PENGENALAN JELMAAN LAPLACE SONGSANG EET 1024 Jelmaan Laplace

  • Slides: 28
Download presentation
PENGENALAN JELMAAN LAPLACE SONGSANG EET 102/4

PENGENALAN JELMAAN LAPLACE SONGSANG EET 102/4

Jelmaan Laplace Songsang l Persamaan umum bagi F(s) Numerator (Pengatas) Denominator (Pembawah)

Jelmaan Laplace Songsang l Persamaan umum bagi F(s) Numerator (Pengatas) Denominator (Pembawah)

Punca-punca bagi N(s)=0 dipanggil sifar (zeros) l Punca-punca bagi D(s)=0 dipanggil kutub (poles) l

Punca-punca bagi N(s)=0 dipanggil sifar (zeros) l Punca-punca bagi D(s)=0 dipanggil kutub (poles) l

l Pengembangan pecahan separa (partial fraction expansion, PFE) digunakan untuk memecahkan F(s) kepada bentuk

l Pengembangan pecahan separa (partial fraction expansion, PFE) digunakan untuk memecahkan F(s) kepada bentuk mudah yang terdapat dalam Jadual Jelmaan Laplace (Jadual 15. 2)

Langkah utk mendapatkan J. L. Songsang 1. 2. Bentukkan semula F(s) kepada bentuk mudah

Langkah utk mendapatkan J. L. Songsang 1. 2. Bentukkan semula F(s) kepada bentuk mudah menggunakan PFE. Dapatkan songsangan setiap bentuk menggunakan Jadual 15. 2

Contoh 1 l Dptkan J. L. songsang untuk

Contoh 1 l Dptkan J. L. songsang untuk

3 keadaan yang mungkin utk PFE 1. 2. 3. Kutub ringkas Kutub yang berulang

3 keadaan yang mungkin utk PFE 1. 2. 3. Kutub ringkas Kutub yang berulang Kutub kompleks

Penyelesaian

Penyelesaian

Contoh 2 (kutub ringkas) l Dptkan f(t) untuk fungsi berikut

Contoh 2 (kutub ringkas) l Dptkan f(t) untuk fungsi berikut

Penyelesaian l Bentukkan semula F(s) kepada bentuk mudah

Penyelesaian l Bentukkan semula F(s) kepada bentuk mudah

2 cara utk mendapatkan A, B, C Kaedah baki (residue)

2 cara utk mendapatkan A, B, C Kaedah baki (residue)

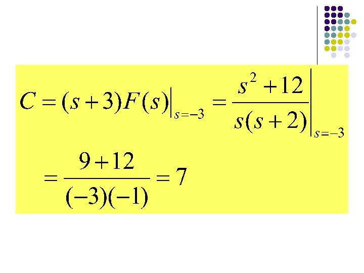
Kaedah algebra Darabkan kedua belah dgn s(s+2)(s+3)

Kaedah algebra Darabkan kedua belah dgn s(s+2)(s+3)

l Maka l Jelmaan Laplace songsang

l Maka l Jelmaan Laplace songsang

Contoh 2 (kutub berulang) l Dptkan v(t) jika diberi

Contoh 2 (kutub berulang) l Dptkan v(t) jika diberi

l Bentukkan semula kpd bentuk mudah

l Bentukkan semula kpd bentuk mudah

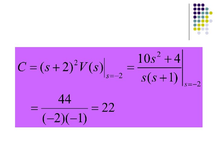
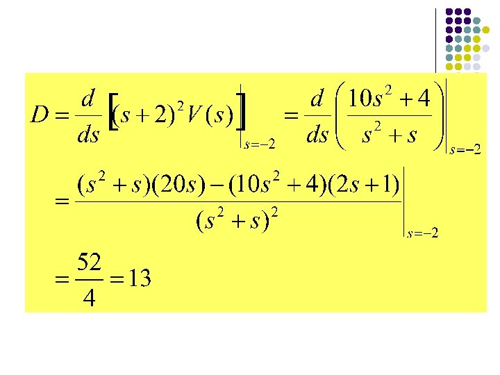
l Kaedah residue

l Kaedah residue

Diperolehi, Jelmaan Laplace songsang

Diperolehi, Jelmaan Laplace songsang

Contoh 4 (kutub kompleks) l Dapatkan jelmaan Laplace songsang bagi fungsi berikut:

Contoh 4 (kutub kompleks) l Dapatkan jelmaan Laplace songsang bagi fungsi berikut:

Penyelesaian l Dlm contoh ini, H(s) mempunyai sepasang kutub kompleks pada s 2+8 s+25=0

Penyelesaian l Dlm contoh ini, H(s) mempunyai sepasang kutub kompleks pada s 2+8 s+25=0 atau s=-4±jω

Kaedah algebra l Darabkan dua belah:

Kaedah algebra l Darabkan dua belah:

l Diperolehi pemalar l Maka,

l Diperolehi pemalar l Maka,

l Jelmaan songsang:

l Jelmaan songsang: