PARETE CELLULARE FUNZIONI DELLA PARETE CELLULARE Conferimento della

































- Slides: 33
PARETE CELLULARE
FUNZIONI DELLA PARETE CELLULARE Conferimento della forza meccanica Mantenimento della forma Controllo dell’espansione Controllo del trasporto intercellulare Protezione da microorganismi patogeni Produzione di molecole segnale Immagazzinamento di sostanze di riserva
LA PARETE CELLULARE LAMELLA MEDIANA Si forma nelle fasi finali della mitosi ed è comune a cellule contigue PARETE PRIMARIA Si forma nelle cellule in crescita Struttura simile in tutte le cellule Spessore da 0. 1 µm a 1 µm PARETE SECONDARIA Tipica delle cellule che hanno completato il processo di sviluppo È formata da più strati Ha una composizione e struttura altamente variabile (lignina)
cellulosa polimero lineare di D(+)glucosio in legame (1 4) costituisce circa il 30% del peso delle pareti primarie struttura a microfibrille il grado di cristallizzazione e polimerizzazione è più elevato nelle pareti secondarie l’orientamento delle microfibrille di nuova sintesi è perpendicolare all’asse di crescita della cellula
lunghezza catene: da circa 20000 residui di glucosio dimensioni microfibrille: da circa 30 catene (alghe) a circa 200 catene diametro 5 -15 nm)
complesso enzimatico della cellulosa sintasi
MATRICE fase amorfa della parete alto contenuto in H 2 O polisaccaridi proteine emicellulose pectine HRGP (estensine) GRP PRP AGP
EMICELLULOSE gruppo eterogeneo di polisaccaridi alta variabilità (tessuti, specie) XILOGLUCANI XILANI GLUCANI MANNANI GLUCOMANNANI
PROTEINE DELLA PARETE ESTENSINA (HRGP) motivo Ser-(Hyp)4 residui di idrossiprolina glicosilati (arabinosio) alcune serine glicosilate (galattosio) forma legami intermolecolari insolubile FUNZIONI limitazione dell’estensione cellulare resistenza a patogeni PRP (proline -rich protein) GRP (glycine -rich protein)
i diversi tipi di legame tra i componenti della parete
modello trama-ordito
PARETE SECONDARIA cessazione crescita ispessimento della parete primaria per stratificazione di materiale • forma cellulare • sostegno meccanico della pianta • difesa • riduzione della traspirazione componenti: cellulosa (in strati sovrapposti) cuticola (cutina e cere) suberina lignina
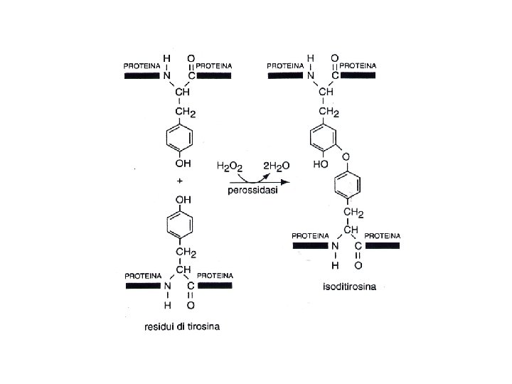
LIGNINA polimero di natura fenolica costituenti: alcol coniferilico alcol sinapilico alcol cumarilico
la polimerizzazione avviene mediante un meccanismo ossidativo che comporta la formazione di radicali liberi perossidasi: emoproteina H 2 O 2 -dipendente laccasi: ossidasi O 2 -dipendente
LA CRESCITA PER DISTENSIONE AUMENTO DELLE DIMENSIONI SENZA DIVISIONE CELLULARE CONSENTE ALLE PIANTE DI RAGGIUNGERE DIMENSIONI NOTEVOLI CON RISPARMIO ENERGETICO E BIOSINTETICO (espansione della superfice fogliare per la cattura della energia luminosa)
Il vacuolo accumula sostanze aumenta la concentrazione osmotica determinando una diminuzione del potenziale idrico vacuolo Se la parete si rilassa, sotto la spinta del turgore la cellula aumenta di volume aumento della P di turgore CRESCITA PER DISTENSIONE
IL FATTORE DI RILASSAMENTO ELLA PARETE E’ IL PROTONE INFATTI LA CRESCITA PER DISTENSIONE E’ CHIAMATA ANCHE CRESCITA ACIDA LA CRESCITA E’ ACCOMPAGNATA DA UN ABBASSAMENTO DEL p. H DELLA PARETE CELLULARE
H+-ATPasi di plasmalemma Estrude protoni nello spazio di parete idrolizzando ATP nel citosol
RUOLI FISIOLOGICI DELL’H+-ATPasi DI PLASMALEMMA Mantenimento del p. H del citoplasma Generazione del potenziale di membrana
RUOLO FISIOLOGICO DELL’H+-ATPasi DI PLASMALEMMA forza guida per sistemi di trasporto di ioni e nutrienti (trasporto attivo) Caricamento del floema
RUOLO FISIOLOGICO DELL’H+-ATPasi DI PLASMALEMMA apertura e chiusura degli stomi
RUOLO FISIOLOGICO DELL’H+-ATPasi DI PLASMALEMMA crescita per distensione H+ H+ H+ H H + H+ H+ H+ H+ H + H+ H+
H+-ATPasi F-ATPasi dei mitocondri e dei cloroplasti. Sfruttano il p. H per la sintesi di ATP V-ATPasi, presente nel tonoplasto. Pompa i protoni all’interno del vacuolo, generando la forza motrice per diversi sistemi di trasporto P-ATPasi, presente sulla membrana plasmatica (traspoto ionico)