PANGKAT DAN AKAR UMI KULSUM S Pd BAB
PANGKAT DAN AKAR UMI KULSUM, S. Pd
BAB 1 PANGKAT DAN AKAR 1. Bilangan Berpangkat a. Pangkat bulat positif dan negatif 1. an = a x a x ……………x a Sebanyak n faktor 2. dengan a ≠ 0
Contoh : 1. 42 = 4 x 4 = 16 2.
b. Bilangan pecahan berpangkat bilangan bulat dengan a ≠ 0, b ≠ 0, dan n>0 dengan a ≠ 0, b ≠ 0, dan n > 0 dengan a ≠ 0, b ≠ 0
Contoh : = 1000
c. Bilangan bulat berpangkat bilangan pecahan
Contoh : Karena 42 = 16
2. Menyelesaikan Operasi Pangkat Tak Sebenarnya a. Operasi perpangkatan (1). a 0 = 1, dengan a ≠ 0 (3). am x an= a m + n (4). (am )n= a m x n
(7). (a x b)m = am x a
Contoh : 1. Sederhanakanlah masing-masing bentuk di bawah ini dan tuliskan hasilnya dalam bentuk pangkat positif a. x 5. X-1 b. (a 2 b 3)-4 c. Jawab : a. x 5. x-1 = x 5 -1 = x 4 b. (a 2 b 3)-4 = (a 2)-4. (b -3)-4 = a-8. b 12
c.
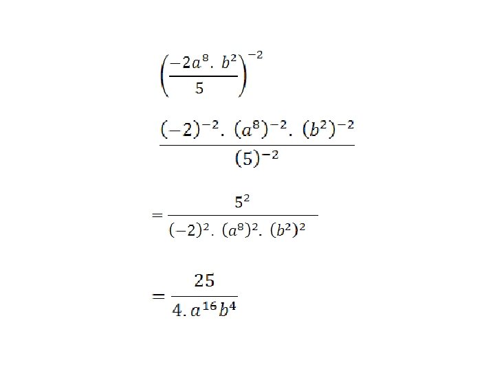
2. Sederhanakanlah : Jawab : (Mengubah bentuk dalam kurung ke dalam pangkat positif)
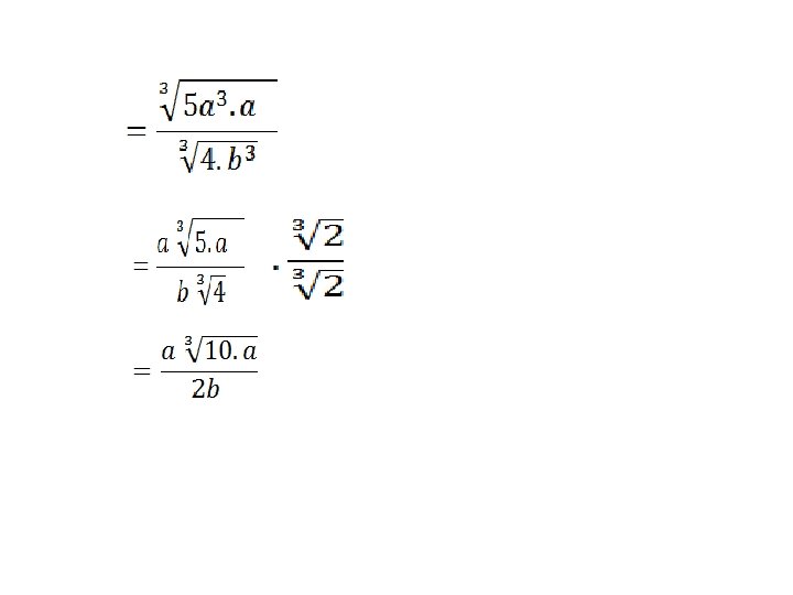
3. Sederhanakanlah dan tuliskan jawabannya dalam bentuk pangkat pecahan positif : Jawab :
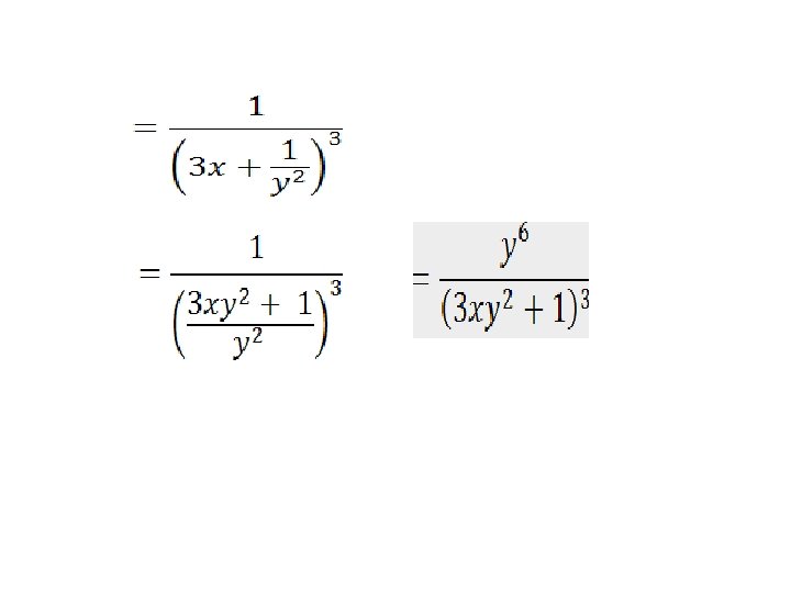
b. Bentuk Multinomial Bentuk multinomial adalah bentuk aljabar yang variabelnya lebih dari dua. Contoh : 1. Sederhanakanlah : (3 x + y-2)-3
C. Bentuk Akar 1. Sifat – sifat Perpangkatan dalam Bentuk Akar Untuk m dan n bilangan bulat positif, berlaku :
Contoh 1. Sederhanakanlah bentuk sederhana. Jawab. kebentuk akar
Contoh 2. Sederhanakanlah : Jawab.
= 2. a. b. b = 2 ab 2
Contoh 3. Sederhanakanlah : Jawab.
Contoh 4. Sederhanakanlah : Jawab.
d. Mereduksi Induk Sebuah Akar Ingat : Contoh 1. Sederhanakanlah : Jawab.
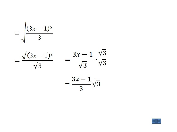
Contoh 2. Sederhanakanlah bentuk polinom berikut : Jawab.
e. Operasi Bentuk Akar Ingat :
Contoh 1. Hitunglah : Jawab.
Contoh 2. Sederhanakanlah bentuk : Jawab.
3. Persamaan Eksponen dan Persamaan Bentuk Akar Persamaan eksponen adalah bentuk perpangkatan dimana eksponennya berbentuk aljabar. Contoh 1. Tentukan nilai x dari persamaan :
Jawab. X=2 2 x + 2 = 9 x - 12 -7 x = -14
Contoh 2. Selesaikanlah : Jawab. 3 x – 4 = 25 3 x = 29
Contoh 3. Carilah nilai x yang memenuhi persamaan : Jawab.
8 x + 24 = 3 x + 15 5 x = - 9
Soal-soal : Tentukanlah harga x yang memenuhi persamaan berikut :
- Slides: 36