Performance indices LQR Problem Lecture 37 Performance Indices
Performance indices, LQR Problem Lecture 37
Performance Indices •
Performance Indices… •
Performance Indices. . . •
LQR problem • Linear Quadratic Regulator Problem (Regulator=> Optimal Control) • Two types • Finite time LQR problem • Infinite time LQR Problem
finite time LQR problem… •
finite time LQR problem… • Integral Cost functional
finite time LQR problem… •
Solution of finite time LQR Problem •
Solution of finite time LQR Problem… •
Solution of finite time LQR Problem… •
Solution of finite time LQR Problem… •
Solution of finite time LQR Problem… •
Solution of finite time LQR Problem… • Hamiltonian Matrix of 2 nx 2 n and it is known Hamiltonian System
2 nx 2 n and all sub matrices are of nxn
Solution of finite time LQR Problem… • Putting the value of this from above transformation
Solution of finite time LQR Problem… •
Solution of finite time LQR Problem… • Put this equal to zero & find value of P(t)
Solution of finite time LQR Problem… •
Solution of finite time LQR Problem… •
Solution of finite time LQR Problem… •
Solution of finite time LQR Problem… State Equation r=0 U(t) _ B(t) ∫ X(t) A(t) _ R-1(t) ∫ _ Q(t) Co State System AT(t) Block Diagram
Solution of finite time LQR Problem… •
Solution of finite time LQR Problem… •
Algorithmic step to solve finite time LQR Problem •
Algorithmic step to solve finite time LQR Problem… •
Sufficient condition for finite LQR problem • Say P which is a (n+m)x(n+m) matrix
Sufficient condition for finite LQR problem… •
Example: finite time LQR Problem (Lect 39) •
Example: finite time LQR Problem (Lect 39) •
Stability Analysis of finite time LQR Problem • Closed loop System Matrix
• Say MT > 0, +ve definite , Because R(t)>0, +ve definite M
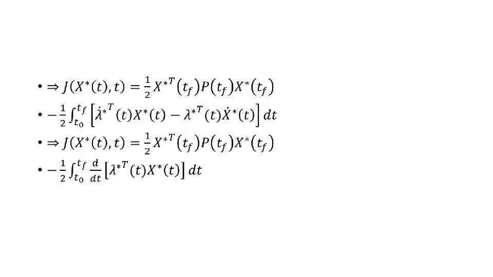
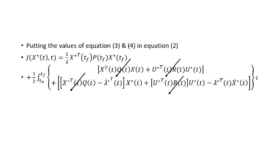
Computation of Optimal Cost (Objective function): • Zero from equ(1)
Infinite time LQR problem for time invariant system: (Infinite Horizon LQR Problem) Lect: 40 •
Infinite time LQR problem for time invariant system: (Infinite Horizon LQR Problem) •
Infinite time LQR problem for time invariant system: (Infinite Horizon LQR Problem) •
Algorithmic steps for solution of infinite time LQR problem: •
Stability analysis of the closed loop system for infinite time LQR problem: •
Example: Infinite time LQR problem (Lect 41) •
• ATP PB Transpose to each other, as PT=P , for symmetrical matrix BTP Transpose to each other, as PT=P , for symmetrical matrix PA
• 1 2 3 4 5 6 7 8 9 10 11 t
• (iv) Block Diagram: We can tune LQR controller by changing the values of R & Q matricies U(t) ∫ ∫ _ 2 System -2 4. 178 -1 0. 121 LQR Controller
- Slides: 65