Penetration depth of quasistatic Hfield into a conductor






![A periodic field varies as Exp[-iwt] Two limits 1. “low” frequencies 2. “high” frequencies A periodic field varies as Exp[-iwt] Two limits 1. “low” frequencies 2. “high” frequencies](https://slidetodoc.com/presentation_image_h/d3c2ea3e0b52a5d87e57c62e5ffee7c6/image-7.jpg)

































- Slides: 40
Penetration depth of quasi-static H-field into a conductor Section 59
Consider a good conductor in an external periodic magnetic field The conductor is penetrated by the H-field, which induces a variable E-field, which causes “eddy” currents.
Penetration of field is determined by thermal conduction equation Thermometric conductivity Temperature propagates a distance in time t.
Quiz: How does the propagation of heat depend on time? 1. Linearly 2. Quadratic 3. Square root
Since H satisfies the same heat conduction equation Then H penetrates a conductor to a characteristic depth (Ignore the factor 2. ) Induced E and eddy currents penetrate to the same depth Characteristic time that H has a given polarity
Quiz: How does the skin depth depend on frequency? 1. Inverse 2. Square root 3. Inverse Square root
A periodic field varies as Exp[-iwt] Two limits 1. “low” frequencies 2. “high” frequencies (still below THz) What part of the electromagnetic spectrum corresponds to THz? X-ray, UV, Visible, near-IR, Mid-IR, Long-wave-IR, far-IR, sub-mm, mm-waves, microwaves, UHF, VHF, HF?
Low frequency limit (Periodic fields) This is the same equation as holds in the static case, when w = 0.
The solution to the static problem is HST(r), which is independent of w. The solution of the slow periodic problem is HST(r)Exp[-iwt], i. e. the field varies periodically in time at every point in the conductor with the same frequency and phase. Low frequency recipe 1. Solve for the static H field 2. Multiply by Exp[-iwt] 3. Find E-field by Faraday’s law 4. Find j by Ohm’s law H completely penetrates the conductor
In zeroth approximation, E = 0 inside conductor s Ohm’s law Maxwell’s equation (29. 7) for static H-field
E-field and eddy currents appear inside the conductor in the next approximation Equations for E in the low frequency limit E ~ w in the low frequency limit The spatial distribution of E(r) is determined by the distribution of the static solution HST(r) Not zero in the next approximation Eddy currents By Ohm’s law
High frequency limit We are still in the quasi-static approximation, which requires = electron relaxation (collision) time AND >> electron mean free path This means frequencies << THz. This is far-infrared, or sub-mm waves
In the high frequency limit H penetrates only a thin outer layer of the conductor
To find the field outside the conductor, assume exactly This is the superconductor problem (section 53), where field outside a superconductor is determined by the condition B = 0 inside.
Then, to find the field inside the conductor Consider small regions of the surface to be planes
To find the field that penetrates, we need to know it just outside, then use boundary conditions The field outside is In vacuum, m=1 H 0(r) is the solution to the superconductor problem What is H 0(r) near the surface?
In considering B(e)(r), we assumed B(i) = 0. Since div(B) = 0 always, The following boundary condition always applies Just outside the conductor surface in the high frequency quasi-static case, Bn(e) = 0. Thus, H 0, n = 0, and H 0(r) must be parallel to the surface. Same boundary condition as for superconductor
At high frequencies, m ~ 1. The boundary condition is then So H on both sides of the surface is (Parallel to the surface)
A small section of the surface is considered plane, with translational invariance in x, y directions. Then H = H(z, t) =0 =0 (for homogeneous linear medium) Hz does not change with z inside. Since Hz = 0 at z = 0, Hz = 0 everywhere inside. The equation satisfied by quasi-static H is
Possible solutions of SHO equation are oscillating functions. This one decreases exponentially with z This one diverges with z. Discard. Inside conductor, high w limit
From H inside, we now find E-field inside (high frequency limit) Phase shift
Magnitudes Compare vacuum to metal • For electromagnetic wave in vacuum • E = H (Gaussian units) • E and H are in phase • For high frequency quasi-static limit in metal Not in phase
Linearly polarized field: Take Phase can be made zero by shifting the origin of time. Then H 0 is real. Then Wavelength in metal is d, not l. But d is also the characteristic damping length. Not much of a wave!
E and j have the same distribution E and j lead H by 45 degrees
Quiz: At a given position within a conductor the low frequency limit, how does the electric field depend on frequency? 1. Increases linearly with f. 2. Increases as the square root of f. 3. Decreases as the inverse square root of f.
At a given position within a conductor the high frequency limit, how does the electric field depend on frequency? 1. Increases as Sqrt[f] 2. Decreases as Exp[-const*Sqrt[f]] 3. Decreases as Sqrt[f] *Exp[-const*Sqrt[f]]
High frequency electric field in a conductor Complex “surface impedance” of a conductor
Eddy currents dissipate field energy into Joule heat Heat loss per unit time Also Conductor surface We are going to use both of these equations to find w dependence of Q in the two limits. Mean field energy entering conductor per unit time
Low frequency limit: ~
High frequency limit: Homework ~
Quiz: In low frequency fields, how does the rate of Joule heating for a metal depend on frequency? 1. Decreases as inverse square root of f 2. Increases linearly in f 3. Increases as f 2
In high frequency fields, how does the rate of Joule heating for a metal depend on frequency? 1. Increases as square root of f 2. Decreases as 1/f 3. Increases as f 2
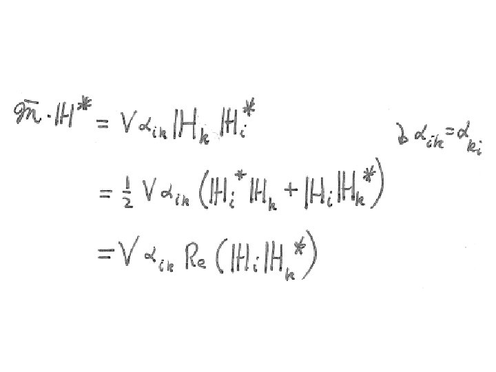
A conductor acquires a magnetic moment in a periodic external H-field with the same period. Rate of change of free energy The change in free energy is due to 1. Dissipation 2. Periodic flow of energy between the body and the external field Time averaging the change leaves just dissipation
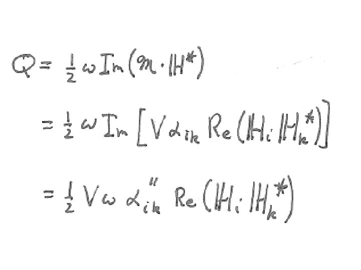
The mean dissipation of energy per unit time is
Depends on shape and orientation of the body Complex Symmetric Magnetic polarizability tensor for the body as a whole
Dissipation is determined by the imaginary part of the magnetic polarizability infrared
Magnetic moment of a conductor is due to conduction currents induced by the variable external H-field.
Quiz: What is a possible frequency dependence for the electric field at a given point inside a metal? . P