Organic Chemistry 4 th Edition Chapter 28 Paula














































- Slides: 46
Organic Chemistry 4 th Edition Chapter 28 Paula Yurkanis Bruice Synthetic Polymers Irene Lee Case Western Reserve University Cleveland, OH © 2004, Prentice Hall
A polymer is a large molecule made by linking together repeating units of small molecules called monomers
Chain-growth polymers, also known as addition polymers, are made by chain reactions
Step-growth polymers, also called condensation polymers, are made by combining two molecules by removing a small molecule
Chain-Growth Polymers Chain-growth polymers proceed by one of three mechanisms: radical polymerization cationic polymerization anionic polymerization
Radical Polymerization
The molecular weight of the polymer can be controlled by a process known as chain transfer
Chain-growth polymerization of monosubstituted ethylenes exhibits a marked preference for head-to-tail addition
Head-to-tail addition of a substituted ethylene results in a polymer in which every other carbon bears a substituent
Head-to-tail addition is favored for steric reasons Groups that stabilize radicals also favor head-to-tail addition
Branching of the Polymer Chain
Branched polymers are more flexible
Cationic Polymerization the alkene monomer reacts with an electrophile
The carbocation intermediates formed during polymerization can undergo rearrangement
Monomers that are best able to undergo cationic polymerization are those with electron-donating substituents
Anionic Polymerization Nonterminated chains are called living polymers The chains remain active until they are killed
Ring-Opening Polymerization
Stereochemistry of Polymerization substituents on the same side substituents regularly alternate on both sides
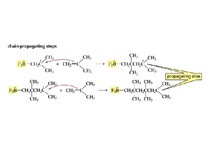
Long, unbranched polymers can be prepared using an aluminum–titanium initiator (Ziegler–Natta catalyst)
Polymerization of Dienes
Synthesis of Synthetic Rubber
The product resulting from polymerization of different monomers is called a copolymer
Four Types of Copolymers
Progress of a Step-Growth Polymerization
Nylon 6 is an example of a step-growth polymer formed by a monomer with two different functional groups
The incorporation of aromatic rings into polymers improves the physical strength of the polymers
Polyesters are step-growth polymers in which the monomer units are joined together by ester groups
Polyesters with two ester groups bonded to the same carbon are known as polycarbonates
Epoxy resins are the strongest adhesive known
A urethane (carbamate) is a compound that has an OR group and an NHR group bonded to the same carbonyl compound
Thermosetting Polymers Very strong and rigid materials can be obtained by cross-linking
Oriented Polymers These polymers are stronger than steel They can conduct electricity
Biodegradable Polymers These polymers can be broken into small segments by enzyme-catalyzed reactions
Other Polymers Thermoplastic polymers have both ordered crystalline regions and amorphous, noncrystalline regions Elastomers are polymers that stretch and then revert to the original shape Plasticizer is an organic compound that is added to a polymer to make it more flexible