas yang dijumpai di lapangan dapat didekati dengan analisa satu dimensi. Namun, kasus ini tidak selalu demikian, dan kadang kita juga perlu untuk memperhitungkan perpindahan panas dalam arah yang lain. Untuk kasus demikian heat conduction dikatakan menjadi multidimensi, dan dalam bagian ini akan dikembangkan persamaan differential dalam sistem koordinat rectangular, cylindrical, and spherical. 18
Koordinat Rectangular 19
20
21
Koordinat Silinder Hubungan antara koordinat dari satu titik dalam sistem koordinat rectangular dan silinder : 22
Koordinate Bola Hubungan antara koordinate dari satu titik di dalam sistem koordinat rectangular dan bola : 23
KONDISI BATAS DAN KONDISI AWAL Penjelasan permasalahan perpindahan panas dalam suatu media tidak lengkap tanpa penjelasan yang cukup tentang kondisi termal pada batas permukaan. Kondisi-kondisi batas: ekspresi matematika kondisi termal di berbagai batas. Temperatur di setiap titik pada dinding pada waktu tertentu tergantung kepada kondisi geometri di permulaan proses heat conduction. Kondisi tersebut, dimana biasanya dicirikan pada waktu t = 0, disebut kondisi awal, merupakan ekspresi matematika untuk distribusi temperatur media pada awalnya. 24
Berbagai Kondisi Batas • Kondisi Batas Temperatur Tertentu • Kondisi Batas Heat Flux Tertentu • Kondisi Batas Konveksi • Kondisi Batas Radiasi • Kondisi Batas Antara Permukaan • Kondisi Batas Umum 25
1 Kondisi Batas Temperatur Tertentu Temperature dari suatu permukaan benda yang diekpos ke lingkungan biasanya dapat diukur langsung dengan mudah. Sehingga, cara yang termudah untuk menentukan berbagai kondisi termal pada suatu permukaan adalah dengan menetapkan temperatur tersebut. Sebagai contoh untuk perpindahan panas satu dimensi yang melewati dinding datar dengan ketebalan L, kondisi batas temperatur yang ditetapkan dapat dinyatakan sebagai berikut: dimana T 1 dan T 2 temperatur di permukaan x = 0 dan x = L. Temperatur yang ditetapkan dapat menjadi konstan, seperti kasus pada heat conduction kondisi stedi, atau boleh berubah terhadap waktu. 26
2 Kondisi Batas Heat Flux Tertentu Heat flux dalam arah x positif dimanapun dalam media, termasuk batas-batasnya, dapat dinyatakan dengan : Sebagai contoh, untuk sebuah pelat dengan ketebalan L mendapatkan heat flux 50 W/m 2 ke dalam media dari dua sisi, kondisi batas heat flux dapat dinyatakan sebagai berikut : 27
Kasus Khusus: Batas Isolasi Sebuah permukaan yang diisolasi secara baik dapat dimodelkan sebagai permukaan dengan heat flux nol. Kemudian kondisi batas pada suatu permukaan yang diisolasi secara sempurna (di x = 0) dapat dinyatakan sebagai : Pada suatu permukaan yang diisolasi, turunan pertama temperatur terhadap variabel ruang (gradien temperatur) dalam arah tegak lurus terhadap permukaan yang diisolasi adalah nol. 28
Kasus khusus lain: Thermal Symmetry Sebagaian besar permasalahan perpindahan panas memiliki thermal symmetry yang diterapkan pada berbagai kondisi termal. Sebagai contoh, dua permukaan pelat panas yang panjang dengan ketebalan L diposisikan secara vertikal ke udara yang mengalami kondisi termal yang sama dan selanjutnya distribusi temperatur bagian setengah pelat sama dengan bagian setengah pelat yang lain. Perpindahan panas pada pelat tersebut memiliki thermal symmetry pada center plane di x = L/2. Sehingga center plane dapat dianggap sebagai permukaan yang diisolasi, dan kondisi termal di bidang ini dapat dinyatakan sebagai : dimana menyerupai isolasi atau kondisi batas heat flux nol. 29
3 Kondisi Batas Konveksi Untuk perpindahan panas satu dimensi dalam arah x pada suatu pelat dengan ketebalan L, kondisi batas konveksi pada kedua sisi permukaan: 30
4 Kondisi Batas Radiasi Kondisi batas radiasi pada sebuah permukaan: Untuk perpindahan panas satu dimensi dalam arah x pada suatu pelat dengan ketebalan L, kondisi batas radiasi pada kedua permukaan dapat dinyatakan sebagai : 31
5 Kondisi Batas Antara Permukaan Kondisi batas di antara permukaan didasarkan kepada persyaratan-persyaratan diantaranya: (1) Dua benda dalam keadaan berkontak mempunyai temperatur yang sama di area yang berkontak tersebut (2) Pada suatu interface (untuk satu permukaan) tidak dapat menyimpan energi, dan heat flux dua sisi antar permukaan tersebut harus sama. Kondisi batas di antara permukaan dari dua benda A dan B dalam kondisi berkontak sempurna di x = x 0 dapat dinyatakan sebagai : 32
6 Kondisi Batas Umum Secara umum, suatu permukaan bisa jadi mengalami konveksi, radiasi, dan heat flux tertentu secara simultan. Kondisi batas dalam kasus tersebut diperoleh dari kesetimbangan energi permukaan dinyatakan sebagai : 33
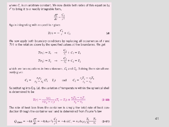
SOLUSI HEAT CONDUCTION KONDISI STEADY SATU DIMENSI Pada bagian ini akan diselesaikan berbagai permasalahan konduksi dalam geometri rectangular, cylindrical, dan spherical. Permasalahan konduksi dibatasi pada persamaan ordinary differential , kondisi steady satu dimensi, dan sifat termal bahan konstan. Prosedur penyelesaian : (1) Formulasikan permasalahan dengan persamaan yang sesuai dalam bentuk yang sederhana dan penetapan kondisi batas. (2) Dapatkan solusi umum dari persamaan differensial (3) Terapkan kondisi batas dan tenteukan konstanta pada solusi umum. 34
35
36
37
38
39
40
41
42
PEMBANGKITAN PANAS PADA BENDA PADAT Banyak aplikasi perpindahan panas yang merupakan perubahan dari berbagai bentuk energi ke energi termal pada media. Berbagai media tersebut mengalami pembangkitan panas internal , yang merupakan perwujudan dari dalam media itu sendiri dalam peningkatan temperatur. Beberapa contoh pembangkitan panas : - Resistance heating dalam kawat, - Reaksi kimia exothermic dalam benda padat - Reaksi nuclear dalam nuclear fuel rods Pembangkitan panas melalui kabel listrik dengan jari-jari luar ro and panjang L dapat dinyatakan : 43
Nilai utama dalam sebuah media dengan pembangkitan panas adalah temperatur permukaan Ts dan temperatur maksimum. Tmax yang terjadi di dalam media dalam kondisi steady: 44
45
VARIABLE THERMAL CONDUCTIVITY, k(T) Ketika variasi sifat konduktivitas termal bahan terhadap temperatur dalam selang temperatur tertentu adalah besar, maka perlu mempertimbangkan variasi ini untuk memperkecil kesalahan. Ketika variasi sifat konduktivitas termal bahan terhadap temperatur k(T) diketahui, nilai rata-rata sifat konduktivitas termal bahan dalam batas temperatur antara T 1 dan T 2 dapat ditentukan dari: 46
Variasi sifat termal bahan dalam batas temperatur tertentu sering dapat didekati dengan sebuah fungsi linear dan dinyatakan sebagai : Koefisien temperatur dari sifat konduktivitas termal. Nilai rata-rata dari sifat konduktivitas termal dalam batas temperatur T 1 ke T 2 dalam kasus ini dapat ditentukan dari: Sifat konduktivitas termal rata-rata dalam kasus ini adalah sama dengan nilai sifat konduktivitas termal di temperatur rata. 47
Summary • Pengantar ü Perpindahan Panas Steady versus Transient ü Perpindahan Panas Multidimensi ü Pembangkitan Panas • Persamaan-persamaan Heat Conduction Satu Dimensi ü ü Persamaan Heat Conduction Pada Dinding Datar Persamaan Heat Conduction Pada Silender Panjang Persamaan Heat Conduction Pada Bola Gabungan Persamaan Heat Conduction Satu Dimensi • Persamaan-persamaan Heat Conduction Umum ü Rectangular Coordinates ü Cylindrical Coordinates ü Spherical Coordinates • • Berbagai Kondisi Batas dan Kondisi Awal Solusi Permasalahan Heat Conduction Steady Satu Dimensi Pembangkitan Panas dalam Benda Padat Variable Thermal Conductivity k (T ) 48