Orthogonal Transforms Fourier Walsh Hadamard Review Introduce the

























































































































- Slides: 121
Orthogonal Transforms Fourier Walsh Hadamard
Review • Introduce the concepts of base functions: – For Reed-Muller, FPRM – For Walsh • • • Linearly independent matrix Non-Singular matrix Examples Butterflies, Kronecker Products, Matrices Using matrices to calculate the vector of spectral coefficients from the data vector
Orthogonal Functions
Illustrate it for Walsh and RM
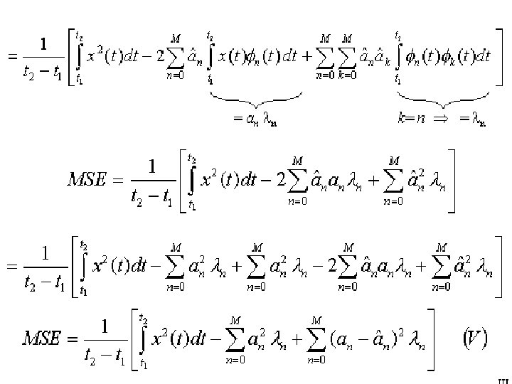
Mean Square Error
Important result
• We want to minimize this kinds of errors. • Other error measures are also used.
Unitary Transforms • Unitary Transformation for 1 -Dim. Sequence – Series representation of – Basis vectors : – Energy conservation : Here is the proof
• Unitary Transformation for 2 -Dim. Sequence – Definition : – Basis images : – Orthonormality and completeness properties • Orthonormality : • Completeness :
• Unitary Transformation for 2 -Dim. Sequence – Separable Unitary Transforms • separable transform reduces the number of multiplications and additions from to – Energy conservation
Properties of Unitary Transform transform Covariance matrix
Example of arbitrary basis functions being rectangular waves
This determining first function determines next functions
0 1
Small error with just 3 coefficients
This slide shows four base functions multiplied by their respective coefficients
This slide shows that using only four base functions the approximation is quite good End of example
Orthogonal and separable Image Transforms
Extending general transforms to 2 dimensions
Forward transform inverse transform separable
Fourier Transform separable
Extension of Fourier Transform to two dimensions
Discrete Fourier Transform (DFT) New notation
Fast Algorithms for Fourier Transform Task for students: 2 Draw the butterfly for these matrices, similarly as we have done it for Walsh and Reed-Muller Transforms Pay attention to regularity of kernels and order of columns corresponding to factorized matrices
Fast Factorization Algorithms are general and there is many of them
• 1 -dim. DFT (cont. ) – Calculation of DFT : Fast Fourier Transform Algorithm (FFT) • Decimation-in-time algorithm Derivation of decimation in time
• 1 -dim. DFT (cont. ) – FFT (cont. ) • Decimation-in-time algorithm (cont. ) Butterfly for Derivation of decimation in time Please note recursion
• 1 -dim. DFT (cont. ) – FFT (cont. ) • Decimation-in-frequency algorithm (cont. ) Derivation of Decimation-infrequency algorithm
• 1 -dim. DFT (cont. ) Decimation in frequency butterfly shows recursion – FFT (cont. ) • Decimation-in-frequency algorithm (cont. )
Conjugate Symmetry of DFT – For a real sequence, sequence the DFT is conjugate symmetry
Use of Fourier Transforms for fast convolution
Calculations for circular matrix
By multiplying
In matrix form next slide W * = Cw*
Here is the formula for linear convolution, we already discussed for 1 D and 2 D data, images
Linear convolution can be presented in matrix form as follows:
As we see, circular convolution can be also represented in matrix form
Important result
Inverse DFT of convolution
• Thus we derived a fast algorithm for linear convolution which we illustrated earlier and discussed its importance. • This result is very fundamental since it allows to use DFT with inverse DFT to do all kinds of image processing based on convolution, such as edge detection, thinning, filtering, etc.
2 -D DFT
Circular convolution works for 2 D images
Circular convolution works for 2 D images So we can do all kinds of edge-detection, filtering etc very efficiently • 2 -Dim. DFT (cont. ) – example (a) Original Image (b) Magnitude (c) Phase
• 2 -Dim. DFT (cont. ) – Properties of 2 D DFT • Separability
• 2 -Dim. DFT (cont. ) – Properties of 2 D DFT (cont. ) • Rotation (a) a sample image (b) its spectrum (c) rotated image (d) resulting spectrum
• 2 -Dim. DFT (cont. ) – Properties of 2 D DFT • Circular convolution and DFT • Correlation
• 2 -Dim. DFT (cont. ) – Calculation of 2 -dim. DFT • Direct calculation – Complex multiplications & additions : • Using separability – Complex multiplications & additions : • Using 1 -dim FFT – Complex multiplications & additions : ? ? ? Three ways of calculating 2 -D DFT
Karhunen-Leove Transform(KLT) Covariance matrix
• What happens if 1?
This happens if 1
Category of transforms These are what I called earlier transforms with standard butterflies
Discrete Cosine Transform (DCT) This is DCT
DCT is an orthogonal transformm so its inverse kernel is the same as forward kernel This is inverse DCT
DCT can be obtained from DFT
Discrete Cosine Transform is asymptotically equivalent to Karhunen-Loeve We take a 2 N-point DFT: This is why guys in industry believe that only DCT is worth their work.
Properties of DCT: real, orthogonal, energycompacting, eigenvector-based
The eigenvectors of R and Qc are very close
– Basis Functions for 1 -dim. DCT(N = 16)
There are many DCT fast algorithms and hardware designs.
There are many DCT fast algorithms and hardware designs. Many fast algorithms are available fast algorithm : Lee(1 -D), Lee-Cho(2 -D) VLSI algorithm : regularity, local interconnection, moduality ref: 1. Nam Ik Cho and Sang Uk Lee, “Fast algorithm and implementation of 2 -D DCT. ” IEEE Trans Circuits and Systems, vol. 38, no. 3, pp. 297 -305, March 1991. 2. Nam Ik Cho and Sang Uk Lee, “DCT algorithm for VLSI parallel implementation” IEEE Trans. ASSP, vol. ASSP-38, no. 1, pp. 121 -127, Jan, 1990.
Discrete Sine Transform(DST) Similar to DCT.
• 1 -dim. DST (cont. ) – Basis Functions for 1 -dim. DST (N=16)
Walsh Transform
Here we calculate the matrix of Walsh coefficients
Here we calculate the matrix of Walsh coefficients
Here we calculate the matrix of Walsh coefficients
We have done it earlier in different ways Here we calculate the matrix of Walsh coefficients
Symmetry of Walsh Think about other transforms that you know, are they symmetric?
Two-Dimensional Walsh Transform
Two-dimensional Walsh Inverse Two-dimensional Walsh
Properties of Walsh Transforms
Here is the separable 2 -Dim Inverse Walsh
Example for N=4
odd even
Discuss the importance of this figure
Hadamard Transform We will go quickly through this material since it is very similar to Walsh
separable
Example of calculating Hadamard coefficients – analogous to what was before
Standard Trivial Functions for Hadamard One change two changes
Discrete Walsh-Hadamard transform Now we meet our old friend in a new light again!
Relationship between Walsh-ordered and Hadamard-ordered
Haar Transform • Haar transform – Haar function (1910, Haar) : periodic, orthonormal, complete Nonsinusoidal orthogonal function
Slant transform
SVD(Singular Value Decomposition)
2 -D linear processing technique
Questions to Students 1. 2. You do not have to remember derivations but you have to understand the main concepts. Much software for all discussed transforms and their uses is available on internet and also in Matlab, Open. CV, and similar packages. 1. How to create an algorithm for edge detection based on FFT? 2. How to create a thinning algorithm based on DCT? 3. How to use DST for convolution – show example. 4. Low pass filter based on Hadamard. 5. Texture recognition based on Walsh