Orthogonal Transforms Fourier Cosine KL Walsh Hadamard Orthogonal























































































- Slides: 87
Orthogonal Transforms Fourier Cosine KL Walsh Hadamard
Orthogonal Functions
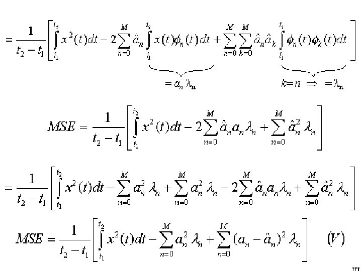
Mean Square Error
Important result
• We want to minimize this kinds of errors. • Other error measures are also used.
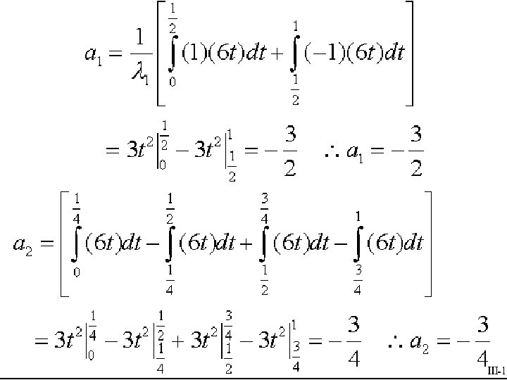
Example of arbitrary basis functions being rectangular waves
This determining first function determines next functions
0 1
Small error with just 3 coefficients
This slide shows four base functions multiplied by their respective coefficients
This slide shows that using only four base functions the approximation is quite good End of example
General Orthogonal Transforms
Extending general transforms to 2 dimensions
Orthogonal and separable Image Transforms Forward transform inverse transform separable
Unitary Transforms • Unitary Transformation for 1 -Dim. Sequence – Series representation of – Basis vectors : – Energy conservation : Here is the proof
• Unitary Transformation for 2 -Dim. Sequence – Definition : – Basis images : – Orthonormality and completeness properties • Orthonormality : • Completeness :
• Unitary Transformation for 2 -Dim. Sequence – Separable Unitary Transforms • separable transform reduces the number of multiplications and additions from to – Energy conservation
Fourier Transform separable
Extension of 1 -D Fourier Transform to two dimensions
Discrete Cosine Transform (DCT)
Discrete Cosine Transform (DCT)
Discrete Cosine Transform (Compare to WH transform)
DCT is an orthogonal transformm so its inverse kernel is the same as forward kernel
2 -D Discrete Cosine Transform
2 -D Discrete Cosine Transform
Properties of DCT: real, orthogonal, energycompacting, eigenvector-based
– Basis Functions for 1 -dim. DCT(N = 16)
There are many DCT fast algorithms and hardware designs. Many fast algorithms are available fast algorithm : Lee(1 -D), Lee-Cho(2 -D) VLSI algorithm : regularity, local interconnection, moduality ref: 1. Nam Ik Cho and Sang Uk Lee, “Fast algorithm and implementation of 2 -D DCT. ” IEEE Trans Circuits and Systems, vol. 38, no. 3, pp. 297 -305, March 1991. 2. Nam Ik Cho and Sang Uk Lee, “DCT algorithm for VLSI parallel implementation” IEEE Trans. ASSP, vol. ASSP-38, no. 1, pp. 121 -127, Jan, 1990.
Discrete Sine Transform(DST) Similar to DCT.
• 1 -dim. DST (cont. ) – Basis Functions for 1 -dim. DST (N=16)
Karhunen-Leove (KL) Transform (Principal Component Analisis, PCA) Covariance matrix
• Methodology − Suppose x 1, x 2, . . . , x. M are N x 1 vectors
• Methodology – cont.
• Linear transformation implied by KL transform − The linear transformation RN RK that performs the dimensionality reduction is: 46
Principal Component Analysis (PCA) • Geometric interpretation − PCA projects the data along the directions where the data varies the most. − These directions are determined by the eigenvectors of the covariance matrix corresponding to the largest eigenvalues. − The magnitude of the eigenvalues corresponds to the variance of the data along the eigenvector directions. 47
• Eigenvalue spectrum K λi λN 48
Principal Component Analysis (PCA) • How many principal components to keep? − To choose K, you can use the following criterion (total variations preserved) : 49
• Representing faces onto this basis 50
Walsh Transform
Here we calculate the matrix of Walsh coefficients
Here we calculate the matrix of Walsh coefficients
Here we calculate the matrix of Walsh coefficients
We have done it earlier in different ways Here we calculate the matrix of Walsh coefficients
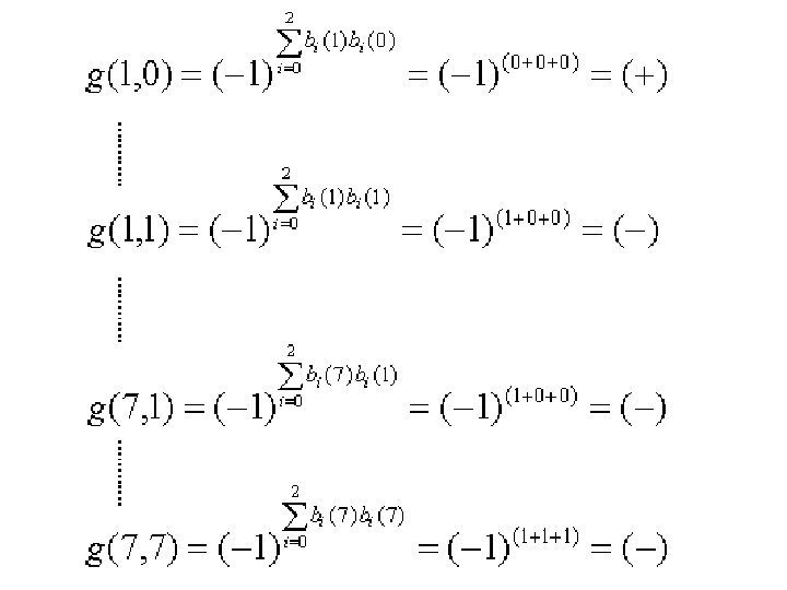
Symmetry of Walsh Think about other transforms that you know, are they symmetric?
Two-Dimensional Walsh Transform
Two-dimensional Walsh Inverse Two-dimensional Walsh
Properties of Walsh Transforms
Here is the separable 2 -Dim Inverse Walsh
Example for N=4
odd even
Discuss the importance of this figure
Hadamard Transform We will go quickly through this material since it is very similar to Walsh
separable
Example of calculating Hadamard coefficients – analogous to what was before
Standard Trivial Functions for Hadamard One change two changes
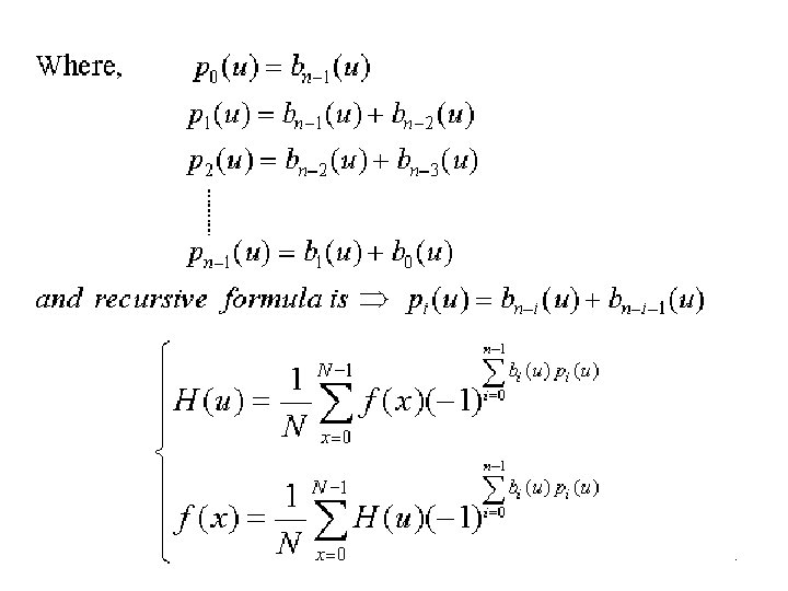
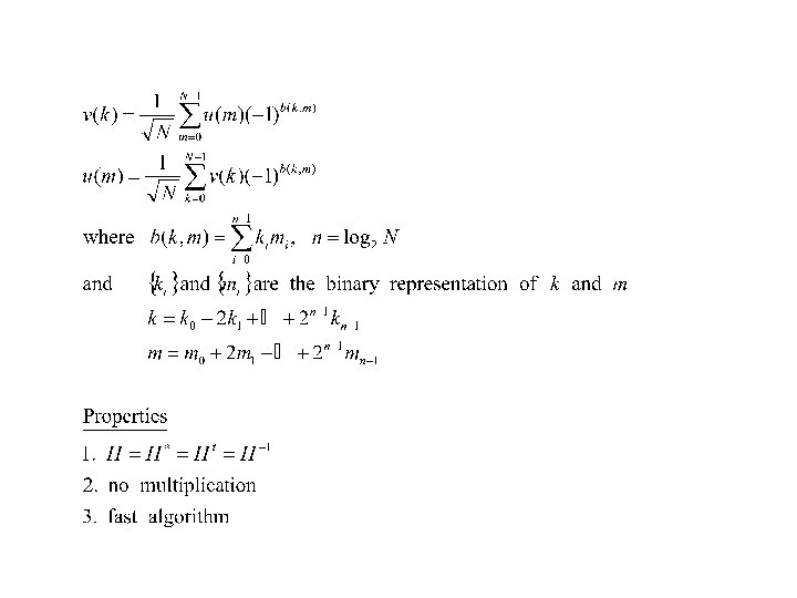
Discrete Walsh-Hadamard transform (Summary) Now we meet our old friend in a new light again!
Haar Transform • Haar transform – Haar function (1910, Haar) : periodic, orthonormal, complete Nonsinusoidal orthogonal function
Slant transform