Part 2 Exploratory Data Analysis Chapter 2 Summarising



















- Slides: 19
Part 2 Exploratory Data Analysis Chapter 2 Summarising Data: Summary Tables and Graphs © Juta and Company Ltd, 2012 Applied Business Statistics Methods and Excel-Based Applications 3 rd Edition 1
• Introduction © Juta and Company Ltd, 2012 Applied Business Statistics Methods and Excel-Based Applications 3 rd Edition 2
• Summarising Categorical Data – Single Categorical Variable © Juta and Company Ltd, 2012 Applied Business Statistics Methods and Excel-Based Applications 3 rd Edition 3
• Summarising Categorical Data continued – Two Categorical Variables © Juta and Company Ltd, 2012 Applied Business Statistics Methods and Excel-Based Applications 3 rd Edition 4
© Juta and Company Ltd, 2012 Applied Business Statistics Methods and Excel-Based Applications 3 rd Edition 5
© Juta and Company Ltd, 2012 Applied Business Statistics Methods and Excel-Based Applications 3 rd Edition 6
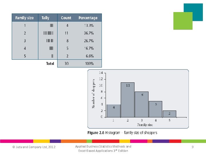
• Summarising Numeric Data – Single Numeric Variable © Juta and Company Ltd, 2012 Applied Business Statistics Methods and Excel-Based Applications 3 rd Edition 7
© Juta and Company Ltd, 2012 Applied Business Statistics Methods and Excel-Based Applications 3 rd Edition 8
© Juta and Company Ltd, 2012 Applied Business Statistics Methods and Excel-Based Applications 3 rd Edition 9
© Juta and Company Ltd, 2012 Applied Business Statistics Methods and Excel-Based Applications 3 rd Edition 10
© Juta and Company Ltd, 2012 Applied Business Statistics Methods and Excel-Based Applications 3 rd Edition 11
• Summarising Numeric Data continued – Two Numeric Variables © Juta and Company Ltd, 2012 Applied Business Statistics Methods and Excel-Based Applications 3 rd Edition 12
© Juta and Company Ltd, 2012 Applied Business Statistics Methods and Excel-Based Applications 3 rd Edition 13
• The Pareto Curve © Juta and Company Ltd, 2012 Applied Business Statistics Methods and Excel-Based Applications 3 rd Edition 14
• Using Excel (2007) to Produce Summary Tables and Charts © Juta and Company Ltd, 2012 Applied Business Statistics Methods and Excel-Based Applications 3 rd Edition 15
© Juta and Company Ltd, 2012 Applied Business Statistics Methods and Excel-Based Applications 3 rd Edition 16
© Juta and Company Ltd, 2012 Applied Business Statistics Methods and Excel-Based Applications 3 rd Edition 17
• Summary • Exercises © Juta and Company Ltd, 2012 Applied Business Statistics Methods and Excel-Based Applications 3 rd Edition 18
End of Chapter 2 Applied Business Statistics Methods and Excel-based Applications Third edition TREVOR WEGNER ISBN 978 -0 -70217 -774 -3 © Juta and Company Ltd, 2012 Applied Business Statistics Methods and Excel-Based Applications 3 rd Edition 19