Optical Link Design for Digital Communication Systems POINTTOPOINT










































- Slides: 42
Optical Link Design for Digital Communication Systems
POINT-TO-POINT LINKS The simplest transmission link is a point-to point line having a transmitter at one end a receiver on the other, as shown below: Fig: Simple point-to-point link The design of an optical link involves many interrelated variables such as the fiber, source, and photodetector operating characteristics, so that the link design and analysis may require several iterations before they are working satisfactorily.
POINT-TO-POINT LINKS The key system requirements needed in analyzing a link are: 1. The desired (or possible) transmission distance 2. The data rate or channel bandwidth 3. The bit error rate (BER) To fulfill these requirements the designer has a choice of the following components and their associated characteristics: 1. Multimode or single-mode optical fiber (a) Core size (b) Core refractive-index profile (c) Bandwidth or dispersion (d) Attenuation (e) Numerical aperture or mode-field diameter 2. LED or laser diode optical source (a) Emission wavelength (b) Spectral line width (c) Output power (d) Effective radiating area (e) Emission pattern (f) Number of emitting modes 3. pin or avalanche photodiode (a) Responsivity (~quantum efficiency) (b) Operating wavelength (c) Speed (d) Sensitivity
System Considerations: (a) Wavelength of operation: In carrying out a link power budget, we first decide at which wavelength to transmit and then choose components operating in this region. If the distance over which the data are to be transmitted is not too far, we may decide to operate in the 800 - to 900 -nm region. On the other hand, if the transmission distance is relatively long, we may want to take advantage of the lower attenuation and dispersion that occurs at wavelengths around 1300 or 1550 nm. (b) Source: The system parameters involved in deciding between the use of an LED and a laser diode are signal dispersion, data rate, transmission distance, and cost. The spectral width of laser output is much narrower than that of an LED. Since laser diodes typically couple from 10 to 15 d. B more optical into a fiber than an LED, greater repeaterless transmission distances are possible with a laser. This advantage and the lower dispersion capability of laser diodes may be offset by cost constraints. Not only is a laser diode itself is expensive than an LED, but also the laser transmitter circuitry is much complex.
System Considerations:
System Considerations:
System Considerations:
• Two types of design and analysis procedures are normally carried out for digital optical systems: (I) Link power budget analysis (power margin calculations between the transmitter and the receiver considering attenuation, connectors, splices and other losses) (II) rise-time budget analysis (rise time calculations and speed of response of system considering various dispersive effects)
(i) Link power budget analysis The optical power received by the receiver depends on the power transmitted and on the various losses occurring over the fiber. The power received at the output must be sufficiently higher than the receiver sensitivity (after accounting for safety margin).
(i) Link power budget analysis The optical power received by the receiver depends on the power transmitted and on the various losses occurring over the fiber. The power received at the output must be sufficiently higher than the receiver sensitivity (after accounting for safety margin). Ptx = Prx + CL + Ms where Ptx is the transmitter power, Prx is the sensitivity of the receiver, CL is the total link loss or channel loss (including fiber splice and connector loss), and Ms is the system’s safety margin. Channel Loss may be expressed as : CL = f L + con + splice where f is the fiber loss (d. B/km), L is the link length, con is the sum of the losses at all the connectors in the link, and splice is the sum of losses at all splices in the link.
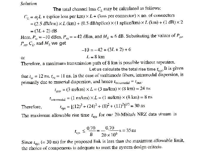
Design Example: An engineer plans to design a 2. 5 -Gbps SONET OC-48 (or equivalently, an SDH STM-16 link) link over a 30 -km path length. For the 30 -km cable span, there is a splice with a loss of 0. 1 d. B every 5 Km (a total of 5 splices). The engineer selects a laser diode that can launch -2 d. Bm of optical power into the fiber and an In. Ga. As avalanche photodiode (APD) with a -32 d. Bm sensitivity at 2. 5 Gbps. A short jumper cable is needed at each end, assume that each cable introduces a loss of 1. 5 d. B. In addition, there is a 0. 6 d. B connector loss at each fiber joint (total of 4 connectors in all including two for jumper cables and two for fiber ends). The problem of the engineer is to determine whether he can operate the link at 1310 nm, or to use more costly 1550 nm equipment. Find out. (Take fiber attenuation as 0. 6 d. B/km and 0. 3 d. B/km at 1310 nm and 1550 nm respectively. )
Solution: Spreadsheet for calculating the 1310 -nm SONET link power budget Component/Loss parameter Output/sensitivity/loss Coupled laser diode output -2 d. Bm APD sensitivity at 2. 5 Gbps -32 d. Bm Allowed loss (-2 -(-32)) Power margin, d. B 30. 0 Jumper cable loss (2 x 1. 5 d. B) -3 d. B 27. 0 Splice loss (5 x 0. 1 d. B) -0. 5 d. B 26. 5 Connector loss (4 x 0. 6 d. B) -2. 4 d. B 24. 1 Cable Attenuation (30 km) -18 d. B 6. 1 (final margin) Since the final margin is adequate (keeping in view the safety margin which is usually 3 d. B), it is feasible to operate this link at 1310 nm from the point of view of power calculations (rise-time budget needs to be also calculated to ascertain final suitability).
(ii) Rise-time budget analysis Rise time budget analysis deals with calculating the temporal response of the various system components. The system design considerations must take into account the temporal response of the system components, because the temporal response is directly related to the pulse dispersion and hence the bit rate of the optical fiber channel. The finite bandwidth of the optical system may result in overlapping of the received pulses or ISI, giving a reduction in sensitivity at the optical receiver. Therefore, either a worse BER must be tolerated, or the ISI must be compensated by equalization within the receiver.
What is rise time? It is used to calculate the dispersion limitation of an optical fiber link. This is particularly useful in digital systems at higher bit rates. The rise time of a linear system tr is the time in which output changes from 10% to 90% of the maximum output value when the input is a step function.
Transfer function of RC circuit Therefore the 3 d. B bandwidth for the circuit is: Combining this equation with tr, the 3 d. B bandwidth for the circuit is:
In a fiber optic communication system, the three building blocks (i. e. the transmitter, the fiber (channel) and the receiver) each has its own response time (or rise time) associated with it. The total rise time of the system tsys is given as: tsys = [ ttx 2 + tf 2 + trx 2 ] 1/2 The rise time of the optical fiber includes contributions from intermodal dispersion (tintermodal) and intramodal dispersion (tintramodal) through the relation: tf = [ tintermodal 2 + tintramodal 2 ] 1/2 For a low-pass system like an fiber optic link (analogous to an RC circuit), the total rise time and the bandwidth f are related by the standard expression: tsys = 0. 35 / f For an RZ format, f = B and for NRZ format, f = B/2, where B=bit rate. Therefore, for digital systems, tsys should be below its maximum value, i. e.
Thus the upper limit on tsys should be less than 35% of the bit interval for an RZ pulse format and less than 70% of the bit interval for an NRZ pulse format.
Design Example:
The we get Let us calculate the total rise time tsys.
Power Penalties (Advanced issue in Power Budget Analysis) • • More sophisticated power budget calculations will include power penalties. A power penalty is defined as the increase in receiver power needed to eliminate the effect of some undesirable system noise or distortion Typically, power penalties may result from: • Dispersion. • Dependent on bit rate and fibre dispersion, • Typical dispersion penalty is 1. 5 d. B • Reflection from passive components, such as connectors. • Crosstalk in couplers. • Modal noise in the fibre. • Polarization sensitivity. • Signal distortion at the transmitter (analog systems only).
Dispersion Penalty Defined as: The increase in the receiver input power needed to eliminate the degradation in the BER caused by fibre dispersion • Typical value is about 1. 5 d. B. • Several analytic rules exist: • Low pass filter approximation rule • Allowable pulse broadening (Bellcore) rule
Dispersion Penalty • Defined as the increase in the receiver input power needed to eliminate the degradation caused by dispersion • Defined at agreed Bit Error Probability, typically 1 x 10 -9 • In the sample shown the receiver power levels required at 1 x 10 -9 with & without dispersion are -35. 2 d. Bm & -33. 1 d. Bm respectively • The dispersion penalty is thus 2. 1 d. B
Low pass filter approximation rule for the Dispersion Penalty Simple analytic rule of thumb for calculating the dispersion penalty Pd • Based on two assumptions: • that dispersion can be approximated by a low pass filter response. • the data is the dotting 1010 pattern. B is the bit rate in bits/sec and Dt is the total r. m. s impulse spread caused by dispersion over the fibre. To keep Pd < 1. 5 d. B, the B. Dt product must be less than 0. 25 approximately.
Calculating the Dispersion Penalty (Low pass filter approx rule) Total Chromatic Dispersion, Dt = Dc x S x L where: Dc is the dispersion coefficent for the fibre (ps/nm. km) S is transmitter source spectral width (nm) L is the total fibre span (km) �� Assuming single-mode fibre so there is no modal dispersion �� Does not include polarization mode dispersion �� Typically the dispersion coefficent will be known �� For Eg. , ITU-T Rec. G. 652 for single-mode fibres at 1550 nm (typical): �� Attenuation < 0. 25 d. B/km �� Dispersion coefficent is 18 ps/(nm. km) �� Let’s take 50 km of single-mode fibre meeting ITU G. 652 �� Let’s take 1550 nm DFB laser with a spectral width of 0. 1 nm
Calculating the Dispersion Penalty (Low pass filter approx rule) Total Dispersion, Dt = Dc x S x L = 18 ps/nm. km x 0. 1 nm x 50 km = 90 ps total dispersion System operating at 2. 5 Gbits/sec Total Dispersion, Dt = 90 ps Dispersion Penalty: The Penalty is thus = 1. 2 d. B
Calculating the Dispersion Penalty graphically (Low pass filter approx rule)
Dispersion Penalty for STM-1 (155. 52 Mbps)
Dispersion Penalty for STM-4 (622. 08 Mbps)
Dispersion Penalty for STM-16 (2488. 32 Mbps)
Calculating the Dispersion Penalty (Low pass filter approx rule): EXAMPLE: �� An optical fibre system operates at 1550 nm at a bit rate of 622 Mbits/sec over a distance of 71 km �� Fibre with a worst case loss of 0. 25 d. B/km is available. �� The average distance between splices is approximately 1 km. �� There are two connectors and the worst case loss per connector is 0. 4 d. B. �� The worst case fusion splice loss is 0. 07 d. B �� The receiver sensitivity is -28 d. Bm and the transmitter output power is +1 d. Bm �� The source spectral width is 0. 12 nm and the fibre dispersion meets ITU recommendations at 1550 nm �� Determine worst case power margin, taking account of a power penalty (Use the Low Pass Filter Approximation rule)
Calculating the Dispersion Penalty (Low pass filter approx rule): EXAMPLE: Step 1: Find the Dispersion Penalty �� 71 km of singlemode fibre meeting ITU G. 652 �� 1550 nm DFB laser with a spectral width of 0. 12 nm �� System operating at 622 Mbits/sec Total Dispersion = 153. 6 ps Dispersion Penalty = 0. 2 d. B
Calculating the Dispersion Penalty (Low pass filter approx rule): EXAMPLE: Step 2: Develop the Power Budget and find the power margin
System Performance with varying bit rate
Receiver sensitivities vs bit rate The figure shows receiver sensitivities as a function of bit rate. The Si pin, Si APD, and In. Ga. As pin curves are for a 10 -9 BER. The In. Ga. As APD curve is for a 10 -11 BER.
Transmission distance vs data rate First Window Transmission Distance Transmission-distance limits as a function of data rate for an 800 -MHz. Km fiber, a combination of an 800 -nm LED source with a Si pin photodiode, and an 800 -nm laser diode with a Si APD.
Transmission distance vs data rate First Window Transmission Distance Figure shows the attenuation and dispersion limitation on the repeater-less transmission distance as a function of data rate for the short-wavelength (770 to 900 -nm) LED/pin combination. The BER was taken as 10 -9 for all data rates. The fiber-coupled LED output power was assumed to be a constant -13 d. Bm for all data rates up to 200 Mb/s. The attenuation limit curve was then derived by using a fiber loss of 3. 5 d. B/km and the receiver sensitivities shown in earlier Fig. Since the minimum optical power required at the receiver for a given BER becomes higher for increasing data rates, the attenuation limit slopes downward to the right.
Transmission distance vs data rate First Window Transmission Distance The dispersion limit depends on material and modal dispersion. Material dispersion at 800 nm is taken as 0. 07 ns/(nm. km) or 3. 5 ns/km for an LED with a 50 -nm spectral width. The curve shown is the material dispersion limit in the absence of modal dispersion. This limit was taken to be the distance at which tmat is 70 percent of a bit period. The modal dispersion limit was taken to be the distance at which tmod is 70 percent of a bit period. The achievable repeaterless transmission distances are those that fall below the attenuation limit curve and to the left of the dispersion line, as indicated by the hatched area. The transmission distance is attenuationlimited up to about 40 Mb/s, after which it becomes material-dispersion-limited.
Transmission distance vs data rate First Window Transmission Distance Greater transmission distances are possible when a laser diode is used in conjunction with an avalanche photodiode. Let us consider an Al. Ga. As laser emitting at 850 nm with a spectral width of 1 nm which couples 0 d. Bm (1 m. W) into a fiber flylead. The receiver uses an APD with a sensitivity depicted in Fig. depicted earlier. In this case the material-dispersion-limited curve lies off the graph to the right of the modal-dispersion-limit curve, and the attenuation limit (with an 8 -d. B system margin) is as shown in Fig. above. The achievable transmission distances now include those indicated by the shaded area.
Transmission distance vs data rate Third Window Transmission Distance NRZ Transmission-distance limits as a function of data rate for 1550 -nm laser diode, an In. Ga. As APD, and a single-mode fiber with D = 2. 5 ps/(nm. km) and a 0. 3 -d. B/km attenuation.
Transmission distance vs data rate Third Window Transmission Distance NRZ For the third window (1550 nm), let us examine a single-mode link operating at 1550 nm. In this case the dispersion in the fiber is due only to GVD effects, since there is no modal dispersion. We take the dispersion to be D = 2. 5 ps/(nm. km) and the attenuation to be 0. 30 d. B/km at 1550 nm. For the source we first choose a laser which couples 0 d. Bm of optical power into the fiber and which has a large spectral width ( = 3. 5 nm). Then we select a laser with = 1 nm as a second example. The receiver can use either an In. Ga. As avalanche photodiode (APD) or a In. Ga. As pin diode.
Transmission distance vs data rate Third Window Transmission Distance The attenuation-limited transmission distances for these two photodiodes are shown in Fig. with the inclusion of an 8 -d. B system margin. For the dispersion limit we examine two cases. First, for the ( = 3. 5 nm) case, Fig. shows limit for NRZ data where the product D L is equal to 70 percent of the bit period. Second, for RZ data the product D L is equal to 35 percent of the bit period. These curves are for the ideal case. In reality various noise effects leading to laser instabilities coupled with chromatic dispersion in the fiber can decrease the dispersion-limited distance.
• Assignments • Reference Books (pl see annexure) • Quiz (expected next week)