Peramalan Forecasting Permintaan Produk dan Jasa Dessy Dwiyanti






































- Slides: 38
Peramalan (Forecasting) Permintaan Produk dan Jasa Dessy Dwiyanti S. Si, MBA
DEFINISI PERAMALAN Peramalan proses untuk memperkirakan jumlah permintaan (demand) produk dari konsumen di masa yang akan datang menggunakan data-data dimasa lalu
PENTINGNYA PERAMALAN DALAM MANAJEMEN PRODUKSI DAN OPERASI 1. Membantu dalam pengambilan keputusan 2. Manajemen produksi dan operasi menggunakan hasil peramalan dalam pembuatan keputusan menyangkut pemilihan proses, perencanaan kapasitas, layout fasilitas dll 3. Ketepatan dalam melakukan peramalan akan menunjang perencanaan yang ditetapkan
METODE PERAMALAN A. TOP DOWN FORECASTING Peramalan diawali dengan penggunaan hasil peramalan berbagai kondisi bisnis umum yang dibuat oleh para ekonom dalam lembaga pemerintahan, perusahaan besar, dan universitas. Contoh: Para ahli ekonom mengatakan kemungkinan produk nasional bruto tahun depan Rp. 1000 Trilyun peramalan bisnis industri untuk memperkirakan market share dan jumlah produk yang dapat dijual perbulan
B. BOTTOM FORECASTING Peramalan dimulai dengan perkiraan permintaan produk akhir individual Contoh: data-data diperoleh dari orang penjualan, distributor, dan pelanggan
PROSES PERAMALAN 1. Penentuan tujuan, yaitu penentuan estimasi yang diinginkan. Hal ini tergantung dari informasi dari para manajer 2. Pengembangan model, merupakan kerangka analitis yang apabila dimasukkan data (input data), maka menghasilkan estimasi di waktu mendatang. Contoh: Perusahaan ingin meramal penjualan yang perilakunya berbentuk linear Penjualan = A + BX (X =waktu, A dan B = parameter yg menggambarkan posisi dan kemiringan garis pada grafik) 3. Pengujian model, untuk menentukan tingkat akurasi, validitas dan reliabilitas yang diharapkan. Nilai suatu model ditentukan oleh derajat ketepatan hasil peramalan dengan kenyataan (actual)
4. Penerapan model, perlu dimasukkan data historik guna menghasilkan suatu ramalan. 5. Revisi dan evaluasi, perbaikkan mungkin diperlukan karena adanya perubahan-perubahan yang terjadi di lingkungan perusahaan, seperti tingkat harga, karakteristik produk, kebijakan pemerintah, dll. Sedangkan evaluasi ditujukan untuk pembandingan peramalan dengan hasil nyata, sehingga dapat menilai ketepatan penggunaan suatu metodologi atau teknik peramalan
Teknik-Teknik Peramalan Teknik Kualitatif : berdasarkan pada estimasi dan pendapat-pendapat. Berbagai sumber pendapat yang baik bagi peramalan kondisi bisnis adalah sebagai berikut : • • Para eksekutif Orang-orang bagian penjualan Para langganan Para ahli berbagai bidang, misal : konsultan manajemen
Contoh Teknik Kualitatif 1. Juri dari Opini Eksekutif : metode ini mengambil opini atau pendapat dari sekelompok kecil manajer puncak/top manager (pemasaran, produksi, teknik, keuangan dan logistik), yang seringkali dikombinasikan dengan model-model statistik. 2. Gabungan Tenaga Penjualan : setiap tenaga penjual meramalkan tingkat penjualan di daerahnya, yang kemudian digabung pada tingkat provinsi dan nasional untuk mencapai ramalan secara menyeluruh.
3. Metode Delphi : dalam metode ini serangkaian kuesioner disebarkan kepada responden, jawabannya kemudian diringkas dan diberikan kepada para ahli untuk dibuat peramalannya. 4. Survai Pasar (market survey) : Masukan diperoleh dari konsumen atau konsumen potensial terhadap rencana pembelian pada periode yang diamati. Survai dapat dilakukan dengan kuesioner, telepon, atau wawancara langsung.
Analisis Kuantitatif Metode Peramalan Kuantitatif dapat dikelompokkan dua jenis : (1) model seri waktu / metode deret berkala (time series) metode yang dipergunakan untuk menganalisis serangkaian data yang merupakan fungsi dari waktu, contoh : Rata-rata bergerak (moving averages), Penghalusan eksponensial (exponential smoothing), Proyeksi trend (trend projection) (2) model / metode kausal (causal/explanatory model), mengasumsikan variabel yang diramalkan menunjukkan adanya hubungan sebab akibat dengan satu atau beberapa variabel bebas (independent variable). Contoh : Analisis regresi
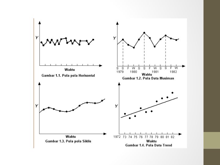
Pola data metode deret berkala (1) 1. Pola horisontal (H) terjadi bilamana data berfluktuasi disekitar nilai rata-rata yg konstan. Suatu produk yg penjualannya tdk meningkat atau menurun selama waktu tertentu termasuk jenis ini. Pola khas dari data horizontal atau stasioner seperti ini dapat dilihat dalam Gambar 1. 1. 2. Pola musiman (S) terjadi bilamana suatu deret dipengaruhi oleh faktor musiman (misalnya kuartal tahun tertentu, bulanan, atau hari-hari pada minggu tertentu). Penjualan dari produk seperti minuman ringan, es krim, dan bahan bakar pemanas ruang semuanya menunjukkan jenis pola ini. Untuk pola musiman kuartalan dapat dilihat Gambar 1. 2.
Pola data metode deret berkala (2) 3. Pola siklis (C) terjadi bilamana datanya dipengaruhi oleh fluktuasi ekonomi jangka panjang seperti yang berhubungan dengan siklus bisnis. Contoh: Penjualan produk seperti mobil, baja, dan peralatan utama lainnya. Jenis pola ini dapat dilihat pada Gambar 1. 3. 4. Pola trend (T) terjadi bilamana terdapat kenaikan atau penurunan sekuler jangka panjang dalam data. Contoh: Penjualan banyak perusahaan, GNP dan berbagai indikator bisnis atau ekonomi lainnya. Jenis pola ini dapat dilihat pada Gambar 1. 4.
Persyaratan Penggunaan Metode Kuantitatif: 1. Tersedia informasi tentang masa lalu. 2. Informasi tersebut dapat di kuantitatifkan dalam bentuk data numerik. 3. Dapat diasumsikan bahwa beberapa aspek pola masa lalu akan terus berlanjut di masa mendatang.
Metode Analisis Kuantitatif Rata-rata Bergerak (Moving Averages - MA) • • • Metode ini menggunakan n nilai data terbaru dalam suatu deret berkala untuk meramalkan periode yang akan datang. Rata-rata perubahan atau pergerakan sebagai observasi baru. Penghitungan rata-rata bergerak adalah sebagai berikut:
Contoh Metode Moving Average Bulan Jan Feb Mar Apr Mei Jun Jul t dt MA 3 bulan MA 5 bulan 1 10 - 2 12 - 3 13 - 4 16 (10+12+13)/3=11, 66 5 19 (12+13+16)/3=13, 66 - 6 23 (13+16+19)/3=16, 00 (10+12+13+16+19)/5 = 14 7 26 (16+19+23)/3=19, 33 (12+13+16+19+23)/5 = 16, 6
METODE ANALISIS KUANTITATIF (cont. ) 2. Rata-rata Bergerak Tertimbang (Weighted Moving Averages) • Melibatkan penimbang untuk setiap nilai data dan kemudian menghitung rata-rata penimbang sebagai nilai peramalan. • Contoh, rata-rata bergerak terimbang 3 periode dihitung sebagai berikut Ft+1 = w 1(Yt-2) + w 2(Yt-1) + w 3(Yt) dimana jumlah total penimbang/bobot (nilai w) = 1.
• Contoh metode rata-rata bergerak tertimbang: Dalam suatu periode 4 bulanan ramalan paling baik dicapai dengan menggunakan bobot 40% untuk penjualan nyata bulan paling akhir, 30% untuk dua bulan sebelumnya, 20% untuk tiga bulan sebelumnya, 10% untuk 4 bulan sebelumnya. Bila data penjualannya nyata sbb: Waktu Penjualan 1 100 2 90 3 105 4 95 5 ?
Ramalan Untuk bulan ke 5 sebesar : F 5 = 0. 4 (95) + 0. 3(105) + 0. 2(90) +0. 10(100) = 38 + 31, 5 + 18 + 10 = 97, 5
METODE ANALISIS KUANTITATIF (cont. ) 3. Penghalusan Eksponensial (Exponential Smoothing) • Merupakan kasus khusus dari metode Rata-rata Bergerak Tertimbang dimana penimbang dipilih hanya untuk observasi terbaru. • Metode peramalan dengan menambahkan parameter alpha dalam modelnya untuk mengurangi faktor kerandoman. • Penimbang yang diletakkan pada observasi terbaru adalah nilai konstanta penghalusan, α.
METODE ANALISIS KUANTITATIF (cont. ) 3. Penghalusan Eksponensial (Exponential Smoothing) (Lanjutan) Rumus: Ft+1 = αYt + (1 - α)Ft dimana Ft+1 = nilai peramalan untuk periode t+1 Yt = nilai sebenarnya untuk periode t+1 Ft = nilai peramalan untuk periode t α = konstanta penghalusan (0 < α < 1)
METODE ANALISIS KUANTITATIF (cont. ) CONTOH : BENAYU SEMINARS, INC. • Benayu Seminars bergerak dalam manajemen penyelenggaraan seminar. Untuk keperluan perencanaan pendapatan dan biaya pada masa mendatang yang lebih baik, pihak manajemen ingin membangun model peramalan untuk seminar “Manajemen Waktu”. Pendaftar pada 10 seminar “MW” terakhir adalah: Seminar 1 2 3 4 5 6 7 8 9 10 Pendaftar 34 40 35 39 41 36 33 38 43 40
METODE ANALISIS KUANTITATIF (cont. ) CONTOH : BENAYU SEMINARS, INC. • Penghalusan Eksponensial (Exponential Smoothing) Misal α = 0. 2, F 1 = Y 1 = 34 F 2 = α Y 1 + (1 - α)F 1 = 0. 2(34) + 0. 8(34) = 34 F 3 = α Y 2 + (1 - α)F 2 = 0. 2(40) + 0. 8(34) = 35. 20 F 4 = α Y 3 + (1 - α)F 3 = 0. 2(35) + 0. 8(35. 20) = 35. 16 . . . dan seterusnya
METODE ANALISIS KUANTITATIF (cont. ) CONTOH : BENAYU SEMINARS, INC. Seminar Pendaftar Ramalan dg Exp. Smoothing 1 34 2 40 3 35 4 39 5 41 6 36 7 33 8 38 9 43 10 40 11 Ramalan untuk seminar y. a. d = 34. 00 35. 20 35. 16 35. 93 36. 94 36. 76 36. 00 36. 40 37. 72 38. 18
METODE ANALISIS KUANTITATIF (cont. ) CONTOH : BENAYU SEMINARS, INC.
PROYEKSI TREN DENGAN PERSAMAAN TREN LINIER • Persamaan Tren Linier: Tt = b 0 + b 1 t dimana Tt = nilai tren pada periode t (sebagai variabel tak bebas/dependent variabel) b 0 = intercept garis tren b 1 = slope/kemiringan garis tren t = waktu (sebagai variabel bebas/independent variable)
PROYEKSI TREN DENGAN PERSAMAAN TREN LINIER - L • Penghitungan Slope (b 1) dan Intercept (b 0) dan dimana Yt = nilai sebenarnya pada periode t n = banyaknya periode dalam deret berkala
PROYEKSI TREN DENGAN PERSAMAAN TREN LINIER - L CONTOH : PENJUALAN PRODUK “X” • Manajemen perusahaan penghasil produk “X” ingin membuat metode peramalan yang dapat mengontrol stok produk mereka dengan baik. Penjualan tahunan (banyaknya produk “X” terjual) dalam 5 tahun terakhir adalah sebagai berikut: Tahun Penjualan 1 11 2 14 3 20 4 26 5 34
PROYEKSI TREN DENGAN PERSAMAAN TREN LINIER - L CONTOH : PENJUALAN PRODUK “X” (Lanjutan) • Prosedur penghitungan untuk mencari b 0 dan b 1 t Yt t 2 1 11 11 1 2 14 28 4 3 20 60 9 4 26 104 16 5 34 170 25 105 373 55 Total
PROYEKSI TREN DENGAN PERSAMAAN TREN LINIER - L CONTOH : PENJUALAN PRODUK “X” (Lanjutan) • Menggunakan rumus penghitungan untuk b 0 dan b 1 diperoleh: sehingga Tt = 3, 6 + 5, 8 t • Perkiraan penjualan pada tahun ke-6 = T 6 = 3, 6 + (5, 8)(6) = 38, 4
PROYEKSI TREN DENGAN PERSAMAAN TREN LINIER - L CONTOH : PENJUALAN PRODUK “X” (Lanjutan)
model / metode kausal (causal/explanatory model) Regresi Linier Dalam metode regresi linear, pola hubungan antara suatu variabel yang mempengaruhinya dapat dinyatakan dengan suatu garis lurus. Persamaan regresi linear dapat dinyatakan sbb: Y = a + bx a = b = Dengan : Y = Besarnya nilai yang diramal a = Nilai trend pada periode dasar b = Tingkat perkembangan nilai yang diramal x = Unit tahun yang dihitung dari periode dasar
Contoh Soal • Berikut ini data mengenai pengalaman kerja dan penjualan • X=pengalaman kerja (tahun) • Y=omzet penjualan (ribuan) X 2 3 2 5 6 1 4 1 Y 5 8 8 7 11 3 10 4 • Tentukan nilai a dan b (gunakan ketiga cara)! • Buatkan persamaan regresinya! • Berapa omzet pengjualan dari seorang karyawan yg pengalaman kerjanya 3, 5 tahun
Penyelesaian : X Y 2 5 3 8 2 8 5 7 6 11 1 3 4 10 1 4 24 Cara 1. 56 X 2 4 9 4 25 36 1 16 1 96 Y 2 25 64 64 49 121 9 100 16 448 XY 10 24 16 35 66 3 40 4 198 Cara 2.
Cara 3 a. b. c. Dari ketiga cara pengerjaan tersebut diperoleh nilai a = 3, 25 dan nilai b = 1, 25 Persamaan regresi linearnya adalah Y=3, 25+1, 25 X Nilai duga Y, jika X=3, 5 adalah Y=3, 25+1, 25 X Y=3, 25+1, 25(3, 5) =7, 625
Koefisien Determinasi (R 2) Nilai determinasi (R 2) sebesar 0, 6696, artinya sumbangan atau pengaruh pegalaman Kerja terhadap naik turunnya omzet penjualan adalah sebesar 66, 96%. Sisanya 33, 04% Disebabkan oleh faktor lain yang tidak dimasukkan dalam model.
TUGAS (1) model seri waktu / metode deret berkala (time series) metode yang dipergunakan untuk menganalisis serangkaian data yang merupakan fungsi dari waktu, contoh : Rata-rata bergerak (moving averages), Penghalusan eksponensial (exponential smoothing), Proyeksi trend (trend projection) (2) model / metode kausal (causal/explanatory model), mengasumsikan variabel yang diramalkan menunjukkan adanya hubungan sebab akibat dengan satu atau beberapa variabel bebas (independent variable). Contoh : Analisis regresi 3) Penggunaan Aplikasi Komputer untuk peramalan